Toxicity, Half-Life and Antitumor Activity of Phenyl 4-(2-Oxo-3-alkylimidazolidin-1-yl)benzenesulfonates as Novel Antimitotic CYP1A1-Targeted Prodrugs in Female Mouse Models
Abstract
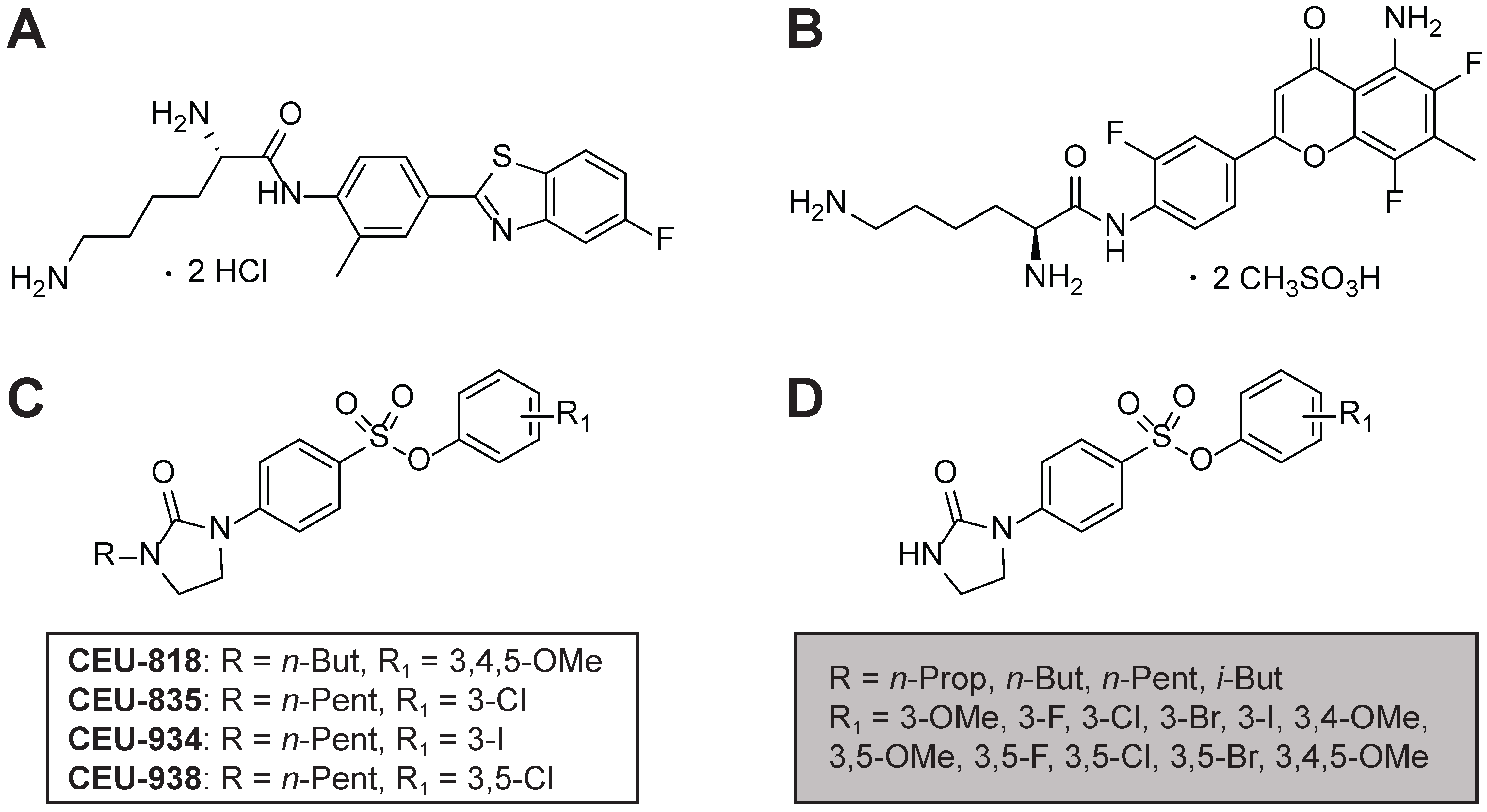
1. Introduction
2. Materials and Methods
2.1. Reagents and Compounds
2.2. Animals
2.3. Side-Effect Study of Multi-Intravenous Administrations of CEU-835, -934 and -938 in Healthy Mice
2.4. Half-Life Evaluations of CEU-835, -934 and -938 in Healthy Mice Following Intravenous Administration
2.5. Antitumoral Activity of CEU-835, -934, and -938 in an MCF7 Xenograft Tumor Mouse Model
3. Results
3.1. Multi-Intravenous Administrations of CEU-835, -934, or -938 in Healthy Mice Exhibit No Behavioral and Macroscopic Side Effects
3.2. CEU-835, -934, and -938 Show Normal Hematological Total Blood Count Profiles Following Their Multi-Intravenous Administrations in Healthy Mice
3.3. The Microscopical Observation of Liver, Kidneys and Lungs of Healthy Mice Treated with CEU-835, -934 and -938 Show Normal Histological Morphology
3.4. CEU-835, -934, and -938 Have Systemic Half-Lives Ranging from 8.1 to 23.2 h
3.5. CEU-835, -934, and -938 Delayed or Decreased Tumor Growth of MCF7 BC Xenografted in Mice
4. Discussion
Author Contributions
Funding
Institutional Review Board Statement
Informed Consent Statement
Data Availability Statement
Conflicts of Interest
Abbreviations
| AFP464 | (2S)-2,6-Diamino-N-[4-(5-amino-6,8-difluoro-7-methyl-4-oxochroman-2-yl)-2-fluorophenyl]hexanamide dimethanesulfonate | 
| CEU-835 | 3-Chlorophenyl 4-(2-oxo-3-pentylimidazolidin-1-yl)benzenesulfonate | 
| CEU-934 | 3-Iodophenyl 4-(2-oxo-3-pentylimidazolidin-1-yl)benzenesulfonate | 
| CEU-938 | 3,5-Dichlorophenyl 4-(2-oxo-3-pentylimidazolidin-1-yl)benzenesulfonate | 
| PAIB-SOs | Phenyl 4-(2-oxo-3-alkylimidazolidin-1-yl)benzenesulfonates | 
| Phortress | (2S)-2,6-Diamino-N-[4-(5-fluoro-2-benzothiazolyl)-2-methylphenyl]hexanamide dihydrochloride | 
| PIB-SOs | Phenyl 4-(2-oxoimidazolidin-1-yl)benzenesulfonates | 
References
- Amato, O.; Guarneri, V.; Girardi, F. Epidemiology trends and progress in breast cancer survival: Earlier diagnosis, new therapeutics. Curr. Opin. Oncol. 2023, 35, 612–619. [Google Scholar] [CrossRef] [PubMed]
- Hanahan, D.; Weinberg, R.A. The hallmarks of cancer. Cell 2000, 100, 57–70. [Google Scholar] [CrossRef] [PubMed]
- Moo, T.A.; Sanford, R.; Dang, C.; Morrow, M. Overview of breast cancer therapy. PET Clin. 2018, 13, 339–354. [Google Scholar] [CrossRef] [PubMed]
- Burguin, A.; Diorio, C.; Durocher, F. Breast cancer treatments: Updates and new challenges. J. Pers. Med. 2021, 11, 808. [Google Scholar] [CrossRef]
- Narod, S.A. Personalised medicine and population health: Breast and ovarian cancer. Hum. Genet. 2018, 137, 769–778. [Google Scholar] [CrossRef]
- Janczy-Cempa, E.; Mazuryk, O.; Kania, A.; Brindell, M. Significance of specific oxidoreductases in the design of hypoxia-activated prodrugs and fluorescent turn off-on probes for hypoxia imaging. Cancers 2022, 14, 2686. [Google Scholar] [CrossRef]
- Chen, Z.; Li, Z.; Niu, X.; Ye, X.; Yu, Y.; Lu, S.; Chen, Z. The effect of CYP1A1 polymorphisms on the risk of lung cancer: A global meta-analysis based on 71 case-control studies. Mutagenesis 2011, 26, 437–446. [Google Scholar] [CrossRef]
- Androutsopoulos, V.P.; Spyrou, I.; Ploumidis, A.; Papalampros, A.E.; Kyriakakis, M.; Delakas, D.; Spandidos, D.A.; Tsatsakis, A.M. Expression profile of CYP1A1 and CYP1B1 enzymes in colon and bladder tumors. PLoS ONE 2013, 8, e82487. [Google Scholar] [CrossRef]
- Rodriguez, M.; Potter, D.A. CYP1A1 regulates breast cancer proliferation and survival. Mol. Cancer Res. 2013, 11, 780–792. [Google Scholar] [CrossRef]
- Kim, J.H.; Sherman, M.E.; Curriero, F.C.; Guengerich, F.P.; Strickland, P.T.; Sutter, T.R. Expression of cytochromes P450 1A1 and 1B1 in human lung from smokers, non-smokers, and ex-smokers. Toxicol. Appl. Pharmacol. 2004, 199, 210–219. [Google Scholar] [CrossRef]
- Paine, M.F.; Schmiedlin-Ren, P.; Watkins, P.B. Cytochrome P-450 1A1 expression in human small bowel: Interindividual variation and inhibition by ketoconazole. Drug Metab. Dispos. 1999, 27, 360–364. [Google Scholar] [CrossRef] [PubMed]
- Androutsopoulos, V.P.; Tsatsakis, A.M.; Spandidos, D.A. Cytochrome P450 CYP1A1: Wider roles in cancer progression and prevention. BMC Cancer 2009, 9, 187–204. [Google Scholar] [CrossRef]
- Bradshaw, T.D.; Westwell, A.D. The development of the antitumour benzothiazole prodrug, Phortress, as a clinical candidate. Curr. Med. Chem 2004, 11, 1009–1021. [Google Scholar] [CrossRef] [PubMed]
- Kuffel, M.J.; Schroeder, J.C.; Pobst, L.J.; Naylor, S.; Reid, J.M.; Kaufmann, S.H.; Ames, M.M. Activation of the antitumor agent aminoflavone (NSC 686288) is mediated by induction of tumor cell cytochrome P450 1A1/1A2. Mol. Pharmacol. 2002, 62, 143–153. [Google Scholar] [CrossRef] [PubMed]
- Trapani, V.; Patel, V.; Leong, C.O.; Ciolino, H.P.; Yeh, G.C.; Hose, C.; Trepel, J.B.; Stevens, M.F.G.; Sausville, E.A.; Loaiza-Pérez, A.I. DNA damage and cell cycle arrest induced by 2-(4-amino-3-methylphenyl)-5-fluorobenzothiazole (5F 203, NSC 703786) is attenuated in aryl hydrocarbon receptor deficient MCF-7 cells. Br. J. Cancer 2003, 88, 599–605. [Google Scholar] [CrossRef] [PubMed]
- Sneha, S.; Baker, S.C.; Green, A.; Storr, S.; Aiyappa, R.; Martin, S.; Pors, K. Intratumoural cytochrome P450 expression in breast cancer: Impact on standard of care treatment and new efforts to develop tumour-selective therapies. Biomedicines 2021, 9, 290. [Google Scholar] [CrossRef]
- Fortin, S.; Charest-Morin, X.; Turcotte, V.; Lauvaux, C.; Lacroix, J.; Cote, M.F.; Gobeil, S.; C.-Gaudreault, R. Activation of phenyl 4-(2-oxo-3-alkylimidazolidin-1-yl) benzenesulfonates prodrugs by CYP1A1 as new antimitotics targeting breast cancer cells. J. Med. Chem. 2017, 60, 4963–4982. [Google Scholar] [CrossRef]
- Chavez Alvarez, A.C.; Zarifi Khosroshahi, M.; Côté, M.F.; Gagné-Boulet, M.; Fortin, S. 4-(3-Alkyl-2-oxoimidazolidin-1-yl)-N-phenylbenzenesulfonamides as new antimitotic prodrugs activated by cytochrome P450 1A1 in breast cancer cells. Bioorg. Med. Chem. 2018, 26, 5045–5052. [Google Scholar] [CrossRef]
- Zarifi Khosroshahi, M.; Chavez Alvarez, A.C.; Gagné-Boulet, M.; C.-Gaudreault, R.; Gobeil, S.; Fortin, S. Evaluation of the time-dependent antiproliferative activity and liver microsome stability of 3 phenyl 4-(2-oxo-3-alkylimidazolidin-1-yl) benzenesulfonates as promising CYP1A1-dependent antimicrotubule prodrugs. J. Pharm. Pharmacol. 2020, 72, 249–258. [Google Scholar] [CrossRef]
- Bouzriba, C.; Chavez Alvarez, A.C.; Gagné-Boulet, M.; Ouellette, V.; Lacroix, J.; Côté, M.-F.; C.-Gaudreault, R.; Fortin, S. Branched alkyl of phenyl 4-(2-oxo-3-alkylimidazolidin-1-yl)benzenesulfonates as unique cytochrome P450 1A1-activated antimitotic prodrugs: Biological evaluation and mechanism of bioactivation. Eur. J. Med. Chem. 2022, 229, 114003. [Google Scholar] [CrossRef]
- Chavez Alvarez, A.C.; Bouzriba, C.; Moreau, E.; Auzeloux, P.; Besse, S.; Ouellette, V.; Zarifi Khosroshahi, M.; Côté, M.-F.; Pilote, S.; Miot-Noirault, E.; et al. Homologation of the alkyl side chain of antimitotic phenyl 4-(2-oxo-3-alkylimidazolidin-1-yl)benzenesulfonate prodrugs selectively targeting CYP1A1-expressing breast cancers improves their stability in rodent liver microsomes. J. Med. Chem. 2023, 66, 2477–2497. [Google Scholar] [CrossRef] [PubMed]
- Fortin, S.; Wei, L.; Moreau, E.; Lacroix, J.; Côté, M.F.; Petitclerc, É.; Kotra, L.P.; Gaudreault, R.C. Substituted phenyl 4-(2-oxoimidazolidin-1-yl) benzenesulfonamides as antimitotics. Antiproliferative, antiangiogenic and antitumoral activity, and quantitative structure-activity relationships. Eur. J. Med. Chem. 2011, 46, 5327–5342. [Google Scholar] [CrossRef] [PubMed]
- Chavez Alvarez, A.C.; Bouzriba, C.; Bernier, L.; Ouellette, V.; Gagné-Boulet, M.; Pilote, S.; C.-Gaudreault, R.; Simard, C.; Fortin, S. Development of an UHPLC-UV method for quantification of three phenyl 4-(2-oxo-3-alkylimidazolidin-1-yl)benzenesulfonates in CD-1® IGS female mouse plasma. J. Anal. Chem. 2024, 79, 456–463. [Google Scholar] [CrossRef]
- Hallare, J.; Gerriets, V. Half life. In StatPearls; StatPearls Publishing: Treasure Island, FL, USA, 2023; Volume 1, pp. 1–6. [Google Scholar]
- Gierthy, J.F.; Bennett, J.A.; Bradley, L.M.; Cutler, D.S. Correlation of in vitro and in vivo growth suppression of MCF-7 human breast cancer by 2,3,7,8-tetrachlorodibenzo-p-dioxin. Cancer Res. 1993, 53, 3149–3153. [Google Scholar] [PubMed]
- Behzadi, R.; Ahmadpour, S.; Amiri, F.T.; Kavosian, S.; Asori, M.; Hosseinimehr, S.J. Choosing the right protocol to establish MCF-7 tumor xenograft in nude mice. Anti-Cancer Agents Med. Chem. 2023, 23, 222–226. [Google Scholar] [CrossRef]
- Mathews, R.; Setthavongsack, N.; Le-Cook, A.; Kaempf, A.; Loftis, J.M.; Woltjer, R.L. Role of platelet count in a murine stasis model of deep vein thrombosis. Platelets 2024, 35, 2290916. [Google Scholar] [CrossRef]
- O’Connell, K.E.; Mikkola, A.M.; Stepanek, A.M.; Vernet, A.; Hall, C.D.; Sun, C.C. Practical murine hematopathology: A comparative review and implications for research. Comp. Med. 2015, 65, 96–113. [Google Scholar]
- Lee, J.J.; Jacobsen, E.A.; Ochkur, S.I.; McGarry, M.P.; Condjella, R.M.; Doyle, A.D.; Luo, H.; Zellner, K.R.; Protheroe, C.A.; Willetts, L.; et al. Human versus mouse eosinophils: “That which we call an eosinophil, by any other name would stain as red”. J. Allergy Clin. Immunol. 2012, 130, 572–584. [Google Scholar] [CrossRef]
- Mildner, A.; Marinkovic, G.; Jung, S. Murine monocytes: Origins, subsets, fates, and functions. Microbiol. Spectr. 2016, 4, 1–11. [Google Scholar] [CrossRef]
- Abu Samaan, T.M.; Samec, M.; Liskova, A.; Kubatka, P.; Busselberg, D. Paclitaxel’s mechanistic and clinical effects on breast cancer. Biomolecules 2019, 9, 789. [Google Scholar] [CrossRef]






| Disclaimer/Publisher’s Note: The statements, opinions and data contained in all publications are solely those of the individual author(s) and contributor(s) and not of MDPI and/or the editor(s). MDPI and/or the editor(s) disclaim responsibility for any injury to people or property resulting from any ideas, methods, instructions or products referred to in the content. | 
© 2025 by the authors. Licensee MDPI, Basel, Switzerland. This article is an open access article distributed under the terms and conditions of the Creative Commons Attribution (CC BY) license (https://creativecommons.org/licenses/by/4.0/).
Share and Cite
Chavez Alvarez, A.C.; Bouzriba, C.; Ouellette, V.; Gagné-Boulet, M.; Patenaude, A.; Pilote, S.; C.-Gaudreault, R.; Simard, C.; Fortin, S. Toxicity, Half-Life and Antitumor Activity of Phenyl 4-(2-Oxo-3-alkylimidazolidin-1-yl)benzenesulfonates as Novel Antimitotic CYP1A1-Targeted Prodrugs in Female Mouse Models. Pharmaceutics 2025, 17, 233. https://doi.org/10.3390/pharmaceutics17020233
Chavez Alvarez AC, Bouzriba C, Ouellette V, Gagné-Boulet M, Patenaude A, Pilote S, C.-Gaudreault R, Simard C, Fortin S. Toxicity, Half-Life and Antitumor Activity of Phenyl 4-(2-Oxo-3-alkylimidazolidin-1-yl)benzenesulfonates as Novel Antimitotic CYP1A1-Targeted Prodrugs in Female Mouse Models. Pharmaceutics. 2025; 17(2):233. https://doi.org/10.3390/pharmaceutics17020233
Chicago/Turabian StyleChavez Alvarez, Atziri Corin, Chahrazed Bouzriba, Vincent Ouellette, Mathieu Gagné-Boulet, Alexandre Patenaude, Sylvie Pilote, René C.-Gaudreault, Chantale Simard, and Sébastien Fortin. 2025. "Toxicity, Half-Life and Antitumor Activity of Phenyl 4-(2-Oxo-3-alkylimidazolidin-1-yl)benzenesulfonates as Novel Antimitotic CYP1A1-Targeted Prodrugs in Female Mouse Models" Pharmaceutics 17, no. 2: 233. https://doi.org/10.3390/pharmaceutics17020233
APA StyleChavez Alvarez, A. C., Bouzriba, C., Ouellette, V., Gagné-Boulet, M., Patenaude, A., Pilote, S., C.-Gaudreault, R., Simard, C., & Fortin, S. (2025). Toxicity, Half-Life and Antitumor Activity of Phenyl 4-(2-Oxo-3-alkylimidazolidin-1-yl)benzenesulfonates as Novel Antimitotic CYP1A1-Targeted Prodrugs in Female Mouse Models. Pharmaceutics, 17(2), 233. https://doi.org/10.3390/pharmaceutics17020233
 
        



 
                        