Volatile Compounds as Upcoming Antigiardial Agents: In Vitro Action of Carvacrol, Thymol and p-Cymene on Giardia lamblia Trophozoites
Abstract
1. Introduction
2. Materials and Methods
2.1. Chemicals
2.2. Parasites and Cultures
2.3. G. lamblia Growth Inhibition Assay
2.4. G. lamblia Viability Assays
2.5. Measurement of G. lamblia Swelling
2.6. Assessment of G. lamblia Adhesion
2.7. G. lamblia Transmission and Scanning Electron Microscopy
2.8. Mammalian Cell Cytotoxicity Assay
2.9. Statistical Analysis
3. Results
3.1. Inhibition of In Vitro Proliferation
3.2. Viability Studies
3.3. Effects on Cellular Volume
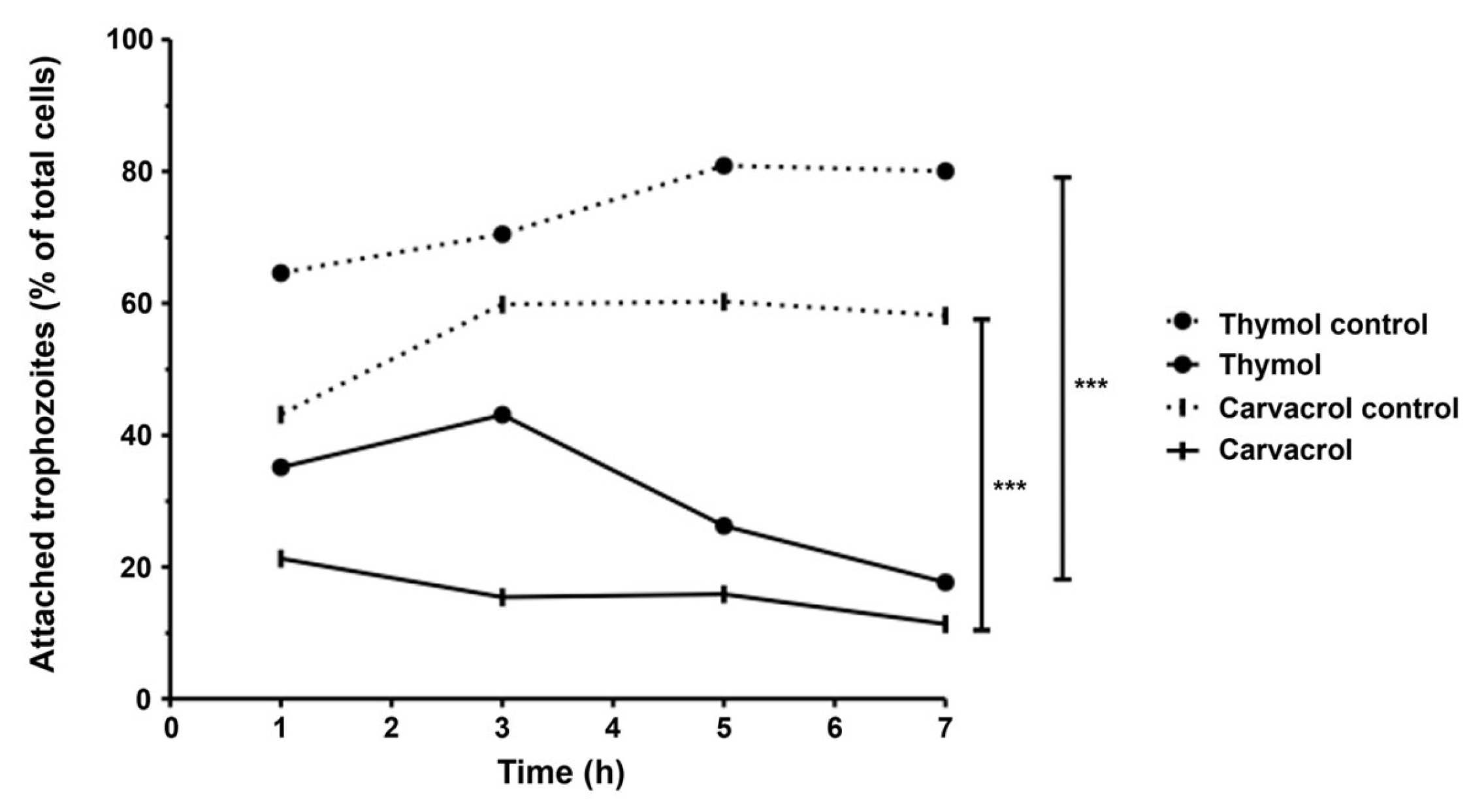
3.4. Adherence Inhibition
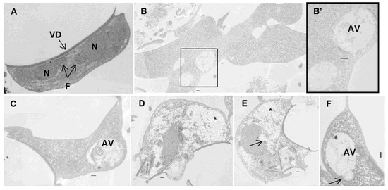
3.5. Ultrastructural Effects
3.6. Mammalian Cell Cytotoxicity Assay
4. Discussion
5. Conclusions
Author Contributions
Funding
Institutional Review Board Statement
Informed Consent Statement
Data Availability Statement
Conflicts of Interest
Abbreviations
| DMSO | Dimethylsulfoxide |
| IC50 | Inhibitory Concentration (half-maximal) |
| SD | Standard Deviation |
| SEM | Scanning electron microscopy |
| TEM | Transmission electron microscopy |
References
- Leung, A.K.C.; Leung, A.A.M.; Wong, A.H.C.; Sergi, C.M.; Kam, J.K.M. Giardiasis: An Overview. Recent Pat. Inflamm. Allergy Drug Discov. 2019, 13, 134–143. [Google Scholar] [CrossRef]
- World Health Organization. Giardia Duodenalis: Background Document for the WHO Guidelines for Drinking-Water Quality and the WHO Guidelines on Sanitation and Health; World Health Organization: Geneva, Switzerland, 2025. [Google Scholar]
- Vitale, S.; Colanero, S.; Placidi, M.; Di Emidio, G.; Tatone, C.; Amicarelli, F.; D’Alessandro, A.M. Phytochemistry and Biological Activity of Medicinal Plants in Wound Healing: An Overview of Current Research. Molecules 2022, 27, 3566. [Google Scholar] [CrossRef]
- Li, Z.; Wang, Y.; Xu, M.; Liu, H.; Li, L.; Xu, D. Molecular Mechanism Overview of Metabolite Biosynthesis in Medicinal Plants. Plant Physiol. Biochem. 2023, 204, 108125. [Google Scholar] [CrossRef]
- Ayalew, H.; Tewelde, E.; Abebe, B.; Alebachew, Y.; Tadesse, S. Endemic Medicinal Plants of Ethiopia: Ethnomedicinal Uses, Biological Activities and Chemical Constituents. J. Ethnopharmacol. 2022, 293, 115307. [Google Scholar] [CrossRef] [PubMed]
- Meesakul, P.; Shea, T.; Fenstemacher, R.; Wong, S.X.; Kuroki, Y.; Wada, A.; Cao, S. Phytochemistry and Biological Studies of Endemic Hawaiian Plants. Int. J. Mol. Sci. 2023, 24, 16323. [Google Scholar] [CrossRef]
- Ugboko, H.U.; Nwinyi, O.C.; Oranusi, S.U.; Fatoki, T.H.; Omonhinmin, C.A. Antimicrobial Importance of Medicinal Plants in Nigeria. Sci. World J. 2020, 2020, 7059323. [Google Scholar] [CrossRef]
- Hashemi, N.; Ommi, D.; Kheyri, P.; Khamesipour, F.; Setzer, W.N.; Benchimol, M. A Review Study on the Anti-Trichomonas Activities of Medicinal Plants. Int. J. Parasitol. Drugs Drug Resist. 2021, 15, 92–104. [Google Scholar] [CrossRef]
- Fermiano, T.H.; Perez de Souza, J.V.; Murase, L.S.; Salvaterra Pasquini, J.P.; de Lima Scodro, R.B.; Zanetti Campanerut-Sá, P.A.; Caleffi-Ferracioli, K.R.; Dias Siqueira, V.L.; Meneguello, J.E.; Vieira Teixeira, J.J.; et al. Antimicrobial Activity of Carvacrol and Its Derivatives on Mycobacterium Spp.: Systematic Review of Preclinical Studies. Future Med. Chem. 2024, 16, 679–688. [Google Scholar] [CrossRef] [PubMed]
- Pinto, L.; Baruzzi, F.; Terzano, R.; Busto, F.; Marzulli, A.; Magno, C.; Cometa, S.; De Giglio, E. Analytical and Antimicrobial Characterization of Zn-Modified Clays Embedding Thymol or Carvacrol. Molecules 2024, 29, 3607. [Google Scholar] [CrossRef] [PubMed]
- Özel, Y.; Çavuş, İ.; Ünlü, G.; Ünlü, M.; Özbilgin, A. Investigation of the Antitrichomonal Activity of Cinnamaldehyde, Carvacrol and Thymol and Synergy with Metronidazole. Turk. Parazitolojii Derg. 2024, 48, 72–76. [Google Scholar] [CrossRef]
- OOmrani, A.; Ben Youssef, M.; Sifaoui, I.; Hernández-Álvarez, E.; Bethencourt-Estrella, C.J.; Bazzocchi, I.L.; Sebai, H.; Lorenzo-Morales, J.; Jiménez, I.A.; Piñero, J.E. Mechanism Insight of Cell Death Signaling by Thymol Derivatives on Trypanosomatidae Protozoan Parasites. Antibiotics 2025, 14, 383. [Google Scholar] [CrossRef]
- Luna, E.C.; Luna, I.S.; Scotti, L.; Monteiro, A.F.M.; Scotti, M.T.; De Moura, R.O.; De Araújo, R.S.A.; Monteiro, K.L.C.; De Aquino, T.M.; Ribeiro, F.F.; et al. Active Essential Oils and Their Components in Use against Neglected Diseases and Arboviruses. Oxid. Med. Cell. Longev. 2019, 2019, 6587150. [Google Scholar] [CrossRef]
- Keister, D.B. Axenic Culture of Giardia lamblia in TYI-S-33 Medium Supplemented with Bile. Trans. R. Soc. Trop. Med. Hyg. 1983, 77, 487–488. [Google Scholar] [CrossRef] [PubMed]
- Edlind, T.D.; Hang, T.L.; Chakraborty, P.R. Activity of the Anthelmintic Benzimidazoles against Giardia lamblia In Vitro. J. Infect. Dis. 1990, 162, 1408–1411. [Google Scholar] [CrossRef] [PubMed]
- Céu Sousa, M.; Poiares-Da-Silva, J. A New Method for Assessing Metronidazole Susceptibility of Giardia lamblia Trophozoites. Antimicrob. Agents Chemother. 1999, 43, 2939–2942. [Google Scholar] [CrossRef]
- Hill, D.R.; Pohl, R.; Pearson, R.D. Giardia lamblia: A Culture Method for Determining Parasite Viability. Am. J. Trop. Med. Hyg. 1986, 35, 1129–1133. [Google Scholar] [CrossRef] [PubMed]
- Custodio, J.B.A.; Moreno, A.J.M.; Wallace, K.B. Tamoxifen Inhibits Induction of the Mitochondrial Permeability Transition by Ca2+ and Inorganic Phosphate. Toxicol. Appl. Pharmacol. 1998, 152, 10–17. [Google Scholar] [CrossRef]
- Mosmann, T. Rapid Colorimetric Assay for Cellular Growth and Survival: Application to Proliferation and Cytotoxicity Assays. J. Immunol. Methods 1983, 65, 55–63. [Google Scholar] [CrossRef]
- Machado, M.; Santoro, G.; Sousa, M.C.; Salgueiro, L.; Cavaleiro, C. Activity of Essential Oils on the Growth of Leishmania Infantum Promastigotes. Flavour Fragr. J. 2010, 25, 156–160. [Google Scholar] [CrossRef]
- Machado, M.; Dinis, A.M.; Salgueiro, L.; Cavaleiro, C.; Custódio, J.B.A.; Do Céu Sousa, M. Anti-Giardia Activity of Phenolic-Rich Essential Oils: Effects of Thymbra Capitata, Origanum Virens, Thymus Zygis Subsp. Sylvestris, and Lippia Graveolens on Trophozoites Growth, Viability, Adherence, and Ultrastructure. Parasitol. Res. 2010, 106, 1205–1215. [Google Scholar] [CrossRef]
- Machado, M.; Sousa, M.D.C.; Salgueiro, L.; Cavaleiro, C. Effects of Essential Oils on the Growth of Giardia lamblia Trophozoites. Nat. Prod. Commun. 2010, 5, 137–141. [Google Scholar] [CrossRef]
- Andrade-Ochoa, S.; Chacón-Vargas, K.F.; Sánchez-Torres, L.E.; Rivera-Chavira, B.E.; Nogueda-Torres, B.; Nevárez-Moorillón, G.V. Differential Antimicrobial Effect of Essential Oils and Their Main Components: Insights Based on the Cell Membrane and External Structure. Membranes 2021, 11, 405. [Google Scholar] [CrossRef] [PubMed]
- Ghorani, V.; Alavinezhad, A.; Rajabi, O.; Mohammadpour, A.H.; Boskabady, M.H. Safety and Tolerability of Carvacrol in Healthy Subjects: A Phase I Clinical Study. Drug Chem. Toxicol. 2021, 44, 177–189. [Google Scholar] [CrossRef]
- Guo, C.; Zheng, L.; Chen, S.; Liang, X.; Song, X.; Wang, Y.; Hua, B.; Qiu, L. Thymol Ameliorates Ethanol-Induced Hepatotoxicity via Regulating Metabolism and Autophagy. Chem. Biol. Interact. 2023, 370, 110308. [Google Scholar] [CrossRef] [PubMed]
- Peng, X.; Zhang, X.; Sharma, G.; Dai, C. Thymol as a Potential Neuroprotective Agent: Mechanisms, Efficacy, and Future Prospects. J. Agric. Food Chem. 2024, 72, 6803–6814. [Google Scholar] [CrossRef]
- Mittal, R.P.; Rana, A.; Jaitak, V. Essential Oils: An Impending Substitute of Synthetic Antimicrobial Agents to Overcome Antimicrobial Resistance. Curr. Drug Targets 2019, 20, 605–624. [Google Scholar] [CrossRef]
- D’agostino, M.; Tesse, N.; Frippiat, J.P.; Machouart, M.; Debourgogne, A. Essential Oils and Their Natural Active Compounds Presenting Antifungal Properties. Molecules 2019, 24, 3713. [Google Scholar] [CrossRef]
- de Sousa, D.P.; Damasceno, R.O.S.; Amorati, R.; Elshabrawy, H.A.; de Castro, R.D.; Bezerra, D.P.; Nunes, V.R.V.; Gomes, R.C.; Lima, T.C. Essential Oils: Chemistry and Pharmacological Activities. Biomolecules 2023, 13, 1144. [Google Scholar] [CrossRef]
- Tang, C.; Chen, J.; Zhang, L.; Zhang, R.; Zhang, S.; Ye, S.; Zhao, Z.; Yang, D. Exploring the Antibacterial Mechanism of Essential Oils by Membrane Permeability, Apoptosis and Biofilm Formation Combination with Proteomics Analysis against Methicillin-Resistant Staphylococcus Aureus. Int. J. Med. Microbiol. 2020, 310, 151435. [Google Scholar] [CrossRef]
- Zhao, W.; Yang, C.; Zhang, N.; Peng, Y.; Ma, Y.; Gu, K.; Liu, X.; Liu, X.; Liu, X.; Liu, Y.; et al. Menthone Exerts Its Antimicrobial Activity Against Methicillin Resistant Staphylococcus Aureus by Affecting Cell Membrane Properties and Lipid Profile. Drug Des. Dev. Ther. 2023, 17, 219–236. [Google Scholar] [CrossRef] [PubMed]
- Zhang, L.; Wang, G.; Li, Z.; Yang, J.; Li, H.; Wang, W.; Li, Z.; Li, H. Molecular Pharmacology and Therapeutic Advances of Monoterpene Perillyl Alcohol. Phytomedicine 2024, 132, 155826. [Google Scholar] [CrossRef]
- Tariq, S.; Wani, S.; Rasool, W.; Shafi, K.; Bhat, M.A.; Prabhakar, A.; Shalla, A.H.; Rather, M.A. A Comprehensive Review of the Antibacterial, Antifungal and Antiviral Potential of Essential Oils and Their Chemical Constituents against Drug-Resistant Microbial Pathogens. Microb. Pathog. 2019, 134, 103580. [Google Scholar] [CrossRef]
- Hagen, K.D.; Nosala, C.; Müller, A.; Hilton, N.A.; Holthaus, D.; Schulzke, J.D.; Krug, S.M.; Hoffmann, T.; Laue, M.; Klotz, C.; et al. Giardia’s Domed Ventral Disc Architecture Is Essential for Attachment and Contributes to Epithelial Barrier Disruption. Mol. Biol. Cell 2025, 36, ar93. [Google Scholar] [CrossRef] [PubMed]
- Zenian, A.; Gillin, F.D. Interactions of Giardia lamblia with Human Intestinal Mucus: Enhancement of Trophozoite Attachment to Glass. J. Protozool. 1985, 32, 664–668. [Google Scholar] [CrossRef] [PubMed]
- Knaippe, F. Giardia lamblia Attachment to Biological and Inert Substrates. Microsc. Electron. Biol. Celular. 1990, 14, 35–43. [Google Scholar] [PubMed]
- Pintong, A.R.; Ruangsittichai, J.; Ampawong, S.; Thima, K.; Sriwichai, P.; Komalamisra, N.; Popruk, S. Efficacy of Ageratum Conyzoides Extracts against Giardia duodenalis Trophozoites: An Experimental Study. BMC Complement. Med. Ther. 2020, 20, 63. [Google Scholar] [CrossRef]
- Nosala, C.; Hagen, K.D.; Dawson, S.C. “Disc-o-Fever”: Getting down with Giardia’s Groovy Microtubule Organelle. Trends Cell Biol. 2017, 28, 99. [Google Scholar] [CrossRef] [PubMed]
- Yan, X.; Zhou, R.; Ma, Z. Autophagy—Cell Survival and Death. Adv. Exp. Med. Biol. 2019, 1206, 667–696. [Google Scholar] [CrossRef]







| Tested Compounds | IC50 µg/mL 1 |
|---|---|
| Carvacrol | 51 (41–63) |
| Thymol | 47 (42–53) |
| p-Cymene | NA (no activity detected) |
Disclaimer/Publisher’s Note: The statements, opinions and data contained in all publications are solely those of the individual author(s) and contributor(s) and not of MDPI and/or the editor(s). MDPI and/or the editor(s) disclaim responsibility for any injury to people or property resulting from any ideas, methods, instructions or products referred to in the content. |
© 2025 by the authors. Licensee MDPI, Basel, Switzerland. This article is an open access article distributed under the terms and conditions of the Creative Commons Attribution (CC BY) license (https://creativecommons.org/licenses/by/4.0/).
Share and Cite
Machado, M.; Silva, A.; Linhares, R.; Cavaleiro, C.; Sousa, M.C. Volatile Compounds as Upcoming Antigiardial Agents: In Vitro Action of Carvacrol, Thymol and p-Cymene on Giardia lamblia Trophozoites. Pharmaceutics 2025, 17, 1380. https://doi.org/10.3390/pharmaceutics17111380
Machado M, Silva A, Linhares R, Cavaleiro C, Sousa MC. Volatile Compounds as Upcoming Antigiardial Agents: In Vitro Action of Carvacrol, Thymol and p-Cymene on Giardia lamblia Trophozoites. Pharmaceutics. 2025; 17(11):1380. https://doi.org/10.3390/pharmaceutics17111380
Chicago/Turabian StyleMachado, Marisa, Ana Silva, Rui Linhares, Carlos Cavaleiro, and Maria C. Sousa. 2025. "Volatile Compounds as Upcoming Antigiardial Agents: In Vitro Action of Carvacrol, Thymol and p-Cymene on Giardia lamblia Trophozoites" Pharmaceutics 17, no. 11: 1380. https://doi.org/10.3390/pharmaceutics17111380
APA StyleMachado, M., Silva, A., Linhares, R., Cavaleiro, C., & Sousa, M. C. (2025). Volatile Compounds as Upcoming Antigiardial Agents: In Vitro Action of Carvacrol, Thymol and p-Cymene on Giardia lamblia Trophozoites. Pharmaceutics, 17(11), 1380. https://doi.org/10.3390/pharmaceutics17111380

