Abstract
To solve the conflict when multi-user packets are transmitted in a shared wireless link, a novel frameless slotted-ALOHA protocol is proposed. Signature codes are used to help the receiver identify the set of transmitting users, and successive interference cancellation technology is employed to recover conflicting packets. Thus, the information in the conflicting slot can be reused to reduce the number of retransmissions. Taking the number of backlogged users in each slot as a system state, a Markov chain model is established to analyze the protocol, in which the state transition probabilities are obtained based on the binomial distribution of packets sent in a slot. Under the maximum number of detectable conflicting users, the best value is taken, traffic balance equations are obtained, and the expressions of throughput, average number of backlogged users, average successful transmission probability and average memory size are derived. Finally, a numerical simulation is carried out to accurately analyze the influence of the first transmission probability of the packets on various performance indexes and the effectiveness of the theoretical analysis is further verified by the simulation results.
1. Introduction
In the 5G era, with the rapid development of communication networks and a surge in the type or scale of communication services, spectrum resources are becoming scarcer. Meanwhile, the users’ quality of service (QoS) requirement is also increasing, which requires more perfect communication protocols to meet the actual needs of users. However, uncertainty is the essential characteristic of communication systems in the process of information transmission because the number of terminal users that try to access network resources using the same channel in a slot is random. If more than one user shares a physical link in a slot, the information between different users will conflict. In order to ensure reliable and efficient communication in the case of multiple users sharing a single channel, it is most important to reduce the probability of information collision. Therefore, how to enable each of the active users to send a packet successfully is a key problem to be solved in the development of a multiple access protocol.
Among traditional random-access protocols, once a conflict occurs, all packets involved in the conflict are unrecoverable and discarded directly. For example, the slotted-ALOHA protocol, as a traditional random-access approach, is used extensively [1,2,3]. Regarding the slotted-ALOHA protocol, the packet transmission is slot-based. The width of a slot is equal to the transmission time of a packet. Each node sends a packet synchronously at the beginning of a slot. The goal of the slotted-ALOHA protocol is to enable each of the active users to send its packet without conflict. Forward error correction (FEC) technology is adopted to recover conflicting packets; that is, after the information sequence is sent, the sender adds redundant information codes for error detection and correction according to certain rules to form a complete codeword and then sends this to the channel [4,5]. Paolini et al. [6] proposed a novel random-access protocol. The principle is that a conflict is regarded as the sum of several packets. Conflicting packets are buffered by the receiver rather than discarded directly. Then, these packets will be reused in decoding, which is based on successive interference cancellation (SIC) [7].
Recall that in the process of recovering conflicting packets by SIC, the biggest problem is that the receiver has no knowledge about the set of transmitting users [8]. However, the research of [9] solves this problem. In this work, the sender adds a user specific signature code to the header of each user’s packet [10]. If the packets conflict, the receiver can identify all of the transmitting users with signatures. The authors of [11] combined signature codes and SIC to solve the conflict where there are no more than two users. However, the authors of [11] only studied the performance of the slotted-ALOHA system under the general condition of taking two as the maximum number of detectable conflicting users. Based on the M (total number of users) out of K (number of active users) multi-user coding in [12], a hybrid random-access solution is proposed in [13]. It is concluded that the throughput of the hybrid random-access system reaches the maximum when the number of active users is three. Hence, in this work, we consider extending the general case of [11]; that is, taking three as the maximum number of detectable conflicting users.
Recently, several researches employ the slotted-ALOHA protocol with non-orthogonal multiple access (NOMA), which is a promising multiple access approach applied in a 5G network to improve the throughput performance [14,15,16,17]. For instance, NOMA based on the coded slotted-ALOHA for machine-type communications (MTC) is proposed in [14]. Based on the slotted-ALOHA and uplink NOMA, two random-access protocols are proposed and applied to wireless sensor networks [15]. An uncoordinated NOMA scheme is proposed in [16], which is an enhancement of the recently proposed slotted-ALOHA-NOMA protocol that provides high throughput and meets the low complexity requirements of devices in the Internet of Things (IoT). In [17], a novel uncoordinated multiple access protocol, called iterative conflict resolution for the slotted-ALOHA with NOMA is employed to serve a massive number of heterogeneous users. The integration of the slotted-ALOHA and NOMA will become another key idea in the study of random-access protocols.
In this paper, a novel frameless slotted-ALOHA protocol combining signature codes and SIC is considered to solve the conflict. Furthermore, the performance of the system is verified under the condition that the maximum number of detectable conflicting users takes the best value of three. When different users’ packets conflict, the receiver buffers these conflicting packets temporarily and uses signature codes to identify the set of transmitting users immediately. Then, the receiver sends responses to the users according to the feedback mechanism and requests to retransmit the replicas of the conflicting packets. After a replica is received, the receiver employs SIC to recover all the conflicting packets. Through theoretical analysis, the feedback mechanism with four cases and the probability of each case are given. Taking the number of backlogged users in each slot as the system state, a discrete-time Markov chain model with states is established. According to the change of the number of backlogged users after a slot, the state transition diagram and state transition probability are given. Further, the flow balance equations are deduced. After this, the expressions of throughput, expected number of backlogged users, expected successful transmission probability and average memory size are presented. Finally, the performance of the protocol is simulated. It is found that the theoretical analysis is consistent with the simulation results, which illustrates the effectiveness of the proposed protocol.
The main contributions of this work are summarized as follows:
- A novel frameless slotted-ALOHA protocol is proposed based on the maximum number of detectable conflicting users and takes the best value of three.
- To study the proposed protocol, we set up a frameless slotted-ALOHA system based on its fundamental principle. By analyzing the proposed receiver for the slotted-ALOHA system, the feedback mechanism is established.
- To analyze the protocol performance, a discrete-time Markov chain model is established with the number of backlogged users in each slot as the state. Moreover, the state transition diagram and flow conservation equations are demonstrated based on the state transition probability.
- Based on theoretical analysis, the throughput, average number of backlogged users, average memory size and average successful transmission probability of the proposed protocol is simulated.
The rest of this paper is organized as follows. In Section 2, we describe how the protocol works and set the main parameter. In Section 3, a frameless slotted-ALOHA system is established based on the fundamental principle of the proposed protocol. To analyze the system performance, a discrete-time Markov model is shown. We show the expression of the various performance indicators under the steady state in Section 4. The performance of the proposed protocol is simulated on the basis of the theoretical analysis in Section 5.
2. Novel Frameless Slotted-ALOHA Protocol
The main objective of the slotted-ALOHA protocol is to enable active users to have the opportunity to send their packets without conflict. A typical example is seen in the slotted-ALOHA protocol that is used to handle the transmission from users to a common receiver, e.g., a base station, via a shared wireless medium. Moreover, the more users there are in a cell, the higher the probability of packet conflict. Although in random-access protocols, the slotted-ALOHA protocol can achieve high throughput and low complexity.
2.1. Protocol Description
The slotted-ALOHA protocol divides the time axis into equal length slots and stipulates that all senders can only send packets synchronously at the beginning of each slot. The sender is used to send the packets of active users. The receiver is used to receive the packets sent by active users. Figure 1 shows the basic principle of the novel frameless slotted-ALOHA protocol. In this protocol, when a user has a newly arrived packet in a current slot, this packet will be sent at the beginning of the next slot. If only one packet is transmitted in a slot, this packet will be successfully received. If more than one packet is transmitted, these packets will conflict.
Figure 1.
Novel frameless slotted-ALOHA protocol.
As shown in Figure 1, one packet arrives in the first slot. The packet will be sent at the beginning of the second slot and without conflict. Three packets arrive in the third slot. These packets are sent at the beginning of the fourth slot. Obviously, these packets will collide when they are transmitted. In this case, the receiver temporarily buffers these conflicting packets and sends feedback to all senders involved in this conflict according to the feedback mechanism in Section 3.1. After that, replicas of conflicting packets are transmitted by the senders. The receiver will decode all the conflicting packets by SIC. In the fifth slot, a new packet arrives when the sender is retransmitting. Then, the newly arrived packet is discarded directly because the sender has no buffer. Usually, retransmission has a higher priority than the first transmission.
In this work, we investigate the potential of applying signature codes to the frameless slotted-ALOHA framework. Our objective is to design a random-access solution based on analogous principles. Note that we are required to briefly introduce the concept of the frameless slotted-ALOHA: the frame length is not a priori set, so new slots can be added until a sufficiently high fraction of users has been resolved [18]. Unlike frame ALOHA, where slots are organized in a frame; before the frame starts, each terminal randomly and independently selects a single slot within the frame to transmit its packet and receives feedback at the end of the frame.
2.2. Parameter Setting
Based on the multi-user coding (MUC) scheme in [12], the authors of [13] proposed a hybrid random-access system to coordinate the burst transmission of multiple independent users sharing a single channel. The capacity of users real adder channel [19] is used as an upper bound for the rate of ( active out of ) codes and the codes given in [12] are used as a lower bound. The maximum stable throughput for the hybrid random-access system with an upper bound and lower bound are simulated, respectively. The simulation results show that the system obtains the maximum throughput when the number of active users is three for codes. Therefore, our work is carried out under the maximum number of detectable conflicting users .
We illustrate the advantages of such a method with a simple example. When the number of conflicting users is three, the signature codes and SIC are combined to recover these conflicting packets. The received signals in the first three slots are:
where and represent packets sent by active users. and are noise in the first three slots, respectively. Recall that in a setup with the slotted-ALOHA protocol, the receiver has no knowledge about the set of transmitting users, e.g., in Equation (1), it does not know that is sent in slots 1 and 2, is sent in slot 1, etc. Therefore, it needs to wait for the reception to decode and learn from the signature codes of other slots that have sent so that it can be canceled. The received signals and are buffered. If is decoded successfully in slot , it can be removed from and . Then, the receiver continues to decode from the noise signal . In this example, is a replica, i.e., a clean copy of a conflicting packet, retransmitted by the sender. Obviously, this approach can make full use of the information in conflicting slots and reduce the number of retransmissions.
3. System Modelling and Analysis
To analyze the protocol accurately, a frameless slotted-ALOHA system with active users is establish based on the elaboration of the protocol principle and the parameter setting in Section 2. Set the length of each slot as . At the beginning of a slot, active users try to send their packets to a common receiver. It is assumed that whether each user has a packet to send in a slot is independent. According to the slotted-ALOHA protocol, active users can only send their packets synchronously at the beginning of a slot. All active users in the system are either free or backlogged.
3.1. System Composition and Description
Figure 2 intuitively shows all slot states of the system. A gray grid indicates an active user that has a packet to send, while colorless grids refer to those users that have no packet to send. Obviously, if the number of gray grids in a slot is more than one, this slot will collide. If a user’s packet can be correctly received, the user will be free at the beginning of the next slot and send a newly arrived packet with the probability , so is the probability that a packet is sent for the first time. If a user’s packet conflicts, the user is backlogged at the beginning of the next slot and retransmits a replica of this conflicting packet with the probability , so is the probability that a packet is retransmitted.
Figure 2.
Slot state of the frameless slotted-ALOHA system.
Note that the use of signature codes brings an overhead on the system, and it is necessary to calculate the optimal length of the signature code word. Different users are provided with different signature codes. represents the signature code of user . The length of the signature code should ensure that a sum of up to out of signature codes are uniquely decodable. According to [10], can be expressed as
From Equation (2), we can see that is proportional to the maximum number of detectable conflicting users . The larger is, the longer the signature code will be. Thus, the greater the overhead that will be brought to the system. If is too large, it will result in an unreasonable length ratio between the information data and the signature code. For example, most machine-to-machine (M2M) communications transmit small scale information data, which is suitable for the case where is small. However, the packet loss rate will be high, if is too small, resulting in low transmission efficiency. In order to reduce the system overhead and the number of retransmissions as much as possible while improving system transmission efficiency, this paper considers recovering packet conflicts where there are no more than three users based on the discussion in Section 2.2. If there are more than three conflicting users, the receiver directly discards the conflicting packets and requests that the sender retransmits.
3.2. The Receiver for the Slotted-ALOHA System
It is assumed that the channel coefficients of each slot are fixed and will change due to fading. Then, the superimposed signal obtained by the receiver in a given slot [11], can be expressed as
where represents the additive white Gaussian noise (AWGN), . is the channel coefficient between user and the receiver in slot . is the packet of user . If packet is transmitted in slot , then , otherwise . To ensure that conflicting packets can be successfully recovered, we assume that the system has reasonable channel coding, and that the receiver can perform ideal channel detection.
According to the slot state of the frameless slotted-ALOHA system in Figure 2, at any given slot, all states of the system can be divided into four cases: Idle (I), True Success (TS), Conflict (C) and Pseudo Success (PS). To facilitate understanding, Figure 3 shows the feedback of the receiver based on the slot state given in Figure 2. In different cases, the receiver will give different responses.
Figure 3.
Feedback response of the receiver in four cases.
Case 1 (Idle, I): There is no active user in the slot, i.e., no packets need to be sent, so the channel is idle. The receiver does not need to send feedback.
Case 2 (True success, TS): There is only one active user, i.e., a packet needs to be sent in this slot. The receiver sends an acknowledgement (ACK) to this user.
Case 3 (Conflict, C): There are at least four active users, i.e., at least four packets are transmitted by a shared wireless channel in this slot. The receiver sends a negative acknowledgement (NACK) to all users because a destructive collision occurred.
Case 4 (Pseudo success, PS): There are two or three active users, i.e., two or three packets need to be sent by one channel. Pseudo success can be divided into two situations, (I) and (II):
(I) If there are two active users in a slot. The receiver sends feedback information to the senders in the following manners:
- (a)
- If both users are in the same state, the receiver randomly selects a user to send an ACK and sends a NACK to the other user.
- (b)
- If two users are in different states, the receiver sends an ACK to the backlogged users and a NACK to the free users.
(II) If there are three active users in a slot. The receiver sends responses to the senders in the following manners:
- (a)
- If all three users are in the same state, the receiver randomly selects one of them to send an ACK and sends a NACK to the remaining two users.
- (b)
- If two of them are backlogged and the remaining one is free, the receiver randomly selects one of the backlogged users to send an ACK to and sends a NACK to the remaining two users.
- (c)
- If two of them are free and the remaining one is backlogged, the receiver will send an ACK to the backlogged user and send a NACK to the free users.
Figure 4 shows the working principle of the above feedback mechanism based on each case in Figure 3 that represent its role distinctly. The time axis is divided into slots according to the fundamental principle shown in Figure 1. Recall that in the example in Equation (1), SIC technology is applied to decode all of the packets contained in the conflict after the receiver receives a replica of the conflicting packets. For example, in Figure 4, the second user sends a replica immediately after it receives the signaling NACK2. Then, other conflicting packets can be decoded by SIC. The transmission process of any packet is carried out in one slot.
Figure 4.
Standard time feedback process for system.
All users in the system are divided into a backlogged state or a free state. The state of a user at the beginning of a slot is determined by the feedback it receives. If a sender receives an ACK or a NACK, the user is free or backlogged. If two users are involved in conflict, the receiver randomly selects either of them to feed back a NACK and requests that the sender retransmits a replica. The whole process (including feedback and retransmission) needs two slots. If three users are involved in a conflict, according to the feedback mechanism and Figure 4, the receiver selects two of them to feed back a NACK and requests the senders to retransmit their replicas. The whole process needs four slots.
The system can be represented by a bipartite graph in Figure 5a, where the set of user node represents the packet sent by active users. The set of slot node indicates all packets received by a common receiver in slot . The line between user node and slot node indicates that is one of the packets received in . In order to display the user status intuitively, the system is represented by a unipartite graph, as shown in Figure 5b. Although a black node indicates that the user is free, a white node represents that the user is backlogged. The connection between two nodes indicates that the receiver has received the packets involving the two users. A group of connected packets is an element, such as and . There can be only one white node in each element. Once the receiver obtains a replica, the black node in this element turns white immediately.
Figure 5.
Active user states.
3.3. Markov Model Analysis for the System
This part makes a theoretical analysis of the novel frameless slotted-ALOHA system. Let represent the number of backlogged users at the beginning of each slot. Assume , and let be the probability that out of backlogged users send packets in a slot. Then
Let represent the probability that out of free users send packets in a slot, which can be expressed as
As a result, according to the above four feedback cases: Idle (I), True Success (TS), Conflict (C) and Pseudo Success (PS), the corresponding probability of the four cases, based on Equations (4) and (5), can be expressed as follows:
According to the probabilities of the four feedback cases, i.e., Equations (6)–(9), the transition probability from state to state is
Taking the number of backlogged users in each slot, , as the system state, the above state transition process constitutes a states discrete-time Markov chain, as shown in Figure 6. It can be seen that the maximum value of the state increase transition is three, because this work is based on ; that is, the number of backlogged users changes by no more than three after a slot. The state reduction transition can only be one, because the number of backlogged users can only be reduced by one with a successful retransmission.
Figure 6.
State transition diagram of a novel frameless slotted-ALOHA system.
When the system reaches a steady state, the frequency from other states to a certain state is equal to the frequency from this state to other states; that is, traffic equilibrium. For any state in Figure 6, its steady-state probability is set as , which is the probability that there are backlogged users in a slot. Moreover, the satisfies , then is a stable distribution of the system. Therefore, for all states in Figure 6, the following traffic balance equations can be derived based on the state transition probabilities in Equation (10):
where the first equation is the 0-state and the second equation is the 1-state, and so on. Equation (11) represents the conservation equations of the states, respectively. Then, the steady-state probability can be calculated using elimination by substitution. Thus, the stationary distribution of the system can be obtained, which is a preparation for the simulation of the various indicators in Section 5.
4. Performance Analysis
4.1. Throughput
The throughput of the proposed protocol is defined as the total number of packets successfully transmitted in each slot, expressed as . When the system is in a steady state, the number of newly arrived packets is equal to the number of packets successfully sent. Therefore, the throughput of the system in a steady state can be expressed as
where represents the average number of backlogged users when the system reaches a steady state, that is
where is the steady-state probability .
Take Equation (13) into (12) to obtain the first expression of throughput. Moreover, in a steady state, the number of ACK replies is equal to the average of the packets successfully sent by the sender. The receiver sends an ACK response if the system is a true success (TS) or a pseudo success (PS). When the system has backlogged users, the probability of receiver feedback and ACK responses is
Based on the above analysis and Equations (12)–(14), the throughput of the system in a steady state is
As shown in [11], we let the length of a packet be . Considering the length of the signature code, the actual throughput of the system can be expressed as
where represents the length of the signature code and is the total throughput of the system.
4.2. Average Memory Size
According to the protocol in this paper, when a conflict occurs, the receiver needs to buffer conflicting packets temporarily and then wait for a replica. Therefore, the receiver needs a buffer, and only in pseudo success scenarios does the system need to store conflicting packets. Therefore, the probability of pseudo success, , is the probability of the packets stored in a buffer. indicates the average memory size. The average number of packets stored in a buffer for each slot can be expressed as
The average number of packets released from the buffer for each slot is
Under a steady state, the average number of packets stored in a buffer is equal to the average number of packets released from a buffer, i.e., . From the Equations (17) and (18), the average memory size of the system can be obtained as
where .
4.3. Average Probability of Successful Transmission
Proposition 2 in [11] analyzed the average successful transmission probability of a packet, but only considers the successful transmission of the first transmitted packets, which is not accurate enough. However, the packets received successfully in each slot are divided into two parts in this paper: newly arrived packets and retransmission packets. Thus, we give a more reasonable expression. When the system is in a steady state, the average successful transmission probability is the ratio of throughput to the average number of transmitted packets, denoted by . Therefore, can be expressed by the following equation:
5. Performance Evaluation
In this section, a theoretical performance evaluation of the proposed novel frameless slotted-ALOHA protocol is presented based on the performance analysis in Section 4. Moreover, the computer simulation results using the Monte-Carlo technique are acquired in MATLAB, which verified the theoretical results. Performance and comparisons are obtained on the throughput along with the average number of backlogged users, average memory size, and the average successful transmission probability for the different values of . In addition, we compare the throughput of in Reference [11] with that of in this paper to verify the effectiveness of parameter setting by simulation.
To prove the availability of the analysis results, we set the number of all active users in the system to 10, 20, 30 and 40, respectively. We regard the throughput performance as a function of the first transmission probability based on its definition in Section 4.1. Then, the retransmission probability is optimized for any given . It is found that the throughput achieves the best performance when is 0.09. After this, a stochastic simulation is made according to the binomial distribution probability model and state transition matrix. The ranges of and are set from 0.01 to 1 and from 0.001 to 1, respectively. The Monte-Carlo simulation procedure can be seen in Figure 7.
Figure 7.
Flow chart of the Monte-Carlo simulation.
The basic steps of the Monte-Carlo simulation are as follows:
Step 1: Generate a set of random numbers between zero and one using the random number method. The array length is the number of active users;
Step 2: According to the binomial distribution model, the transition probability matrix is solved, and then a steady-state distribution is obtained;
Step 3: Due to the occasionality of random simulation, we solved the average value after 100 repetitions.
Figure 8 and Figure 9 illustrate the trend of the system throughput with respect to the first transmission probability. According to Equations (12) and (15) in Section 4.1, we verified the consistency for the two definitions of throughput through numerical calculation, which is shown in Figure 8. To further verify the availability of the numerical results, Figure 9 demonstrates the comparison between the numerical results and the simulation results. We can see that under heavy load, i.e., , the throughput gradually decreases as increases.
Figure 8.
Throughput vs. first transmission probability (Equation (12) vs. Equation (15)).
Figure 9.
Throughput vs. first transmission probability (Ana. vs. Sim.).
Figure 10 demonstrates the number of backlogged users as a function of the first transmission probability based on Equation (13). It can be seen that the minimum number of backlogged users is obtained at . This means that a higher probability of successful transmission can be achieved with a smaller . Thus, the solution to minimizing is the opposite of maximizing when . In effect, a trade-off needs to be made in these two solutions.
Figure 10.
Number of backlogged users vs. first transmission probability (Ana. vs. Sim.).
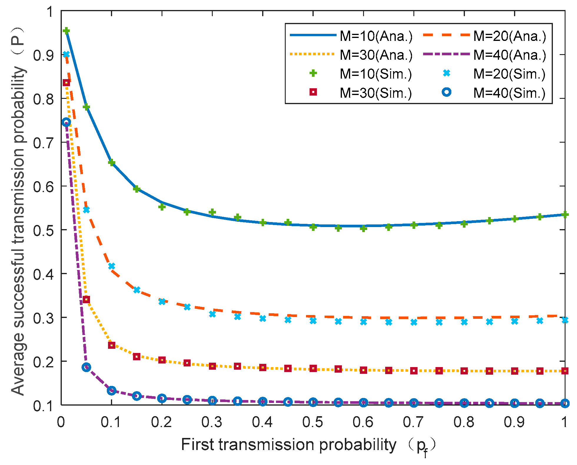
The expected successful transmission probability of a transmitted packet is shown in Figure 11. The simulation results reveal good agreement with theoretical results. Reference [11] only derives an expression for the successful transmission probability of packets and does not represent the numerical simulation results. However, we not only present the theoretical analytical expression, i.e., Equation (20), but also show the simulation results for validation. We can see that a higher probability of successful transmission can be achieved with a smaller . Hence, the solution for maximizing agrees with maximizing .
Figure 11.
Successful transmission probability vs. first transmission probability (Ana. vs. Sim.).
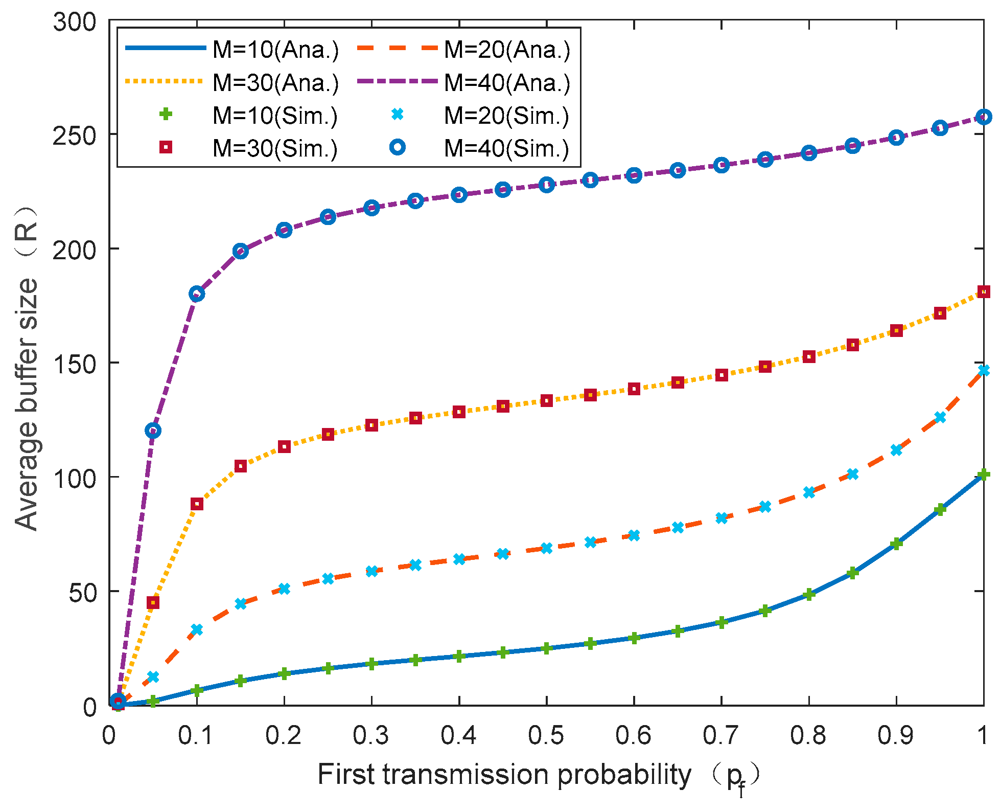
Figure 12 shows the average buffer size of the proposed protocol on the basis of Equation (19). The simulation results illustrate that the average buffer size increases with , and increases. When is below a certain value, e.g., , the rate at which the average buffer size increases is related to the number of active users. That is, the greater the number of active users, the faster the buffer size increases.
Figure 12.
Buffer size vs. first transmission probability (Ana. vs. Sim.).
In order to compare the throughput performance of our protocol with that of reference [11], Figure 13 shows the throughput performance trends with values of 10 and 100, respectively. It can be seen that the value has an impact on the throughput performance of the system. The throughput performance of is better than that of . So, the rationality of the parameters set in Section 2.2 is further proved.
Figure 13.
Throughput vs. first transmission probability ( in our model vs. in reference [11]).
6. Discussion
This paper studies the performance of a novel frameless slotted-ALOHA protocol when the maximum number of detectable collision users is best. According to the protocol, when packets conflict, signature codes are used to identify the set of transmitting users in the collision. Then, the sender transmits a replica of the conflicting packets according to the feedback mechanism proposed in Section 3.2, and then SIC technology is used to recover all the conflicting packets. Taking the number of backlogged users in each slot, , as the system state, a discrete-time Markov chain model with states is established for the system. Based on theoretical analysis, the throughput trends, average number of backlogged users, average memory size and average successful transmission probability about the first transmission probability are simulated. The numerical results are consistent with the Monte-Carlo simulation results. Compared with the research in [11], this work is more in line with the actual communication scenario, and the results have more practical application value.
Author Contributions
S.Y. researched the literatures, conceived the study concepts, designed the algorithm, and took charge of the original draft preparation; S.L. improved the mathematical models, provided the systematic research and analysis methodology, edited the manuscript, and supervised the completion of the refinement of the paper; N.Y. and Y.L. completed some numerical simulations, and checked the formula deducing and the English grammar. All authors have read and agreed to the published version of the manuscript.
Funding
This research was funded in part by the National Natural Science Foundation of China under Grant 61663024, in part by the Hongliu First Class Discipline Development Project of Lanzhou University of Technology, and in part by the Excellent Postgraduate “Innovation Star” Project of Gansu Province.
Data Availability Statement
The data supporting this article are from previously reported studies and datasets, which have been cited.
Conflicts of Interest
The authors declare no conflict of interest.
References
- Ghez, S.; Verdu, S.; Schwartz, S. Stability properties of slotted Aloha with multipacket reception capability. IEEE Trans. Autom. Control 2002, 33, 640–649. [Google Scholar] [CrossRef]
- Naware, V.; Mergen, G.; Tong, L. Stability and delay of finite-user slotted ALOHA with multipacket reception. IEEE Trans. Inform. Theory 2005, 51, 2636–2656. [Google Scholar] [CrossRef]
- Hu, Y.B.; Yang, W.W.; Cai, Y.M. Throughput analysis of slotted ALOHA with cooperative transmission using successive interference cancellation. Sci. China Ser. F Inf. Sci. 2009, 52, 2354–2359. [Google Scholar] [CrossRef]
- Del Rio Herrero, O.; De Gaudenzi, R. Generalized analytical framework for the performance assessment of slotted random-access protocols. IEEE Trans. Wirel. Commun. 2014, 13, 809–821. [Google Scholar] [CrossRef]
- Zhang, Z.H.; Xu, C.B.; Li, P. Coded random access with distributed power control and multiple-packet reception. IEEE Wirel. Commun. Lett. 2014, 4, 117–120. [Google Scholar] [CrossRef]
- Paolini, E.; Stefanovic, C.; Liva, G.; Popovski, P. Coded random access: How coding theory helps to build random access protocols. arXiv 2014, arXiv:1405.4127. [Google Scholar]
- Casini, E.; Gaudenzi, R.D.; Herrero, O.D.R. Contention resolution diversity slotted ALOHA (CRDSA): An enhanced random-access scheme for satellite access packet networks. IEEE Trans. Wirel. Commun. 2007, 6, 1408–1419. [Google Scholar] [CrossRef]
- Goseling, J.; Gastpar, M.; Weber, J.H. Random access with physical-layer network coding. IEEE Trans. Inform. Theory 2013, 61, 1206–1219. [Google Scholar]
- Goseling, J. A random-access scheme with physical-layer network coding and user identification. In Proceedings of the IEEE International Conference on Communication (ICC), Sydney, Australia, 10–14 June 2014; pp. 507–512. [Google Scholar]
- Goseling, J.; Stefanovic, C.; Popovski, P. Sign-compute-resolve for random access. IEEE Trans. Inform. Theory 2018, 64, 5261–5276. [Google Scholar] [CrossRef]
- Jia, D.; Fei, Z.S.; Xiao, M.; Cao, C.Z.; Kuang, J.M. Enhanced frameless slotted ALOHA protocol with Markov chains analysis. Sci. China Inform. Sci. 2018, 61, 102304. [Google Scholar] [CrossRef]
- Mathys, P. A class of codes for a T active users out of N multiple-access communication system. IEEE Trans. Inform. Theory 1990, 36, 1206–1219. [Google Scholar] [CrossRef]
- Al-Rumaih, R.M.; Mathys, P. Analysis of a hybrid random-access system with multi-user coding (throughput). In Proceedings of the IEEE International Symposium on Information Theory (ISIT), San Antonio, TX, USA, 17–22 January 1993; p. 257. [Google Scholar]
- Su, J.R.; Ren, G.L.; Zhao, B. NOMA Based Coded Slotted ALOHA for Machine-Type Communications. IEEE Commun. Lett. 2021, 25, 2435–2439. [Google Scholar] [CrossRef]
- Tegos, S.A.; Diamantoulakis, P.D.; Lioumpas, A.S.; Sarigiannidisl, P.G.; Karagiannidis, G.K. Slotted ALOHA with NOMA for the Next Generation IoT. IEEE Trans. Commun. 2020, 68, 6289–6301. [Google Scholar] [CrossRef]
- Elkourdi, M.; Mazin, A.; Balevi, E.; Gitlin, R.D. Enabling Aloha-NOMA for Massive M2M Communication in IoT Networks. arXiv 2018, arXiv:1803.09513. [Google Scholar]
- Huang, Y.C.; Shieh, S.L.; Hsu, Y.P.; Cheng, H.P. Iterative Collision Resolution for Slotted ALOHA with NOMA for Heterogeneous Devices. IEEE Trans. Commun. 2021, 69, 2948–2961. [Google Scholar] [CrossRef]
- Stefanovic, C.; Popovski, P.; Vukobratovic, D. Frameless ALOHA Protocol for Wireless Networks. IEEE Commun. Lett. 2012, 16, 2087–2090. [Google Scholar] [CrossRef]
- Chang, S.C.; Weldon, E. Coding for T-user multiple-access channels. IEEE Trans. Inform. Theory 1979, 25, 684–691. [Google Scholar] [CrossRef]
Publisher’s Note: MDPI stays neutral with regard to jurisdictional claims in published maps and institutional affiliations. |
© 2022 by the authors. Licensee MDPI, Basel, Switzerland. This article is an open access article distributed under the terms and conditions of the Creative Commons Attribution (CC BY) license (https://creativecommons.org/licenses/by/4.0/).












