Formulation and Evaluation of Alginate-Based Hydrogel Membranes Loaded with Colistin for Effective Management of Multidrug-Resistant Wound Infections
Abstract
1. Introduction
2. Materials and Methods
2.1. Materials
Chemicals
2.2. Methodology
2.2.1. Method of Preparation of Alginate-Based Hydrogel Membranes
2.2.2. Characterization
Fourier-Transform Infrared (FTIR) Spectroscopy
Thermogravimetric Analysis (TGA)
X-Ray Diffraction (XRD) Studies
Mechanical Strength
Scanning Electron Microscope (SEM) Analysis
2.2.3. In Vitro Evaluation
Thickness and Solvent Loss Analysis
Water Vapor Transmission Rate (WVTR)
Swelling Studies
Percentage Gel Fraction (GF%)
Determination of Drug Loading
In Vitro Drug Release Analysis
Antibacterial Study
2.2.4. Statistical Analysis
3. Results and Discussion
3.1. Physical Appearance
3.2. Characterization
3.2.1. Fourier-Transform Infrared (FTIR) Spectroscopy
3.2.2. Thermogravimetric Analysis (TGA)
3.2.3. X-Ray Diffraction (XRD) Studies
3.2.4. Mechanical Strength Analysis
3.2.5. Scanning Electron Microscope (SEM) Analysis
3.3. In Vitro Studies
3.3.1. Thickness and Solvent Loss
3.3.2. Water Vapor Transmission Rate (WVTR)
3.3.3. Percentage Gel Fraction (GF%)
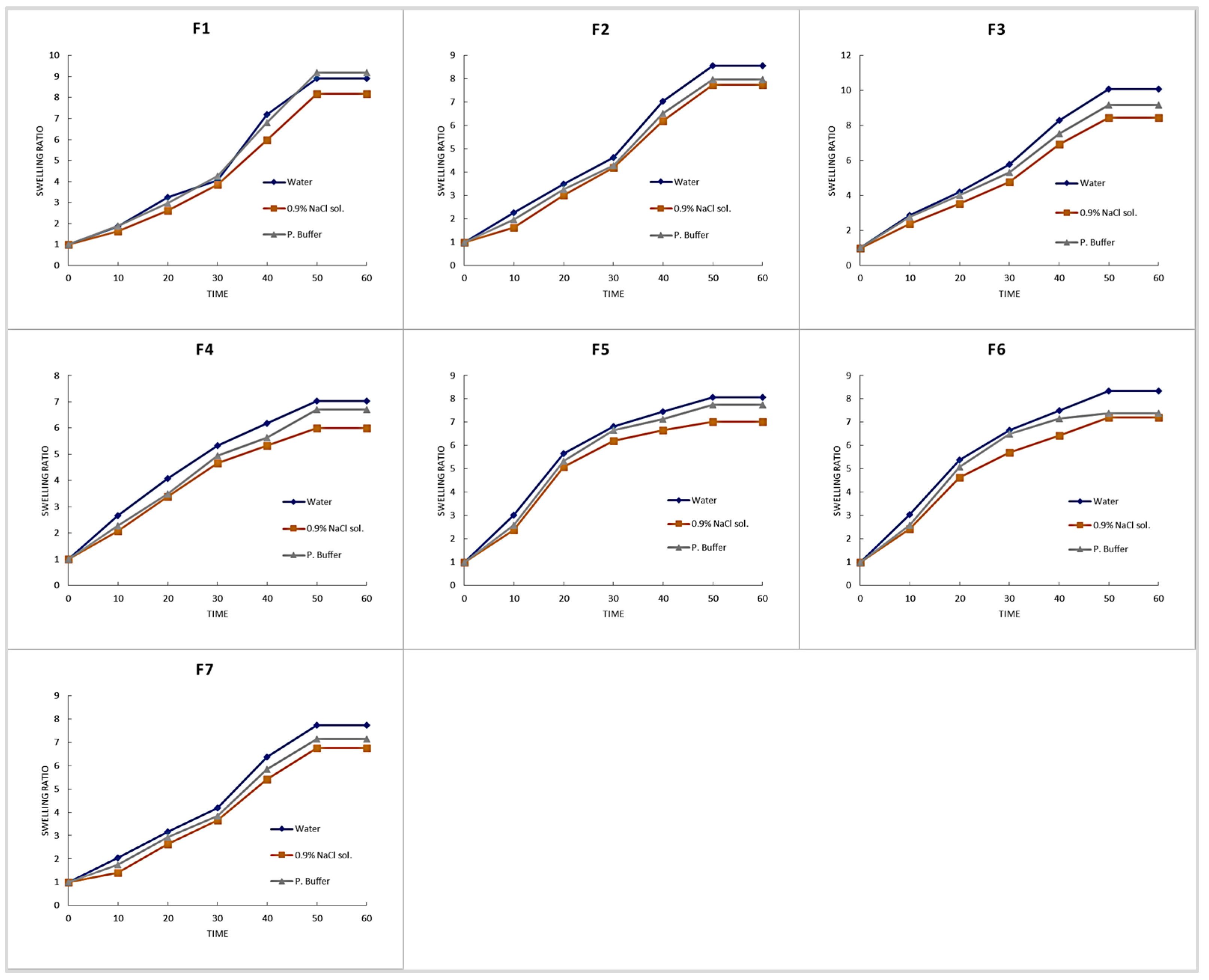
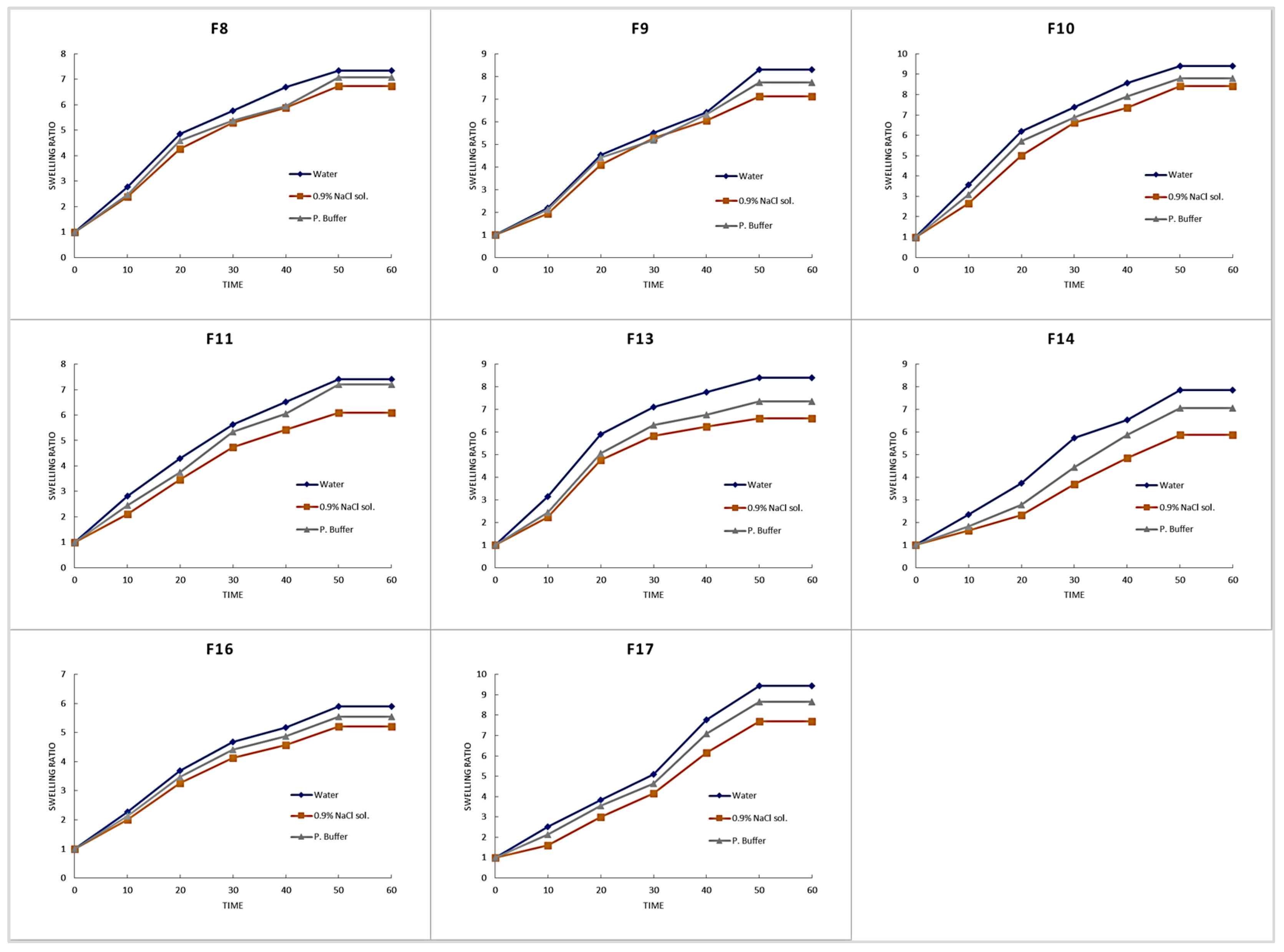
3.3.4. Swelling Studies
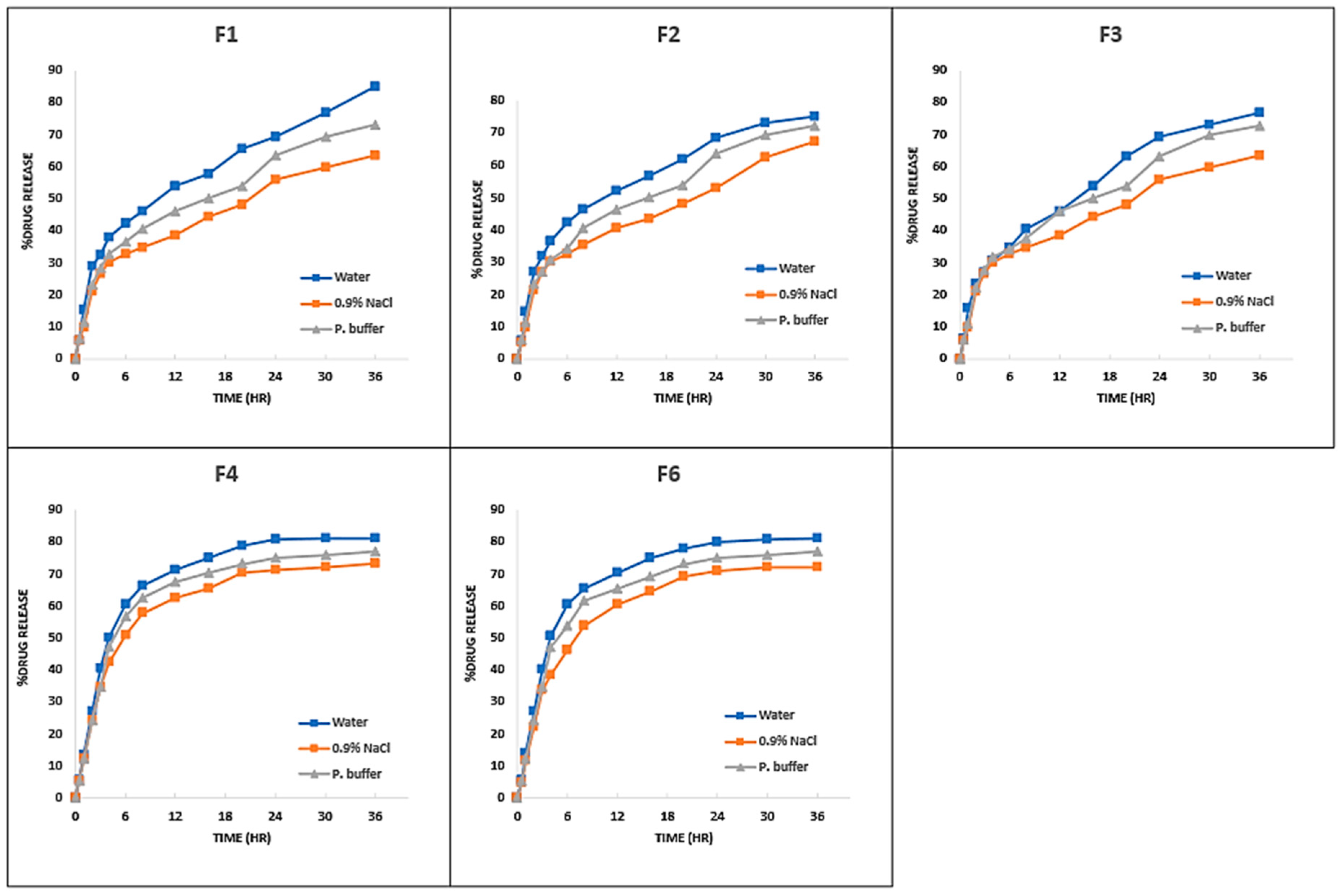
3.3.5. In Vitro Drug Release Analysis
3.3.6. Determination of Drug Loading
3.3.7. Antibacterial Studies
4. Conclusions
Author Contributions
Funding
Institutional Review Board Statement
Informed Consent Statement
Data Availability Statement
Conflicts of Interest
References
- Älgå, A.; Wong, S.; Shoaib, M.; Lundgren, K.; Giske, C.G.; von Schreeb, J.; Malmstedt, J. Infection with high proportion of multidrug-resistant bacteria in conflict-related injuries is associated with poor outcomes and excess resource consumption: A cohort study of Syrian patients treated in Jordan. BMC Infect. Dis. 2018, 18, 233. [Google Scholar] [CrossRef] [PubMed]
- Kabanangi, F.; Joachim, A.; Nkuwi, E.J.; Manyahi, J.; Moyo, S.; Majigo, M. High Level of Multidrug-Resistant Gram-Negative Pathogens Causing Burn Wound Infections in Hospitalized Children in Dar es Salaam, Tanzania. Int. J. Microbiol. 2021, 2021, 6644185. [Google Scholar] [CrossRef] [PubMed]
- Namdari, S.; Farhadi, A.; Khademalhoseini, A.; Behzad-Behbahani, A.; Moaddeb, A. Emergence of Highly Multidrug-Resistant Bacteria Isolated from Patients with Infections Admitted to Public Hospitals in Southwest Iran. Interdiscip. Perspect. Infect. Dis. 2021, 2021, 5265379. [Google Scholar] [CrossRef]
- Yu, Z.; Qin, W.; Lin, J.; Fang, S.; Qiu, J. Antibacterial mechanisms of polymyxin and bacterial resistance. BioMed Res. Int. 2015, 2015, 679109. [Google Scholar] [CrossRef]
- Zhu, C.; Zhao, J.; Kempe, K.; Wilson, P.; Wang, J.; Velkov, T.; Li, J.; Davis, T.P.; Whittaker, M.R.; Haddleton, D.M. A Hydrogel-Based Localized Release of Colistin for Antimicrobial Treatment of Burn Wound Infection. Macromol. Biosci. 2017, 17, 1600320. [Google Scholar] [CrossRef] [PubMed]
- Javanmardi, F.; Emami, A.; Pirbonyeh, N.; Rajaee, M.; Hatam, G.; Keshavarzi, A. Study of multidrug resistance in prevalent Gram-negative bacteria in burn patients in Iran: A systematic review and meta-analysis. J. Glob. Antimicrob. Resist. 2019, 19, 64–72. [Google Scholar] [CrossRef]
- Godebo, G.; Kibru, G.; Tassew, H. Multidrug-resistant bacterial isolates in infected wounds at Jimma University Specialized Hospital, Ethiopia. Ann. Clin. Microbiol. Antimicrob. 2013, 12, 17. [Google Scholar] [CrossRef]
- Pirbonyeh, N.; Bazargani, A.; Emami, A.; Anvar, Z.; Mohsen Hosseini, S.; Zardosht, M.; Derakhshan, B. Cross sectional study of burn infections and antibiotic susceptibility pattern for the improvement of treatment policy. J. Patient Saf. Qual. Improv. 2017, 5, 535–541. [Google Scholar]
- Gallardo-Godoy, A.; Muldoon, C.; Becker, B.; Elliott, A.G.; Lash, L.H.; Huang, J.X.; Butler, M.S.; Pelingon, R.; Kavanagh, A.M.; Ramu, S.; et al. Activity and Predicted Nephrotoxicity of Synthetic Antibiotics Based on Polymyxin B. J. Med. Chem. 2016, 59, 1068–1077. [Google Scholar] [CrossRef]
- Hartzell, J.D.; Neff, R.; Ake, J.; Howard, R.; Olson, S.; Paolino, K.; Vishnepolsky, M.; Weintrob, A.; Wortmann, G. Nephrotoxicity associated with intravenous colistin (colistimethate sodium) treatment at a tertiary care medical center. Clin. Infect. Dis. 2009, 48, 1724–1728. [Google Scholar] [CrossRef] [PubMed]
- Poirel, L.; Jayol, A.; Nordmann, P. Polymyxins: Antibacterial Activity, Susceptibility Testing, and Resistance Mechanisms Encoded by Plasmids or Chromosomes. Clin. Microbiol. Rev. 2017, 30, 557–596. [Google Scholar] [CrossRef]
- Spapen, H.; Jacobs, R.; Van Gorp, V.; Troubleyn, J.; Honoré, P.M. Renal and neurological side effects of colistin in critically ill patients. Ann. Intensive Care 2011, 1, 14. [Google Scholar] [CrossRef]
- Almangour, T.A.; Alenazi, B.; Ghonem, L.; Alhifany, A.A.; Aldakheel, B.A.; Alruwaili, A. Inhaled colistin for the treatment of nosocomial pneumonia due to multidrug-resistant Gram-negative bacteria: A real-life experience in tertiary care hospitals in Saudi Arabia. Saudi Pharm. J. 2020, 28, 1009–1013. [Google Scholar] [CrossRef] [PubMed]
- Michalopoulos, A.; Kasiakou, S.K.; Mastora, Z.; Rellos, K.; Kapaskelis, A.M.; Falagas, M.E. Aerosolized colistin for the treatment of nosocomial pneumonia due to multidrug-resistant Gram-negative bacteria in patients without cystic fibrosis. Crit. Care 2005, 9, R53–R59. [Google Scholar] [CrossRef] [PubMed]
- Wang, L.; Li, X.; Sun, T.; Tsou, Y.H.; Chen, H.; Xu, X. Dual-Functional Dextran-PEG Hydrogel as an Antimicrobial Biomedical Material. Macromol. Biosci. 2018, 18, 1700325. [Google Scholar] [CrossRef]
- Johnson, K.A.; Muzzin, N.; Toufanian, S.; Slick, R.A.; Lawlor, M.W.; Seifried, B.; Moquin, P.; Latulippe, D.; Hoare, T. Drug-impregnated, pressurized gas expanded liquid-processed alginate hydrogel scaffolds for accelerated burn wound healing. Acta Biomater. 2020, 112, 101–111. [Google Scholar] [CrossRef] [PubMed]
- Mirzaei, B.; Etemadian, S.; Goli, H.R.; Bahonar, S.; Gholami, S.A.; Karami, P.; Farhadi, M.; Tavakoli, R. Construction and analysis of alginate-based honey hydrogel as an ointment to heal of rat burn wound related infections. Int. J. Burns Trauma 2018, 8, 88–97. [Google Scholar]
- Pereira, R.F.; Carvalho, A.; Gil, M.H.; Mendes, A.; Bártolo, P.J. Influence of Aloe vera on water absorption and enzymatic in vitro degradation of alginate hydrogel films. Carbohydr. Polym. 2013, 98, 311–320. [Google Scholar] [CrossRef]
- Abbasi, A.R.; Sohail, M.; Minhas, M.U.; Khaliq, T.; Kousar, M.; Khan, S.; Hussain, Z.; Munir, A. Bioinspired sodium alginate based thermosensitive hydrogel membranes for accelerated wound healing. Int. J. Biol. Macromol. 2020, 155, 751–765. [Google Scholar] [CrossRef]
- Alavi, T.; Rezvanian, M.; Ahmad, N.; Mohamad, N.; Ng, S.F. Pluronic-F127 composite film loaded with erythromycin for wound application: Formulation, physicomechanical and in vitro evaluations. Drug Deliv. Transl. Res. 2019, 9, 508–519. [Google Scholar] [CrossRef]
- Rezvanian, M.; Ahmad, N.; Mohd Amin, M.C.; Ng, S.F. Optimization, characterization, and in vitro assessment of alginate-pectin ionic cross-linked hydrogel film for wound dressing applications. Int. J. Biol. Macromol. 2017, 97, 131–140. [Google Scholar] [CrossRef]
- Siddique, I. Exploring functional groups and molecular structures: A comprehensive analysis using FTIR spectroscopy. Chem. Res. J. 2024, 9, 70–76. [Google Scholar] [CrossRef]
- Shah, S.A.; Sohail, M.; Khan, S.A.; Kousar, M. Improved drug delivery and accelerated diabetic wound healing by chondroitin sulfate grafted alginate-based thermoreversible hydrogels. Mater. Sci. Eng. C Mater. Biol. Appl. 2021, 126, 112169. [Google Scholar] [CrossRef] [PubMed]
- Hassan, A.; Niazi, M.B.K.; Hussain, A.; Farrukh, S.; Ahmad, T. Development of anti-bacterial PVA/starch based hydrogel membrane for wound dressing. J. Polym. Environ. 2018, 26, 235–243. [Google Scholar] [CrossRef]
- Minhas, M.U.; Ahmad, M.; Ali, L.; Sohail, M. Synthesis of chemically cross-linked polyvinyl alcohol-co-poly (methacrylic acid) hydrogels by copolymerization; a potential graft-polymeric carrier for oral delivery of 5-fluorouracil. DARU J. Pharm. Sci. 2013, 21, 44. [Google Scholar] [CrossRef] [PubMed]
- Abdulkareem, S.A.; Adeniyi, A.G. Tensile and water absorbing properties of natural fibre reinforced plastic composites from waste polystyrene and rice husk. ABUAD J. Eng. Res. Dev. 2018, 1, 199–204. [Google Scholar]
- Hussain, R.; Tabassum, S.; Gilani, M.A.; Ahmed, E.; Sharif, A.; Manzoor, F.; Shah, A.T.; Asif, A.; Sharif, F.; Iqbal, F.; et al. In situ synthesis of mesoporous polyvinyl alcohol/hydroxyapatite composites for better biomedical coating adhesion. Appl. Surf. Sci. 2016, 364, 117–123. [Google Scholar] [CrossRef]
- Alshamrani, M.; Siddique, W.; Waqas, M.; Mukhtiar, M.; Yasmeen, A.; Shabani, T.; Shah, S.S.; Rahman, N.; Zaman, M.; Salawi, A. HPLC Method Development and Quantification of Favipiravir in Both Bulk and Solution Form. Lat. Am. J. Pharm. 2022, 41, 2196–2202. [Google Scholar]
- El-Refaie, W.M.; Elnaggar, Y.S.; El-Massik, M.A.; Abdallah, O.Y. Novel curcumin-loaded gel-core hyaluosomes with promising burn-wound healing potential: Development, in-vitro appraisal and in-vivo studies. Int. J. Pharm. 2015, 486, 88–98. [Google Scholar] [CrossRef]
- Albadawy, O.H.; Nafee, A.M.; Thabet, M.; El-Rehewy, M.S.; Ahmed, A.S. Microbiological assay of colistin sulfate antibiotic in pharmaceutical formulations. Bull. Pharm. Sci. Assiut Univ. 2013, 36, 93–103. [Google Scholar] [CrossRef]
- Cleophas, T.J.; Zwinderman, A.H. Non-parametric tests for three or more samples (Friedman and Kruskal-Wallis). In Clinical Data Analysis on a Pocket Calculator: Understanding the Scientific Methods of Statistical Reasoning and Hypothesis Testing; Springer: Berlin/Heidelberg, Germany, 2016; pp. 193–197. [Google Scholar]
- Anwar, H.; Ahmad, M.; Minhas, M.U.; Rehmani, S. Alginate-polyvinyl alcohol based interpenetrating polymer network for prolonged drug therapy, Optimization and in-vitro characterization. Carbohydr. Polym. 2017, 166, 183–194. [Google Scholar] [CrossRef]
- Mangal, S.; Park, H.; Zeng, L.; Yu, H.H.; Lin, Y.W.; Velkov, T.; Denman, J.A.; Zemlyanov, D.; Li, J.; Zhou, Q.T. Composite particle formulations of colistin and meropenem with improved in-vitro bacterial killing and aerosolization for inhalation. Int. J. Pharm. 2018, 548, 443–453. [Google Scholar] [CrossRef]
- Khanum, H.; Ullah, K.; Murtaza, G.; Khan, S.A. Fabrication and in vitro characterization of HPMC-g-poly(AMPS) hydrogels loaded with loxoprofen sodium. Int. J. Biol. Macromol. 2018, 120, 1624–1631. [Google Scholar] [CrossRef] [PubMed]
- Khan, S.; Minhas, M.U.; Ahmad, M.; Sohail, M. Self-assembled supramolecular thermoreversible β-cyclodextrin/ethylene glycol injectable hydrogels with difunctional Pluronic® 127 as controlled delivery depot of curcumin. Development, characterization and in vitro evaluation. J. Biomater. Sci. Polym. Ed. 2018, 29, 1–34. [Google Scholar] [CrossRef] [PubMed]
- Zhou, Q.T.; Morton, D.A.; Yu, H.H.; Jacob, J.; Wang, J.; Li, J.; Chan, H.K. Colistin powders with high aerosolisation efficiency for respiratory infection: Preparation and in vitro evaluation. J. Pharm. Sci. 2013, 102, 3736–3747. [Google Scholar] [CrossRef] [PubMed]
- Comaposada, J.; Gou, P.; Marcos, B.; Arnau, J. Physical properties of sodium alginate solutions and edible wet calcium alginate coatings. LWT—Food Sci. Technol. 2015, 64, 212–219. [Google Scholar] [CrossRef]
- Heger, R.; Kadlec, M.; Trudicova, M.; Zinkovska, N.; Hajzler, J.; Pekar, M.; Smilek, J. Novel Hydrogel Material with Tailored Internal Architecture Modified by “Bio” Amphiphilic Components—Design and Analysis by a Physico-Chemical Approach. Gels 2022, 8, 115. [Google Scholar] [CrossRef]
- Khan, M.U.A.; Razak, S.I.A.; Hassan, A.; Qureshi, S.; Stojanović, G.M.; Ihsan Ul, H. Multifunctional Arabinoxylan-functionalized-Graphene Oxide Based Composite Hydrogel for Skin Tissue Engineering. Front. Bioeng. Biotechnol. 2022, 10, 865059. [Google Scholar] [CrossRef] [PubMed]
- Vo, T.S.; Vo, T.T.B.C.; Nguyen, T.S.; Tien, T.T. Fabrication and Characterization of Gelatin/Chitosan Hydrogel Membranes. J. Turk. Chem. Soc. Sect. A Chem. 2021, 8, 1045–1056. [Google Scholar] [CrossRef]
- Tang, Y.; Zhu, T.; Liu, H.; Tang, Z.; Kuang, X.; Qiao, Y.; Zhang, H.; Zhu, C. Hydrogel/β-FeOOH-Coated Poly(vinylidene fluoride) Membranes with Superhydrophilicity/Underwater Superoleophobicity Facilely Fabricated via an Aqueous Approach for Multifunctional Applications. Polymers 2023, 15, 839. [Google Scholar] [CrossRef]
- Siddique, W.; Zaman, M.; Khan, R.; Butt, M.H.; Muhammad, K.; Salawi, A.; Safhi, A.Y.; Sabei, F.Y.; Alshamrani, M.; Almoshari, Y. Formulation and Evaluation of Hydroxypropyl Methylcellulose Based Topical Gel Loaded with Ganciclovir. Lat. Am. J. Pharm. 2022, 41, 2096–2108. [Google Scholar]
- Altaf, F.; Niazi, M.B.K.; Jahan, Z.; Ahmad, T.; Akram, M.A.; Safdar, A.; Butt, M.S.; Noor, T.; Sher, F. Synthesis and characterization of PVA/starch hydrogel membranes incorporating essential oils aimed to be used in wound dressing applications. J. Polym. Environ. 2021, 29, 156–174. [Google Scholar] [CrossRef]
- Pawlaczyk, M.; Lelonkiewicz, M.; Wieczorowski, M. Age-dependent biomechanical properties of the skin. Postep. Dermatol. Alergol. 2013, 30, 302–306. [Google Scholar] [CrossRef]
- Jantrawut, P.; Bunrueangtha, J.; Suerthong, J.; Kantrong, N. Fabrication and Characterization of Low Methoxyl Pectin/Gelatin/Carboxymethyl Cellulose Absorbent Hydrogel Film for Wound Dressing Applications. Materials 2019, 12, 1628. [Google Scholar] [CrossRef] [PubMed]
- Baghaie, S.; Khorasani, M.T.; Zarrabi, A.; Moshtaghian, J. Wound healing properties of PVA/starch/chitosan hydrogel membranes with nano Zinc oxide as antibacterial wound dressing material. J. Biomater. Sci. Polym. Ed. 2017, 28, 2220–2241. [Google Scholar] [CrossRef] [PubMed]
- Dung, T.H.; Huong, L.T.; Yoo, H. Morphological Feature of Pluronic F127 and Its Application in Burn Treatment. J. Nanosci. Nanotechnol. 2018, 18, 829–832. [Google Scholar] [CrossRef]
- Salawi, A.; Alam, M.; Zaman, M.; Qureshi, S.; Sikandar Shah, S.; Majeed, I.; Farooq, U.; Mustafa, W.; Shamim, Q.U.; Siddique, W.; et al. Optimization and fabrication of the nanosponge carriers of on dansetron using one-factor design. Pak. J. Pharm. Sci. 2022, 35, 1135–1142. [Google Scholar]
- Patel, S.; Srivastava, S.; Singh, M.R.; Singh, D. Preparation and optimization of chitosan-gelatin films for sustained delivery of lupeol for wound healing. Int. J. Biol. Macromol. 2018, 107, 1888–1897. [Google Scholar] [CrossRef]
- Xu, R.; Xia, H.; He, W.; Li, Z.; Zhao, J.; Liu, B.; Wang, Y.; Lei, Q.; Kong, Y.; Bai, Y.; et al. Controlled water vapor transmission rate promotes wound-healing via wound re-epithelialization and contraction enhancement. Sci. Rep. 2016, 6, 24596. [Google Scholar] [CrossRef] [PubMed]
- Lainioti, G.C.; Bounos, G.; Voyiatzis, G.A.; Kallitsis, J.K. Enhanced water vapor transmission through porous membranes based on melt blending of polystyrene sulfonate with polyethylene copolymers and their CNT nanocomposites. Polymers 2016, 8, 190. [Google Scholar] [CrossRef]
- Zaman, M.; Hassan, R.; Amjad, M.W.; Khan, S.M.; Gaffor Raja, M.A.; Shah, S.S.; Siddique, W.; Aman, W.; Abid, Z.; Butt, M.H. Formulation of instant disintegrating buccal films without using disintegrant: An in-vitro study. Pak. J. Pharm. Sci. 2021, 34, 2357–2364. [Google Scholar] [PubMed]
- Kim, J.O.; Park, J.K.; Kim, J.H.; Jin, S.G.; Yong, C.S.; Li, D.X.; Choi, J.Y.; Woo, J.S.; Yoo, B.K.; Lyoo, W.S.; et al. Development of polyvinyl alcohol-sodium alginate gel-matrix-based wound dressing system containing nitrofurazone. Int. J. Pharm. 2008, 359, 79–86. [Google Scholar] [CrossRef] [PubMed]
- Montaser, A.S.; Rehan, M.; El-Naggar, M.E. pH-Thermosensitive hydrogel based on polyvinyl alcohol/sodium alginate/N-isopropyl acrylamide composite for treating re-infected wounds. Int. J. Biol. Macromol. 2019, 124, 1016–1024. [Google Scholar] [CrossRef]
- Araújo, D.; Martins, M.; Concórdio-Reis, P.; Roma-Rodrigues, C.; Morais, M.; Alves, V.D.; Fernandes, A.R.; Freitas, F. Novel Hydrogel Membranes Based on the Bacterial Polysaccharide FucoPol: Design, Characterization and Biological Properties. Pharmaceuticals 2023, 16, 991. [Google Scholar] [CrossRef]
- Champeau, M.; Póvoa, V.; Militão, L.; Cabrini, F.M.; Picheth, G.F.; Meneau, F.; Jara, C.P.; de Araujo, E.P.; de Oliveira, M.G. Supramolecular poly(acrylic acid)/F127 hydrogel with hydration-controlled nitric oxide release for enhancing wound healing. Acta Biomater. 2018, 74, 312–325. [Google Scholar] [CrossRef] [PubMed]
- Ajovalasit, A.; Caccami, M.C.; Amendola, S.; Sabatino, M.A.; Alotta, G.; Zingales, M.; Giacomazza, D.; Occhiuzzi, C.; Marrocco, G.; Dispenza, C. Development and characterization of xyloglucan-poly (vinyl alcohol) hydrogel membrane for Wireless Smart wound dressings. Eur. Polym. J. 2018, 106, 214–222. [Google Scholar] [CrossRef]
- Jung, Y.S.; Park, W.; Park, H.; Lee, D.K.; Na, K. Thermo-sensitive injectable hydrogel based on the physical mixing of hyaluronic acid and Pluronic F-127 for sustained NSAID delivery. Carbohydr. Polym. 2017, 156, 403–408. [Google Scholar] [CrossRef]
- Scutera, S.; Argenziano, M.; Sparti, R.; Bessone, F.; Bianco, G.; Bastiancich, C.; Castagnoli, C.; Stella, M.; Musso, T.; Cavalli, R. Enhanced Antimicrobial and Antibiofilm Effect of New Colistin-Loaded Human Albumin Nanoparticles. Antibiotics 2021, 10, 57. [Google Scholar] [CrossRef] [PubMed]













| Formulation | SA (%w/w) | PVA (%w/w) | F-127 (%w/w) | Glycerol (%w/w) | Colistin (%w/w) |
|---|---|---|---|---|---|
| F1 | 2 | 5 | 0 | 7 | 0.025 |
| F2 | 3 | 5 | 0 | 7 | 0.025 |
| F3 | 4 | 5 | 0 | 7 | 0.025 |
| F4 | 3 | 4 | 0 | 7 | 0.025 |
| F5 | 3 | 5 | 0 | 7 | 0.025 |
| F6 | 3 | 6 | 0 | 7 | 0.025 |
| F7-blank | 3 | 5 | 0 | 7 | 0 |
| F8 | 2 | 5 | 3 | 7 | 0.025 |
| F9 | 3 | 5 | 3 | 7 | 0.025 |
| F10 | 4 | 5 | 3 | 7 | 0.025 |
| F11 | 3 | 4 | 3 | 7 | 0.025 |
| F12 | 3 | 5 | 3 | 7 | 0.025 |
| F13 | 3 | 6 | 3 | 7 | 0.025 |
| F14 | 3 | 5 | 2 | 7 | 0.025 |
| F15 | 3 | 5 | 3 | 7 | 0.025 |
| F16 | 3 | 5 | 4 | 7 | 0.025 |
| F17-blank | 3 | 5 | 3 | 7 | 0 |
| Formulation | % Elongation ± SD | Tensile Strength (MPa) ± SD | Peak Load (N) ± SD | Young’s Modulus (MPa) ± SD |
|---|---|---|---|---|
| F2 | 56.61 ± 0.91 | 2.43 ± 0.24 | 7.30 ± 0.10 | 1.39 ± 0.17 |
| F7 | 33.90 ± 0.57 | 1.53 ± 0.11 | 4.79 ± 0.10 | 2.13 ± 0.10 |
| F9 | 23.08 ± 0.40 | 1.05 ± 0.12 | 3.17 ± 0.10 | 5.71 ± 0.05 |
| F17 | 27.03 ± 0.36 | 0.57 ± 0.03 | 1.72 ± 0.21 | 1.50 ± 0.18 |
| Formulation | Avg. Thickness (mm) ± SD | Solvent Loss (g) ± SD | Percent (%) Solvent Loss |
|---|---|---|---|
| F1 | 0.13 ± 0.02 | 28.39 ± 0.11 | 94.63 |
| F2 | 0.14 ± 0.01 | 29.00 ± 0.21 | 96.67 |
| F3 | 0.15 ± 0.02 | 28.50 ± 0.31 | 95.00 |
| F4 | 0.14 ± 0.03 | 28.49 ± 0.24 | 94.97 |
| F6 | 0.14 ± 0.03 | 28.40 ± 0.21 | 94.67 |
| F7 | 0.12 ± 0.03 | 29.07 ± 0.04 | 96.90 |
| F8 | 0.16 ± 0.02 | 28.58 ± 0.24 | 95.27 |
| F9 | 0.17 ± 0.03 | 29.00 ± 0.21 | 96.67 |
| F10 | 0.15 ± 0.03 | 28.40 ± 0.12 | 94.67 |
| F11 | 0.15 ± 0.02 | 28.58 ± 0.04 | 95.27 |
| F13 | 0.14 ± 0.03 | 28.60 ± 0.21 | 95.33 |
| F14 | 0.14 ± 0.03 | 28.60 ± 0.22 | 95.33 |
| F16 | 0.14 ± 0.03 | 28.65 ± 0.27 | 95.50 |
| F17 | 0.13 ± 0.01 | 28.99 ± 0.21 | 96.63 |
| Formulation | W0 (g) | We (g) | We/W0 | [(We/W0) × 100] ± SD |
|---|---|---|---|---|
| F1 | 0.148 | 0.099 | 0.669 | 66.89 ± 1.24 |
| F2 | 0.138 | 0.092 | 0.667 | 66.67 ± 0.65 |
| F3 | 0.163 | 0.100 | 0.614 | 61.39 ± 3.25 |
| F4 | 0.158 | 0.108 | 0.684 | 68.35 ± 2.65 |
| F6 | 0.167 | 0.110 | 0.659 | 65.87 ± 2.65 |
| F7 | 0.131 | 0.086 | 0.658 | 65.80 ± 6.06 |
| F8 | 0.114 | 0.082 | 0.719 | 71.93 ± 2.65 |
| F9 | 0.130 | 0.090 | 0.692 | 69.23 ± 6.06 |
| F10 | 0.198 | 0.131 | 0.662 | 66.16 ± 2.89 |
| F11 | 0.182 | 0.130 | 0.714 | 71.43 ± 2.65 |
| F13 | 0.175 | 0.118 | 0.674 | 67.43 ± 3.11 |
| F14 | 0.120 | 0.094 | 0.783 | 78.33 ± 2.65 |
| F16 | 0.146 | 0.101 | 0.692 | 69.18 ± 2.89 |
| F17 | 0.147 | 0.101 | 0.685 | 68.50 ± 3.11 |
| S. No. | Media Used for Drug Release Studies | p-Value (for F1–F16) |
|---|---|---|
| 1. | Water | 0.820 |
| 2. | Normal saline | 0.467 |
| 3. | Phosphate buffer (pH 7.4) | 0.597 |
| Formulation | D (mm) | f. | Avg. ZOI (mm) | SD | Min. ZOI (mm) | Med. ZOI (mm) | Max. ZOI (mm) |
|---|---|---|---|---|---|---|---|
| F2 | 8 | 3 | 20.33 | 2.51 | 18 | 20 | 23 |
| F7 | 8 | 3 | 0 | 0 | 0 | 0 | 0 |
| F9 | 8 | 3 | 21.66 | 2.08 | 20 | 21 | 24 |
| F17 | 8 | 3 | 0 | 0 | 0 | 0 | 0 |
| +ve control | 5 | 3 | 12.66 | 0.57 | 12 | 13 | 13 |
| −ve control | 5 | 3 | 0 | 0 | 0 | 0 | 0 |
Disclaimer/Publisher’s Note: The statements, opinions and data contained in all publications are solely those of the individual author(s) and contributor(s) and not of MDPI and/or the editor(s). MDPI and/or the editor(s) disclaim responsibility for any injury to people or property resulting from any ideas, methods, instructions or products referred to in the content. |
© 2026 by the authors. Licensee MDPI, Basel, Switzerland. This article is an open access article distributed under the terms and conditions of the Creative Commons Attribution (CC BY) license.
Share and Cite
Muhammad, N.; Shah, S.S.; Bukhari, A.A.S.; Ahmed, J.; Usman, S.; Khan, S.A.; Alam, A.; Rabbani, S.A.; Asghar, J. Formulation and Evaluation of Alginate-Based Hydrogel Membranes Loaded with Colistin for Effective Management of Multidrug-Resistant Wound Infections. Pharmaceutics 2026, 18, 133. https://doi.org/10.3390/pharmaceutics18010133
Muhammad N, Shah SS, Bukhari AAS, Ahmed J, Usman S, Khan SA, Alam A, Rabbani SA, Asghar J. Formulation and Evaluation of Alginate-Based Hydrogel Membranes Loaded with Colistin for Effective Management of Multidrug-Resistant Wound Infections. Pharmaceutics. 2026; 18(1):133. https://doi.org/10.3390/pharmaceutics18010133
Chicago/Turabian StyleMuhammad, Nizar, Syed Sikandar Shah, Ashfaq Ahmad Shah Bukhari, Jamil Ahmed, Shahnaz Usman, Shujaat Ali Khan, Aftab Alam, Syed Arman Rabbani, and Junaid Asghar. 2026. "Formulation and Evaluation of Alginate-Based Hydrogel Membranes Loaded with Colistin for Effective Management of Multidrug-Resistant Wound Infections" Pharmaceutics 18, no. 1: 133. https://doi.org/10.3390/pharmaceutics18010133
APA StyleMuhammad, N., Shah, S. S., Bukhari, A. A. S., Ahmed, J., Usman, S., Khan, S. A., Alam, A., Rabbani, S. A., & Asghar, J. (2026). Formulation and Evaluation of Alginate-Based Hydrogel Membranes Loaded with Colistin for Effective Management of Multidrug-Resistant Wound Infections. Pharmaceutics, 18(1), 133. https://doi.org/10.3390/pharmaceutics18010133

