Wrinkle Reduction Using Tetrapeptide-68 Contained in an O/W Formulation: A Randomized Double-Blind Placebo-Controlled Study
Abstract
1. Introduction
2. Materials and Methods
2.1. Preparation of the O/W Formulation
2.2. Trial Design
2.3. Study Participants
2.4. Visual Assessment of Wrinkles around the Eyes
2.5. Instrumental Assessment of Wrinkles around the Eyes
2.5.1. Preparation of Wrinkle Replicas
2.5.2. Skin Visiometer SV700 Measurements
2.5.3. PRIMOS Lite Measurements
2.6. Questionnaire Evaluation by Study Participants
2.7. Skin Safety Evaluation
2.8. Statistical Analysis
3. Results
3.1. Characteristics of Participants’ Skin
3.2. Visual Analysis of Wrinkles around the Eyes
3.3. Analysis of Wrinkles around the Eyes Using Replica Images
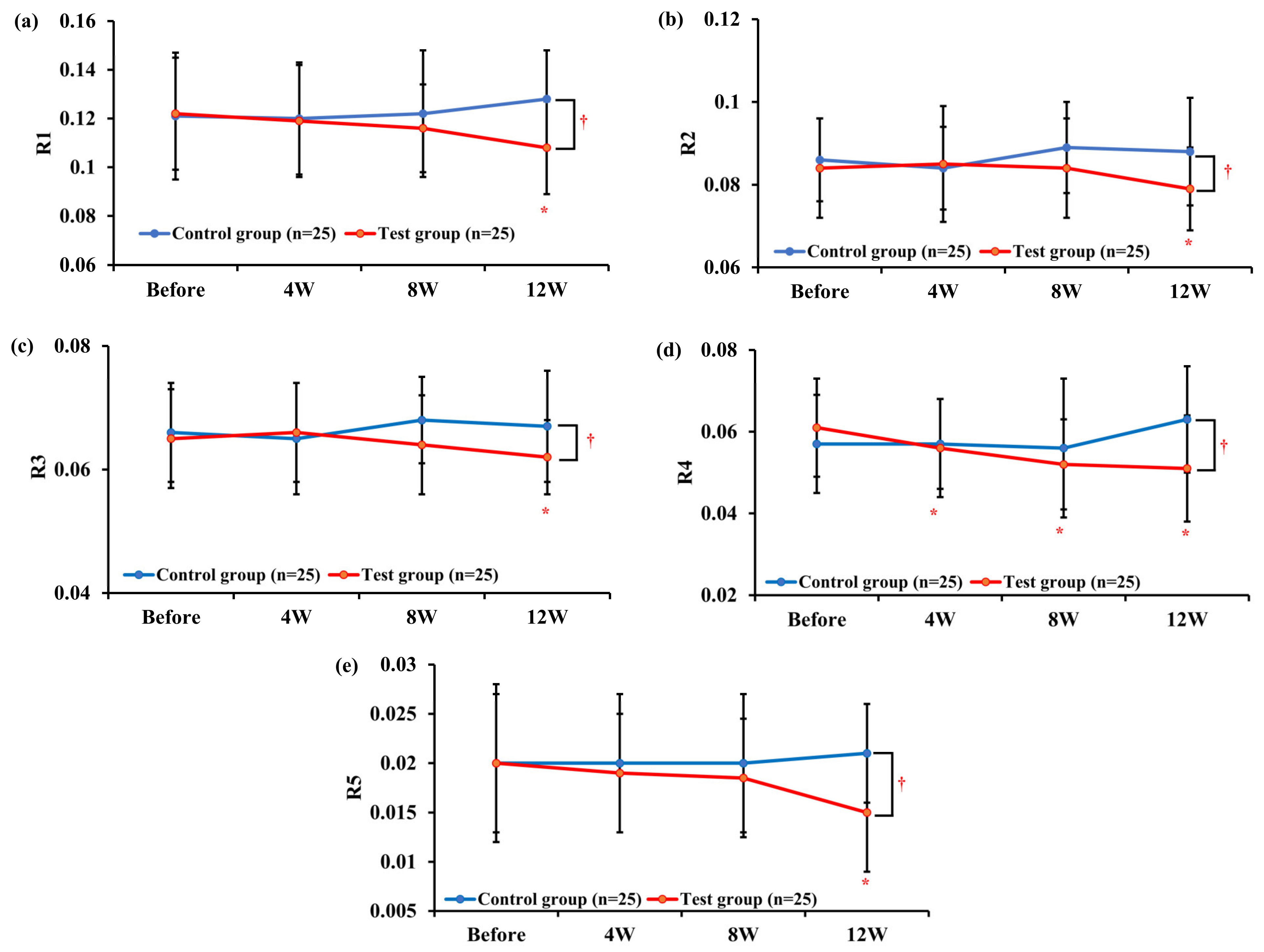
3.3.1. Analysis of Wrinkle Parameters around the Eyes Using Skin Visiometer
3.3.2. Analysis of Crow’s Feet Wrinkle Parameters Using Primos Lite
3.4. Questionnaire Evaluation
3.4.1. Evaluation of the Efficacy Questionnaire
3.4.2. Product Usability Questionnaire
3.5. Skin Safety Evaluation
4. Discussion
5. Conclusions
Author Contributions
Funding
Institutional Review Board Statement
Informed Consent Statement
Data Availability Statement
Acknowledgments
Conflicts of Interest
References
- Noren Hooten, N.; Pacheco, N.L.; Smith, J.T.; Evans, M.K. The accelerated aging phenotype: The role of race and social determinants of health on aging. Ageing Res. Rev. 2022, 73, 101536. [Google Scholar] [CrossRef] [PubMed]
- Martic, I.; Jansen-Dürr, P.; Cavinato, M. Effects of air pollution on cellular senescence and skin aging. Cells 2022, 11, 2220. [Google Scholar] [CrossRef] [PubMed]
- Bonté, F.; Girard, D.; Archambault, J.C.; Desmoulière, A. Skin changes during ageing. Subcell. Biochem. 2019, 91, 249–280. [Google Scholar] [PubMed]
- Kammeyer, A.; Luiten, R.M. Oxidation events and skin aging. Ageing Res. Rev. 2015, 21, 16–29. [Google Scholar] [CrossRef] [PubMed]
- Aguilar-Toalá, J.E.; Hernández-Mendoza, A.; González-Córdova, A.F.; Vallejo-Cordoba, B.; Liceaga, A.M. Potential role of natural bioactive peptides for development of cosmeceutical skin products. Peptides 2019, 122, 170170. [Google Scholar] [CrossRef] [PubMed]
- Zhang, L.; Falla, T.J. Cosmeceuticals and peptides. Clin. Dermatol. 2009, 27, 485–494. [Google Scholar] [CrossRef] [PubMed]
- Usman, R.; Bharadvaja, N. Nutricosmetics: Role in health, nutrition, and cosmetics. Proc. Indian Natl. Sci. Acad. 2023, 89, 584–599. [Google Scholar] [CrossRef]
- Lima, T.N.; Moraes, C.A.P. Bioactive peptides: Applications and relevance for cosmeceuticals. Cosmetics 2018, 5, 21. [Google Scholar] [CrossRef]
- Siméon, A.; Emonard, H.; Hornebeck, W.; Maquart, F.X. The tripeptide-copper complex glycyl-L-histidyl-L-lysine-Cu2+ stimulates matrix metalloproteinase-2 expression by fibroblast cultures. Life Sci. 2000, 67, 2257–2265. [Google Scholar] [CrossRef] [PubMed]
- Pickart, L.; Schagen, S. New data of the Cosmeceutical and tripeptide GHK. SOFW J. 2015, 9, 141. [Google Scholar]
- Wang, Y.; Wang, M.; Xiao, X.S.; Huo, J.; Zhang, W.D. The anti-wrinkle efficacy of Argireline. J. Cosmet. Laser Ther. 2013, 15, 237–241. [Google Scholar] [CrossRef] [PubMed]
- Nithya, S.; Radhika, T.; Jeddy, N. Loricrin—An overview. J. Oral Maxillofac. Pathol. 2015, 19, 64–68. [Google Scholar] [CrossRef] [PubMed]
- Kang, S.M.; Joun, Y.S.; Lee, K.Y.; Kang, H.; Lee, S.G. Synthesis of tetrapeptide derived from skin structural protein sequence and identification of skin anti-aging effect. Biomed. Sci. Lett. 2021, 27, 231–238. [Google Scholar] [CrossRef]
- Im, A.R.; Nam, J.; Cha, S.; Seo, Y.K.; Chae, S.; Kim, J.Y. Wrinkle reduction using a topical herbal cream in subjects with greater yin (Tae-eumin) type: A randomized double-blind placebo-controlled study. Eur. J. Integr. Med. 2018, 20, 173–181. [Google Scholar] [CrossRef]
- Osborne, R.; Mcildowie, M.J.; Edwards, J.D. Skin Care Product and Method of Use. U.S. Patent No 10,034,827, 31 July 2018. [Google Scholar]
- Kobayashi, T.; Nagao, K. “Deepening” Insight on Skin Aging and Anti-microbial Immunity. Cell Metab. 2019, 29, 515–517. [Google Scholar] [CrossRef] [PubMed]
- Zou, T.B.; He, T.P.; Li, H.B.; Tang, H.W.; Xia, E.Q. The structure-activity relationship of the antioxidant peptides from natural proteins. Molecules 2016, 21, 72. [Google Scholar] [CrossRef] [PubMed]
- Yu, W.; Field, C.J.; Wu, J. Purification and identification of anti-inflammatory peptides from spent hen muscle proteins hydrolysate. Food Chem. 2018, 253, 101–107. [Google Scholar] [CrossRef] [PubMed]
- Michalak, M.; Pierzak, M.; Kręcisz, B.; Suliga, E. Bioactive compounds for skin health: A review. Nutrients 2021, 13, 203. [Google Scholar] [CrossRef] [PubMed]
- Fisher, G.J.; Kang, S.; Varani, J.; Bata-Csorgo, Z.; Wan, Y.; Datta, S.; Voorhees, J.J. Mechanisms of Photoaging and Chronological Skin Aging. Arch. Dermatol. 2002, 138, 1462–1470. [Google Scholar] [CrossRef] [PubMed]
- Tajima, S.; Pinnell, S.R. Ascorbic acid preferentially enhances type I and III collagen gene transcription in human skin fibroblasts. J. Dermatol. Sci. 1996, 11, 250–253. [Google Scholar] [CrossRef] [PubMed]
- Kong, R.; Cui, Y.; Fisher, G.J.; Wang, X.; Chen, Y.; Schneider, L.M.; Majmudar, G. A comparative study of the effects of retinol and retinoic acid on histological, molecular, and clinical properties of human skin. J. Cosmet. Dermatol. 2016, 15, 49–57. [Google Scholar] [CrossRef]
- Lorz, L.; Yoo, B.; Kim, M.Y.; Cho, J. Anti-Wrinkling and Anti-Melanogenic Effect of Pradosia mutisii Methanol Extract. Int. J. Mol. Sci. 2019, 20, 1043. [Google Scholar] [CrossRef] [PubMed]
- De Araújo, R.; Lôbo, M.; Trindade, K.; Silva, D.F.; Pereira, N. Fibroblast Growth Factors: A Controlling Mechanism of Skin Aging. Skin. Pharmacol. Physiol. 2019, 32, 275–282. [Google Scholar] [CrossRef] [PubMed]
- Avila Rodríguez, M.I.; Rodríguez Barroso, L.G.; Sánchez, M.L. Collagen: A review on its sources and potential cosmetic applications. J. Cosmet. Dermatol. 2018, 17, 20–26. [Google Scholar] [CrossRef] [PubMed]
- Sárdy, M. Role of Matrix Metalloproteinases in Skin Ageing. Connect. Tissue Res. 2009, 50, 132–138. [Google Scholar] [CrossRef] [PubMed]
- Chen, J.; Cheng, H.; Wu, X.; Xu, H.; Li, X.; Li, Z. A comprehensive review of natural products for skin whitening: Mechanisms, efficacy, and safety. Phytomedicine 2023, 108, 154470. [Google Scholar]
- Park, K.; Lee, H.; Cho, S.; Kim, S. Innovations in cosmeceuticals: Anti-aging strategies with natural products. J. Cosmet. Dermatol. 2023, 22, 1314–1323. [Google Scholar]
- Singh, A.; Biswas, A.; Singh, A.; Mukherjee, P.K. Anti-aging potential of herbal drugs: Recent trends in vitro and in vivo studies. Phytomedicine 2023, 109, 154581. [Google Scholar]
- Zhao, Y.; Yuan, X.; Tang, Z.; Zhao, R.; Guo, Y. Advances in the application of probiotics in skincare. Front. Microbiol. 2023, 14, 1193456. [Google Scholar]
- Knight, J.; Rovida, C. Safety evaluations under the proposed US Safe Cosmetics and Personal Care Products Act of 2013: Animal use and cost estimates. ALTEX 2014, 31, 177–208. [Google Scholar] [PubMed]






| Item | Classification | Frequency (N) | Percentage (%) |
|---|---|---|---|
| Age | 40s | 6 | 24.00 |
| 50s | 18 | 72.00 | |
| 60s | 1 | 4.00 | |
| Skin type | Dry | 16 | 64.00 |
| Normal | 6 | 24.00 | |
| Oily | 0 | 0.00 | |
| Dry and oily | 3 | 12.00 | |
| Problematic | 0 | 0.00 |
| Item | Classification | Frequency (N) | Percentage (%) |
|---|---|---|---|
| Hydration | Sufficient | 0 | 0.00 |
| Normal | 10 | 40.00 | |
| Deficient | 14 | 56.00 | |
| Very deficient | 1 | 4.00 | |
| Sebum | Very glossy | 1 | 4.00 |
| Normal | 18 | 72.00 | |
| Deficient | 6 | 24.00 | |
| Dryness | Moist | 0 | 0.00 |
| Normal | 8 | 32.00 | |
| Dry | 15 | 60.00 | |
| Very dry | 2 | 8.00 | |
| Number of showers (per week) | Less than 1 time | 0 | 0.00 |
| 2–3 times | 5 | 20.00 | |
| 4–6 times | 12 | 48.00 | |
| Once daily | 7 | 28.00 | |
| More than twice a day | 1 | 4.00 | |
| Use body products | Not used | 3 | 12.00 |
| Used occasionally | 18 | 72.00 | |
| Always used | 4 | 16.00 | |
| UV exposure (per day) | Less than 1h | 6 | 24.00 |
| 1–3 h | 17 | 68.00 | |
| More than 3 h | 2 | 8.00 | |
| Sleeping h (per day) | Less than 5 h | 3 | 12.00 |
| 5–8 h | 22 | 88.00 | |
| More than 8 h | 0 | 0.00 | |
| Smoking (per day) | No | 25 | 100.00 |
| Less than 10 pieces | 0 | 0.00 | |
| More than 10 pieces | 0 | 0.00 | |
| Irritability | Yes | 1 | 4.00 |
| No | 24 | 96.00 | |
| Stinging | Yes | 0 | 0.00 |
| No | 25 | 100.00 | |
| Adverse reaction | Yes | 0 | 0.00 |
| No | 25 | 100.00 | |
| Skin changes during menstruation | Yes | 2 | 8.00 |
| No | 10 | 40.00 | |
| Not applicable | 13 | 52.00 | |
| Menstrual cycle | One week before menstruation | 2 | 8.00 |
| During menstruation | 0 | 0.00 | |
| Within one week after menstruation | 5 | 20.00 | |
| Other | 5 | 20.00 | |
| Not applicable | 13 | 52.00 |
| Symptom | 4 W | 8 W | 12 W | |
|---|---|---|---|---|
| Subjective irritation | Itching | 0 | 0 | 0 |
| Stinging | 0 | 0 | 0 | |
| Tickling | 0 | 0 | 0 | |
| Burning | 0 | 0 | 0 | |
| Prickling | 0 | 0 | 0 | |
| Stiffness | 0 | 0 | 0 | |
| Tightening | 0 | 0 | 0 | |
| Other | 0 | 0 | 0 | |
| Objective irritation | Erythema | 0 | 0 | 0 |
| Edema | 0 | 0 | 0 | |
| Scale | 0 | 0 | 0 | |
| Papule | 0 | 0 | 0 | |
| Other | 0 | 0 | 0 | |
Disclaimer/Publisher’s Note: The statements, opinions and data contained in all publications are solely those of the individual author(s) and contributor(s) and not of MDPI and/or the editor(s). MDPI and/or the editor(s) disclaim responsibility for any injury to people or property resulting from any ideas, methods, instructions or products referred to in the content. |
© 2024 by the authors. Licensee MDPI, Basel, Switzerland. This article is an open access article distributed under the terms and conditions of the Creative Commons Attribution (CC BY) license (https://creativecommons.org/licenses/by/4.0/).
Share and Cite
Lee, S.-G.; Kang, S.-M.; Kang, H. Wrinkle Reduction Using Tetrapeptide-68 Contained in an O/W Formulation: A Randomized Double-Blind Placebo-Controlled Study. Pharmaceutics 2024, 16, 987. https://doi.org/10.3390/pharmaceutics16080987
Lee S-G, Kang S-M, Kang H. Wrinkle Reduction Using Tetrapeptide-68 Contained in an O/W Formulation: A Randomized Double-Blind Placebo-Controlled Study. Pharmaceutics. 2024; 16(8):987. https://doi.org/10.3390/pharmaceutics16080987
Chicago/Turabian StyleLee, Sung-Gyu, Sang-Moon Kang, and Hyun Kang. 2024. "Wrinkle Reduction Using Tetrapeptide-68 Contained in an O/W Formulation: A Randomized Double-Blind Placebo-Controlled Study" Pharmaceutics 16, no. 8: 987. https://doi.org/10.3390/pharmaceutics16080987
APA StyleLee, S.-G., Kang, S.-M., & Kang, H. (2024). Wrinkle Reduction Using Tetrapeptide-68 Contained in an O/W Formulation: A Randomized Double-Blind Placebo-Controlled Study. Pharmaceutics, 16(8), 987. https://doi.org/10.3390/pharmaceutics16080987
