Effective Mosquito Repellents: Myrcene- and Cymene-Loaded Nanohydrogels against Aedes aegypti
Abstract
1. Introduction
2. Materials and Methods
2.1. Nanoemulsion Preparation
2.2. Preparation of the Hydrogel
2.3. Characterization of the Hydrogels
2.3.1. Flow Rheology
2.3.2. Oscillatory Rheology
2.3.3. Texture Profile Analysis (TPA)
2.3.4. Determination of the Hydrogel’s Bioadhesion
2.3.5. In Vitro Release of Cymene and Myrcene from Hydrogels
2.3.6. In Vitro Skin Permeation and Retention of Cymene and Myrcene from Hydrogels
2.4. Membrane Feeding Assay in Mosquitoes
2.5. Molecular Docking of Cymene and Myrcene
3. Results and Discussion
3.1. Texture Profile of Hydrogels
3.2. In Vitro Bioadhesion of Hydrogels
3.3. In Vitro Release Test of Monoterpenes from Hydrogels
3.4. In Vitro Permeation and Retention
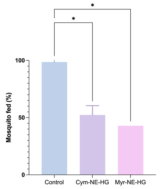
3.5. Repellent Efficacy of Nanoemulsions
3.6. Molecular Docking
4. Conclusions
Author Contributions
Funding
Institutional Review Board Statement
Informed Consent Statement
Data Availability Statement
Conflicts of Interest
References
- Muñoz, G.; Chourio, X.; Rivière-Cinnamond, A.; Diuk-Wasser, M.A.; Kache, P.A.; Mordecai, E.A.; Harrington, L.; Thomson, M.C. AeDES: A next-Generation Monitoring and Forecasting System for Environmental Suitability of Aedes-Borne Disease Transmission. Sci. Rep. 2020, 10, 12640. [Google Scholar] [CrossRef]
- Leta, S.; Beyene, T.J.; De Clercq, E.M.; Amenu, K.; Kraemer, M.U.G.; Revie, C.W. Global Risk Mapping for Major Diseases Transmitted by Aedes aegypti and Aedes albopictus. Int. J. Infect. Dis. 2018, 67, 25. [Google Scholar] [CrossRef]
- World Health Organization. Report on Insecticide Resistance in Aedes Mosquitoes in WHO South-East Asia Region Countries; World Health Organization: Geneva, Switzerland, 2023. [Google Scholar]
- Mapossa, A.B.; Focke, W.W.; Tewo, R.K.; Androsch, R.; Kruger, T. Mosquito-repellent Controlled-release Formulations for Fighting Infectious Diseases. Malar. J. 2021, 20, 165. [Google Scholar] [CrossRef]
- da Silva, M.R.M.; Ricci-Júnior, E. An Approach to Natural Insect Repellent Formulations: From Basic Research to Technological Development. Acta Trop. 2020, 212, 105419. [Google Scholar] [CrossRef] [PubMed]
- de Souza, M.A.; da Silva, L.; Macêdo, M.J.F.; Lacerda-Neto, L.J.; dos Santos, M.A.C.; Coutinho, H.D.M.; Cunha, F.A.B. Adulticide and Repellent Activity of Essential Oils against Aedes aegypti (Diptera: Culicidae)—A Review. South Afr. J. Bot. 2019, 124, 160–165. [Google Scholar] [CrossRef]
- Luker, H.A.; Salas, K.R.; Esmaeili, D.; Holguin, F.O.; Bendzus-Mendoza, H.; Hansen, I.A. Repellent Efficacy of 20 Essential Oils on Aedes aegypti Mosquitoes and Ixodes scapularis Ticks in Contact-Repellency Assays. Sci. Rep. 2023, 13, 1705. [Google Scholar] [CrossRef]
- Portilla-Pulido, J.S.; Castillo-Morales, R.M.; Barón-Rodríguez, M.A.; Duque, J.E.; Mendez-Sanchez, S.C. Design of a Repellent Against Aedes aegypti (Diptera: Culicidae) Using in Silico Simulations with AaegOBP1 Protein. J. Med. Entomol. 2020, 57, 463–476. [Google Scholar] [CrossRef]
- Sousa, D.L.; Xavier, E.O.; da Cruz, R.C.D.; de Souza, I.A.; de Oliveira, R.A.; da Silva, D.C.; Gualberto, S.A.; de Freitas, J.S. Chemical Composition and Repellent Potential of Essential Oil from Croton tetradenius (Euphorbiaceae) Leaves against Aedes aegypti (Diptera: Culicidae). Biocatal. Agric. Biotechnol. 2023, 47, 102549. [Google Scholar] [CrossRef]
- Tavares, M.; da Silva, M.R.M.; de Oliveira de Siqueira, L.B.; Rodrigues, R.A.S.; Bodjolle-d’Almeira, L.; dos Santos, E.P.; Ricci-Júnior, E. Trends in Insect Repellent Formulations: A Review. Int. J. Pharm. 2018, 539, 190–209. [Google Scholar] [CrossRef]
- Dubey, A.K.; Mostafavi, E. Phyto-Insect Repellents: A Nanotechnology-Based Approach of Sustainability towards Synthetic Insect Repellents. Curr. Opin. Green Sustain. Chem. 2023, 41, 100827. [Google Scholar] [CrossRef]
- Chuo, S.C.; Mohd Setapar, S.H. Application of Nanoemulsion in Cosmetics. In Nanotechnology for the Preparation of Cosmetics Using Plant-Based Extracts; Elsevier: Amsterdam, The Netherlands, 2022; pp. 355–371. ISBN 9780128229675. [Google Scholar]
- Wu, W.; Yang, Y.; Feng, Y.; Ren, X.; Li, Y.; Li, W.; Huang, J.; Kong, L.; Chen, X.; Lin, Z.; et al. Study of the Repellent Activity of 60 Essential Oils and Their Main Constituents against Aedes Albopictus, and Nano-Formulation Development. Insects 2022, 13, 1077. [Google Scholar] [CrossRef]
- Parisotto-Peterle, J.; Bidone, J.; Lucca, L.G.; Araújo, G.D.M.S.; Falkembach, M.C.; da Silva Marques, M.; Horn, A.P.; dos Santos, M.K.; da Veiga, V.F.; Limberger, R.P.; et al. Healing Activity of Hydrogel Containing Nanoemulsified β-Caryophyllene. Eur. J. Pharm. Sci. 2020, 148, 105318. [Google Scholar] [CrossRef]
- Marafon, P.; Fachel, F.N.S.; Dal Prá, M.; Bassani, V.L.; Koester, L.S.; Henriques, A.T.; Braganhol, E.; Teixeira, H.F. Development, Physico-Chemical Characterization and in-Vitro Studies of Hydrogels Containing Rosmarinic Acid-Loaded Nanoemulsion for Topical Application. J. Pharm. Pharmacol. 2019, 71, 1199–1208. [Google Scholar] [CrossRef] [PubMed]
- Duarte, J.L.; Taira, T.C.; Di Filippo, L.D.; Fonseca-Santos, B.; Pinto, M.C.; Chorilli, M. Novel Bioadhesive Polycarbophil-Based Liquid Crystal Systems Containing Melaleuca alternifolia Oil as Potential Repellents against Aedes aegypti. J. Mol. Liq. 2020, 314, 113626. [Google Scholar] [CrossRef]
- Fonseca-Santos, B.; Del Nero Pacheco, C.; Pinto, M.C.; Chorilli, M. An Effective Mosquito-Repellent Topical Product from Liquid Crystal-Based Tea Tree Oil. Ind. Crops Prod. 2019, 128, 488–495. [Google Scholar] [CrossRef]
- Lobato Duarte, J.; Delello Di Filippo, L.; Tavares, A.G.; Chorilli, M. Analytical Method for Quantifying Monoterpenoids (p-Cymene and Myrcene) in Nanoemulsions Using High-Performance Liquid Chromatography. J. AOAC Int. 2024, 107, 506–511. [Google Scholar] [CrossRef]
- Di Filippo, L.D.; Duarte, J.L.; Roque-Borda, C.A.; Pavan, F.R.; Meneguin, A.B.; Chorilli, M.; Melero, A.; Guillot, A.J.; Spagnol, C.M.; Correa, M.A. In Vitro Skin Co-Delivery and Antibacterial Properties of Chitosan-Based Microparticles Containing Ascorbic Acid and Nicotinamide. Life 2022, 12, 1049. [Google Scholar] [CrossRef] [PubMed]
- Timinao, L.; Vinit, R.; Katusele, M.; Schofield, L.; Burkot, T.R.; Karl, S. Optimization of the Feeding Rate of Anopheles farauti s.s. Colony Mosquitoes in Direct Membrane Feeding Assays. Parasites Vectors 2021, 14, 356. [Google Scholar] [CrossRef]
- Dias, L.S.; Caldeira, J.C.; Bauzer, L.G.S.R.; Lima, J.B.P. Assessment of Synthetic Membranes for Artificial Blood Feeding of Culicidae. Insects 2020, 12, 15. [Google Scholar] [CrossRef]
- Gutowska, I.; Machoy, Z.; Machaliński, B. The Role of Bivalent Metals in Hydroxyapatite Structures as Revealed by Molecular Modeling with the HyperChem Software. J. Biomed. Mater. Res. A 2005, 75, 788–793. [Google Scholar] [CrossRef]
- López-Camacho, E.; García-Godoy, M.J.; García-Nieto, J.; Nebro, A.J.; Aldana-Montes, J.F. A New Multi-Objective Approach for Molecular Docking Based on RMSD and Binding Energy. In Algorithms for Computational Biology; Springer: Cham, Switzerland, 2016; pp. 65–77. [Google Scholar]
- Hevener, K.E.; Zhao, W.; Ball, D.M.; Babaoglu, K.; Qi, J.; White, S.W.; Lee, R.E. Validation of Molecular Docking Programs for Virtual Screening against Dihydropteroate Synthase. J. Chem. Inf. Model. 2009, 49, 444. [Google Scholar] [CrossRef] [PubMed]
- Wang, J.; Murphy, E.J.; Nix, J.C.; Jones, D.N.M. Aedes aegypti Odorant Binding Protein 22 Selectively Binds Fatty Acids through a Conformational Change in Its C-Terminal Tail. Sci. Rep. 2020, 10, 3300. [Google Scholar] [CrossRef]
- Bashir, S.; Hina, M.; Iqbal, J.; Rajpar, A.H.; Mujtaba, M.A.; Alghamdi, N.A.; Wageh, S.; Ramesh, K.; Ramesh, S. Fundamental Concepts of Hydrogels: Synthesis, Properties, and Their Applications. Polymers 2020, 12, 2702. [Google Scholar] [CrossRef] [PubMed]
- Indrati, O.; Martien, R.; Rohman, A.; Nugroho, A.K. Development of Nanoemulsion-Based Hydrogel Containing Andrographolide: Physical Properties and Stability Evaluation. J. Pharm. Bioallied Sci. 2020, 12, S816. [Google Scholar] [CrossRef]
- Algahtani, M.S.; Ahmad, M.Z.; Ahmad, J. Nanoemulsion Loaded Polymeric Hydrogel for Topical Delivery of Curcumin in Psoriasis. J. Drug Deliv. Sci. Technol. 2020, 59, 101847. [Google Scholar] [CrossRef]
- Rathee, J.; Malhotra, S.; Pandey, M.; Jain, N.; Kaul, S.; Gupta, G.; Nagaich, U. Recent Update on Nanoemulsion Impregnated Hydrogel: A Gleam into the Revolutionary Strategy for Diffusion-Controlled Delivery of Therapeutics. AAPS PharmSciTech 2023, 24, 151. [Google Scholar] [CrossRef] [PubMed]
- Herrada-Manchón, H.; Fernández, M.A.; Aguilar, E. Essential Guide to Hydrogel Rheology in Extrusion 3D Printing: How to Measure It and Why It Matters? Gels 2023, 9, 517. [Google Scholar] [CrossRef] [PubMed]
- Sonebi, M.; Yahia, A. Mix Design Procedure, Tests, and Standards. In Self-Compacting Concrete: Materials, Properties and Applications; Elsevier: Amsterdam, The Netherlands, 2020; pp. 1–30. [Google Scholar]
- Björn, A.; Segura, P.; Monja, L.; Karlsson, A.; Ejlertsson, J.; Svensson, B.H. Rheological Characterization. Biogas 2012, 1, 63–76. [Google Scholar]
- Calixto, G.M.F.; Victorelli, F.D.; Dovigo, L.N.; Chorilli, M. Polyethyleneimine and Chitosan Polymer-Based Mucoadhesive Liquid Crystalline Systems Intended for Buccal Drug Delivery. AAPS PharmSciTech 2018, 19, 820–836. [Google Scholar] [CrossRef]
- Parente, M.E.; Ochoa Andrade, A.; Ares, G.; Russo, F.; Jiménez-Kairuz, Á. Bioadhesive Hydrogels for Cosmetic Applications. Int. J. Cosmet. Sci. 2015, 37, 511–518. [Google Scholar] [CrossRef]
- Barbosa, J.A.C.; Abdelsadig, M.S.E.; Conway, B.R.; Merchant, H.A. Using Zeta Potential to Study the Ionisation Behaviour of Polymers Employed in Modified-Release Dosage Forms and Estimating Their PKa. Int. J. Pharm. X 2019, 1, 100024. [Google Scholar] [CrossRef]
- Duarte, J.; Di Filippo, L.D.; de Faria Mota Oliveira, A.E.M.; Sábio, R.M.; Marena, G.D.; Bauab, T.M.; Duque, C.; Corbel, V.; Chorilli, M. Development and Characterization of Potential Larvicidal Nanoemulsions against Aedes aegypti. Beilstein J. Nanotechnol. 2024, 15, 104–114. [Google Scholar] [CrossRef]
- Almeida, K.B.; Araujo, J.L.; Cavalcanti, J.F.; Teresa, M.; Romanos, V.; Mourão, S.C.; Claudia, A.; Amaral, F.; Falcão, D.Q. In Vitro Release and Anti-Herpetic Activity of Cymbopogon citratus Volatile Oil-Loaded Nanogel. Rev. Bras. Farmacogn. 2018, 28, 495–502. [Google Scholar] [CrossRef]
- Battaglia, L.; Carneiro, S.B.; Kreutz, T.; Pereira Limberger, R.; Ferreira Teixeira, H.; Florêncio Da Veiga Júnior, V.; Scherer Koester, L. Piper aduncum Essential Oil Rich in Dillapiole: Development of Hydrogel-Thickened Nanoemulsion and Nanostructured Lipid Carrier Intended for Skin Delivery. Pharmaceutics 2022, 14, 2525. [Google Scholar] [CrossRef] [PubMed]
- Moradi, M.; Barati, A.; Moradi, S.; Arjomandzadegan, M. CMC-Based Hydrogels Loaded with Hypericum perforatum Nanoemulsion for Potential Wound Dressing Applications. J. Bioact. Compat. Polym. 2022, 37, 316–331. [Google Scholar] [CrossRef]
- Sonneville-Aubrun, O.; Simonnet, J.T.; L’Alloret, F. Nanoemulsions: A New Vehicle for Skincare Products. Adv. Colloid Interface Sci. 2004, 108, 145–149. [Google Scholar] [CrossRef]
- Barradas, T.N.; Senna, J.P.; Cardoso, S.A.; Nicoli, S.; Padula, C.; Santi, P.; Rossi, F.; de Holanda e Silva, K.G.; Mansur, C.R.E. Hydrogel-Thickened Nanoemulsions Based on Essential Oils for Topical Delivery of Psoralen: Permeation and Stability Studies. Eur. J. Pharm. Biopharm. 2017, 116, 38–50. [Google Scholar] [CrossRef] [PubMed]
- Lucca, L.G.; Porto De Matos, S.; Tassi Borille, B.; Dias, D.D.O.; Teixeira, F.; Veiga, F.B.; Limberger, R.P.; Koester, L.S. Determination Of-Caryophyllene Skin Permeation/Retention from Crude Copaiba Oil (Copaifera multijuga Hayne) and Respective Oil-Based Nanoemulsion Using a Novel HS-GC/MS Method. J. Pharm. Biomed. Anal. 2015, 104, 144–148. [Google Scholar] [CrossRef]
- Chen, J.; Jiang, Q.-D.; Chai, Y.-P.; Zhang, H.; Peng, P.; Yang, X.-X. Natural Terpenes as Penetration Enhancers for Transdermal Drug Delivery. Molecules 2016, 21, 1709. [Google Scholar] [CrossRef]
- Bedini, S.; Flamini, G.; Girardi, J.; Cosci, F.; Conti, B. Not Just for Beer: Evaluation of Spent Hops (Humulus lupulus L.) as a Source of Eco-Friendly Repellents for Insect Pests of Stored Foods. J. Pest Sci. 2015, 88, 583–592. [Google Scholar] [CrossRef]
- Aguiar, R.W.S.; Dos Santos, S.F.; Da Silva Morgado, F.; Ascencio, S.D.; De Mendonça Lopes, M.; Viana, K.F.; Didonet, J.; Ribeiro, B.M. Insecticidal and Repellent Activity of Siparuna guianensis Aubl. (Negramina) against Aedes aegypti and Culex quinquefasciatus. PLoS ONE 2015, 10, e0116765. [Google Scholar] [CrossRef] [PubMed]
- Choi, W.S.; Park, B.S.; Ku, S.K.; Lee, S.E. Repellent activities of essential oils and monoterpenes against Culex pipiens pallens. J. Am. Mosq. Control Assoc. 2002, 18, 348–351. [Google Scholar] [PubMed]




| Consistency Index (k) (Pa·s) | Flow Behavior Index (n) | R2 | |
|---|---|---|---|
| C-carbopol | 389.79 | 0.214 | 0.93 |
| C-Chitosan | 77.3 | 0.332 | 0.99 |
| C-CMC | 215.16 | 0.246 | 0.99 |
| M-Carbopol | 258.89 | 0.187 | 0.92 |
| M-Chitosan | 23.32 | 0.406 | 0.99 |
| M-CMC | 328.16 | 0.208 | 0.97 |
| Formulation | Hardness (g) | Compressibility (g⋅s) | Adhesivity (g⋅s) | Cohesion | Bioadhesion (g⋅s) |
|---|---|---|---|---|---|
| C-Carbopol | 40.17 ± 3.50 A | 290.70 ± 21.18 A | 142.55 ± 29.78 A | 217.99 ± 5.67 A | 27.72 ± 1.87 A |
| C-Chitosan | 10.16 ± 1.34 B | 70.31 ± 9.47 B | 58.12 ± 7.78 B | 58.59 ± 7.46 B | 6.06 ± 1.39 B |
| C-CMC | 22.10 ± 2.17 C | 153.78 ± 13.70 C | 85.25 ± 5.86 C | 106.63 ± 7.95 C | 31.73 ± 2.54 C |
| M-Carbopol | 27.37 ± 0.79 A | 203.96 ± 25.31 A | 112.22 ± 12.86 A | 152.70 ± 10.54 A | 17.56 ± 4.10 A |
| M-Chitosan | 4.71 ± 0.17 B | 29.19 ± 0.83 B | 20.54 ± 0.80 B | 24.51 ± 0.748 B | 7.5 ± 0.18 B |
| M-CMC | 30.44 ± 2.16 C | 205.06 ± 15.52 A | 127.30 ± 9.75 C | 151.47 ± 11.40 A | 39.64 ± 2.01 C |
| AA | Atom | Interaction | Type | Distance | Score | |
|---|---|---|---|---|---|---|
| DEET | PHE108 | Ligand | Hydrophobic | Pi-pi Stacked | 5.22 | 59.57 |
| PRO63 | C1 | Hydrophobic | Alkyl | 4.43 | ||
| LEU68 | C1 | Hydrophobic | Alkyl | 4.86 | ||
| VAL85 | C1 | Hydrophobic | Alkyl | 4.49 | ||
| CYS88 | C1 | Hydrophobic | Alkyl | 4.74 | ||
| VAL89 | C1 | Hydrophobic | Alkyl | 4.71 | ||
| LEU72 | C14 | Hydrophobic | Alkyl | 4.20 | ||
| ILE116 | C14 | Hydrophobic | Alkyl | 4.26 | ||
| LEU72 | Ligand | Hydrophobic | Pi-Alkyl | 5.33 | ||
| ILE116 | Ligand | Hydrophobic | Pi-Alkyl | 4.22 | ||
| Cymene | PHE108 | C1 | Hydrophobic | Pi-Pi Stacked | 4.84 | 51.92 |
| LEU68 | C10 | Hydrophobic | Alkyl | 5.36 | ||
| PRO63 | C10 | Hydrophobic | Alkyl | 4.62 | ||
| LEU68 | C10 | Hydrophobic | Alkyl | 4.95 | ||
| VAL85 | C10 | Hydrophobic | Alkyl | 4.33 | ||
| CYS88 | C10 | Hydrophobic | Alkyl | 4.57 | ||
| VAL89 | C10 | Hydrophobic | Alkyl | 4.67 | ||
| LEU68 | Ligand | Hydrophobic | Alkyl | 4.29 | ||
| PHE51 | C1 | Hydrophobic | Pi-alkyl | 4.80 | ||
| PHE108 | C1 | Hydrophobic | Pi-alkyl | 5.18 | ||
| VAL85 | Ligand | Hydrophobic | Pi-alkyl | 5.27 | ||
| Myrcene | ILE116 | C6 | Hydrophobic | Alkyl | 3.90 | 52.55 |
| LEU72 | C7 | Hydrophobic | Alkyl | 4.64 | ||
| ILE116 | C7 | Hydrophobic | Alkyl | 3.82 | ||
| LEU68 | C9 | Hydrophobic | Alkyl | 4.32 | ||
| VAL85 | C10 | Hydrophobic | Alkyl | 4.05 | ||
| PRO63 | C10 | Hydrophobic | Alkyl | 4.18 | ||
| LEU68 | C10 | Hydrophobic | Alkyl | 5.29 | ||
| VAL85 | C10 | Hydrophobic | Alkyl | 5.19 | ||
| CYS88 | C10 | Hydrophobic | Alkyl | 4.68 | ||
| VAL89 | C10 | Hydrophobic | Alkyl | 4.80 | ||
| PHE51 | Ligand | Hydrophobic | Pi-alkyl | 5.09 | ||
| PHE51 | C6 | Hydrophobic | Pi-alkyl | 4.62 | ||
| PHE105 | C6 | Hydrophobic | Pi-alkyl | 4.71 | ||
| PHE108 | Ligand | Hydrophobic | Pi-alkyl | 4.88 | ||
| PHE108 | C9 | Hydrophobic | Pi-alkyl | 3.95 |
Disclaimer/Publisher’s Note: The statements, opinions and data contained in all publications are solely those of the individual author(s) and contributor(s) and not of MDPI and/or the editor(s). MDPI and/or the editor(s) disclaim responsibility for any injury to people or property resulting from any ideas, methods, instructions or products referred to in the content. |
© 2024 by the authors. Licensee MDPI, Basel, Switzerland. This article is an open access article distributed under the terms and conditions of the Creative Commons Attribution (CC BY) license (https://creativecommons.org/licenses/by/4.0/).
Share and Cite
Duarte, J.L.; Di Filippo, L.D.; Ribeiro, T.d.C.; Silva, A.C.d.J.; Hage-Melim, L.I.d.S.; Duchon, S.; Carrasco, D.; Pinto, M.C.; Corbel, V.; Chorilli, M. Effective Mosquito Repellents: Myrcene- and Cymene-Loaded Nanohydrogels against Aedes aegypti. Pharmaceutics 2024, 16, 1096. https://doi.org/10.3390/pharmaceutics16081096
Duarte JL, Di Filippo LD, Ribeiro TdC, Silva ACdJ, Hage-Melim LIdS, Duchon S, Carrasco D, Pinto MC, Corbel V, Chorilli M. Effective Mosquito Repellents: Myrcene- and Cymene-Loaded Nanohydrogels against Aedes aegypti. Pharmaceutics. 2024; 16(8):1096. https://doi.org/10.3390/pharmaceutics16081096
Chicago/Turabian StyleDuarte, Jonatas Lobato, Leonardo Delello Di Filippo, Tais de Cássia Ribeiro, Ana Carolina de Jesus Silva, Lorane Izabel da Silva Hage-Melim, Stéphane Duchon, David Carrasco, Mara Cristina Pinto, Vincent Corbel, and Marlus Chorilli. 2024. "Effective Mosquito Repellents: Myrcene- and Cymene-Loaded Nanohydrogels against Aedes aegypti" Pharmaceutics 16, no. 8: 1096. https://doi.org/10.3390/pharmaceutics16081096
APA StyleDuarte, J. L., Di Filippo, L. D., Ribeiro, T. d. C., Silva, A. C. d. J., Hage-Melim, L. I. d. S., Duchon, S., Carrasco, D., Pinto, M. C., Corbel, V., & Chorilli, M. (2024). Effective Mosquito Repellents: Myrcene- and Cymene-Loaded Nanohydrogels against Aedes aegypti. Pharmaceutics, 16(8), 1096. https://doi.org/10.3390/pharmaceutics16081096

