Anti-Inflammatory, Antibacterial, Anti-Biofilm, and Anti-Quorum Sensing Activities of the Diterpenes Isolated from Clinopodium bolivianum
Abstract
1. Introduction
2. Materials and Methods
2.1. General Experimental Procedures
2.2. Extraction and Isolation
2.3. Spectroscopic Data
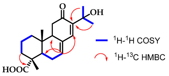
2.3.1. 15-Hydroxy-12-oxo-abietic Acid (1)
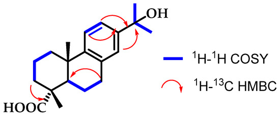
2.3.2. 12α-Hydroxy-abietic Acid (2)
2.3.3. (−)-Jolkinolide E (3)
2.3.4. 15-Hydroxy-dehydroabietic Acid (4)
2.4. Cytotoxicity and Anti-Inflammatory Activity
2.4.1. Cell Culture
2.4.2. Cytotoxicity Assay
2.4.3. NF-κB Inhibition Assay
2.5. Antibacterial Assays
2.5.1. Bacteria
2.5.2. Broth Microdilution Method-MIC
2.5.3. Inhibition of Biofilm Formation
2.5.4. Anti-Quorum Sensing Activity
2.5.5. Violacein Inhibition Assay
2.6. Statistical Analysis
3. Results
3.1. Extraction, Isolation, and Characterisation of Compounds
3.2. Viability Assay of the Extracts and Compounds
3.3. Anti-Inflammatory Activity of the Extracts and Compounds
3.4. Antibacterial Activity of the Extracts and Compounds
3.5. Anti-Biofilm Activity of the Extracts and Compounds
3.6. Anti-Quorum Sensing Activity of the Extracts and Compounds
3.7. Inhibition of Violacein by Compounds of C. bolivianum
4. Discussion
5. Conclusions
Supplementary Materials
Author Contributions
Funding
Institutional Review Board Statement
Informed Consent Statement
Data Availability Statement
Conflicts of Interest
References
- Niederman, M.S.; Torres, A. Respiratory infections. Eur. Respir. Rev. 2022, 31, 220150. [Google Scholar] [CrossRef]
- Miyashita, N. Atypical pneumonia: Pathophysiology, diagnosis, and treatment. Respir. Investig. 2022, 60, 56–67. [Google Scholar] [CrossRef] [PubMed]
- Hoogkamp-Korstanje, J.A. In-vitro activities of ciprofloxacin, levofloxacin, lomefloxacin, ofloxacin, pefloxacin, sparfloxacin and trovafloxacin against gram-positive and gram-negative pathogens from respiratory tract infections. J. Antimicrob. Chemother. 1997, 40, 427–431. [Google Scholar] [CrossRef] [PubMed]
- Wen, S.; Feng, D.; Chen, D.; Yang, L.; Xu, Z. Molecular epidemiology and evolution of Haemophilus influenzae. Infect. Genet. Evol. 2020, 80, 104205. [Google Scholar] [CrossRef] [PubMed]
- Mondino, S.; Schmidt, S.; Rolando, M.; Escoll, P.; Gomez-Valero, L.; Buchrieser, C. Legionnaires’ Disease: State of the Art Knowledge of Pathogenesis Mechanisms of Legionella. Annu. Rev. Pathol. 2020, 15, 439–466. [Google Scholar] [CrossRef] [PubMed]
- Suaya, J.A.; Fletcher, M.A.; Georgalis, L.; Arguedas, A.G.; McLaughlin, J.M.; Ferreira, G.; Theilacker, C.; Gessner, B.D.; Verstraeten, T. Identification of Streptococcus pneumoniae in hospital-acquired pneumonia in adults. J. Hosp. Infect. 2021, 108, 146–157. [Google Scholar] [CrossRef] [PubMed]
- Cheung, G.Y.C.; Bae, J.S.; Otto, M. Pathogenicity and virulence of Staphylococcus aureus. Virulence 2021, 12, 547–569. [Google Scholar] [CrossRef] [PubMed]
- Rather, M.A.; Gupta, K.; Mandal, M. Microbial biofilm: Formation, architecture, antibiotic resistance, and control strategies. Braz. J. Microbiol. 2021, 52, 1701–1718. [Google Scholar] [CrossRef] [PubMed]
- Zhao, A.; Sun, J.; Liu, Y. Understanding bacterial biofilms: From definition to treatment strategies. Front. Cell Infect. Microbiol. 2023, 13, 1137947. [Google Scholar] [CrossRef]
- Zeng, X.; Zou, Y.; Zheng, J.; Qiu, S.; Liu, L.; Wei, C. Quorum sensing-mediated microbial interactions: Mechanisms, applications, challenges and perspectives. Microbiol. Res. 2023, 273, 127414. [Google Scholar] [CrossRef] [PubMed]
- Wang, Y.; Bian, Z.; Wang, Y. Biofilm formation and inhibition mediated by bacterial quorum sensing. Appl. Microbiol. Biotechnol. 2022, 106, 6365–6381. [Google Scholar] [CrossRef] [PubMed]
- Luo, Y.; Song, Y. Mechanism of Antimicrobial Peptides: Antimicrobial, Anti-Inflammatory and Antibiofilm Activities. Int. J. Mol. Sci. 2021, 22, 11401. [Google Scholar] [CrossRef] [PubMed]
- Rahman, M.M.; McFadden, G. Modulation of NF-κB signalling by microbial pathogens. Nat. Rev. Microbiol. 2011, 9, 291–306. [Google Scholar] [CrossRef] [PubMed]
- Poladian, N.; Orujyan, D.; Narinyan, W.; Oganyan, A.K.; Navasardyan, I.; Velpuri, P.; Chorbajian, A.; Venketaraman, V. Role of NF-κB during Mycobacterium tuberculosis Infection. Int. J. Mol. Sci. 2023, 24, 1772. [Google Scholar] [CrossRef]
- Breijyeh, Z.; Jubeh, B.; Karaman, R. Resistance of Gram-Negative Bacteria to Current Antibacterial Agents and Approaches to Resolve It. Molecules 2020, 25, 1340. [Google Scholar] [CrossRef]
- Olsen, I. Biofilm-specific antibiotic tolerance and resistance. Eur. J. Clin. Microbiol. Infect. Dis. 2015, 34, 877–886. [Google Scholar] [CrossRef]
- Kokoska, L.; Kloucek, P.; Leuner, O.; Novy, P. Plant-Derived Products as Antibacterial and Antifungal Agents in Human Health Care. Curr. Med. Chem. 2019, 26, 5501–5541. [Google Scholar] [CrossRef]
- Dias, D.A.; Urban, S.; Roessner, U. A historical overview of natural products in drug discovery. Metabolites 2012, 2, 303–336. [Google Scholar] [CrossRef]
- Guglielmi, P.; Pontecorvi, V.; Rotondi, G. Natural compounds and extracts as novel antimicrobial agents. Expert. Opin. Ther. Pat. 2020, 30, 949–962. [Google Scholar] [CrossRef]
- Browne, K.; Chakraborty, S.; Chen, R.; Willcox, M.D.; Black, D.S.; Walsh, W.R.; Kumar, N. A New Era of Antibiotics: The Clinical Potential of Antimicrobial Peptides. Int. J. Mol. Sci. 2020, 21, 7047. [Google Scholar] [CrossRef]
- Radulović, N.S.; Blagojević, P.D.; Stojanović-Radić, Z.Z.; Stojanović, N.M. Antimicrobial plant metabolites: Structural diversity and mechanism of action. Curr. Med. Chem. 2013, 20, 932–952. [Google Scholar]
- Noriega, P.; Calderón, L.; Ojeda, A.; Paredes, E. Chemical Composition, Antimicrobial and Antioxidant Bioautography Activity of Essential Oil from Leaves of Amazon Plant Clinopodium brownei (Sw.). Molecules 2023, 28, 1741. [Google Scholar] [CrossRef]
- Noriega, P.F.; de Los Ángeles Mosquera, T.; Osorio, E.A.; Guerra, P.; Fonseca, A. Clinopodium nubigenum (Kunth) Kuntze essential oil: Chemical composition, antioxidant activity, and antimicrobial test against respiratory pathogens. J. Pharmacogn. Phytother. 2018, 10, 149–157. [Google Scholar] [CrossRef]
- Beddiar, H.; Boudiba, S.; Benahmed, M.; Tamfu, A.N.; Ceylan, Ö.; Hanini, K.; Kucukaydin, S.; Elomri, A.; Bensouici, C.; Laouer, H.; et al. Chemical Composition, Anti-Quorum Sensing, Enzyme Inhibitory, and Antioxidant Properties of Phenolic Extracts of Clinopodium nepeta L. Kuntze. Plants 2021, 10, 1955. [Google Scholar] [CrossRef] [PubMed]
- WFO Plant List. Available online: https://wfoplantlist.org/taxon/wfo-0000890868-2024-06?page=1 (accessed on 9 August 2024).
- Paniagua-Zambrana, N.Y.; Bussmann, R.W. (Eds.) Satureja boliviana (Benth.) Briq. Satureja pulchella (HBK) Briquet. Satureja sericea (C. Presl. ex Benth.) Briq. LAMIACEAE. Ethnobotany of the Andes, 1st ed.; Springer Nature: Cham, Switzerland, 2020; pp. 1647–1652. [Google Scholar]
- Abad, M.J.; Bermejo, P.; Gonzales, E.; Iglesias, I.; Irurzun, A.; Carrasco, L. Antiviral activity of Bolivian plant extracts. Gen. Pharmacol. 1999, 32, 499–503. [Google Scholar] [CrossRef] [PubMed]
- Herrera, O.; Ventura, F.; Rivera, A.; Valenzuela, R.; Condorhuamán, M. Gastroprotector effect from Clinopodium bolivianum (Benth.) Kuntze “inca muña” on induced gastric injury in mice. Cienc. Investig. 2015, 18, 69–72. [Google Scholar] [CrossRef]
- Schmidt-Lebuhn, A.N. Ethnobotany, biochemistry and pharmacology of Minthostachys (Lamiaceae). J. Ethnopharmacol. 2008, 118, 343–353. [Google Scholar] [CrossRef]
- Mathez-Stiefel, S.L.; Brandt, R. “Hampi Qora”: Nuestras Plantas Medicinales en las Comunidades de Waca Playa, Cochabamba, Bolivia; Centre for Development and Environment (CDE), University of Bern, en Colaboración con Bern Open Publishing (BOP): Bern, Switzerland, 2018; Volume 29. [Google Scholar] [CrossRef]
- Mamani Cuenca, B. Hemisíntesis del Compuesto Mayoritario de la Satureja boliviana (Khoa) y Evaluación Preliminar de la Actividad Antiinflamatoria. Bachelor’s Thesis, Universidad Mayor de San Andrés, La Paz, Bolivia, 2011. [Google Scholar]
- Rojas, R.; Bustamante, B.; Bauer, J.; Fernández, I.; Albán, J.; Lock, O. Antimicrobial activity of selected Peruvian medicinal plants. J. Ethnopharmacol. 2003, 88, 199–204. [Google Scholar] [CrossRef]
- Hammond, G.B.; Fernández, I.D.; Villegas, L.F.; Vaisberg, A.J. A survey of traditional medicinal plants from the Callejón de Huaylas, Department of Ancash, Perú. J. Ethnopharmacol. 1998, 61, 17–30. [Google Scholar] [CrossRef]
- Yapuchura-Mamani, R. Estudio de los Componentes Antioxidantes de las Hojas de Muña (Minthostachys mollis (Kunth) Griseb.) e Inca Muña (Clinopodium bolivianum (Benth.) Kuntze); Universidad Nacional Agraria La Molina: Lima, Peru, 2010; Available online: https://hdl.handle.net/20.500.12996/1700 (accessed on 9 August 2024).
- Mamani Ticona, C. Efecto Antibacteriano In Vitro de Aceite Esencial de Satureja boliviana Benth (Muña) Seco y Fresco Frente a Escherichia coli ATCC 25922. Bachelor’s Thesis, Universidad Nacional del Altiplano, Puno, Peru, 2019. [Google Scholar]
- Neira Llerena, J.E. Evaluación de la Actividad Antimicrobiana de los Extractos Etanólicos de las Plantas Medicinales Utilizadas por los Pobladores de Tuctumpaya, Quequeña y Chiguata, Frente a Bacterias Gram Positivas: Staphylococcus aureus–Streptococcus pneumoniae Causantes de Infecciones de Importancia Médica. Bachelor’s Thesis, Universidad Nacional de San Agustín, Arequipa, Peru, 2017. [Google Scholar]
- Claros Paz, M. Determinación de la Actividad Anti-Helicobacter Pylori de Plantago Major (Llantén), Verbena officinalis (Verbena), Clinopodium bolivianum (Khoa), Caléndula officinalis (Caléndula), Piper angustifolium (Matico) y Rubus boliviensis (Khari khari) por el Método de Difusión de Disco. Bachelor’s Thesis, Universidad Mayor de San Andrés, La Paz, Bolivia, 2006. [Google Scholar]
- Solís-Quispe, L.; Pino, J.A.; Tomaylla-Cruz, C.; Aragón-Alencastre, L.J.; Solís-Quispe, A.; Solís-Quispe, J.A. Chemical composition and larvicidal activity of the essential oils from Minthostachys spicata (Benth) Epling and Clinopodium bolivianum (Benth) Kuntze against Premnotrypes latithorax Pierce. Am. J. Essent. Oils Nat. Prod. 2018, 6, 22–28. [Google Scholar]
- Tepe, B.; Cilkiz, M. A pharmacological and phytochemical overview on Satureja. Pharm. Biol. 2016, 54, 375–412. [Google Scholar] [CrossRef] [PubMed]
- Vila, R.; Milo, B.; Labbé, C.; Muñoz, O.; Soria, E.U.; Soria, R.U. Chemical Composition of Two Samples of Essential Oil of Satureja boliviana (Benth.) Briq. from Peru and Bolivia. J. Essent. Oil Res. 1996, 8, 307–309. [Google Scholar] [CrossRef]
- Velasco-Negueruela, A.; Esenarro Abarca, G.; Pérez-Alonso, M.J. Essential Oil of Satureja boliviana Briq. from Peru. J. Essent. Oil Res. 1994, 6, 641–642. [Google Scholar] [CrossRef]
- Dambolena, J.S.; Zunino, M.P.; Lucini, E.I.; Zygadlo, J.A.; Rotman, A.; Ahumada, O.; Biurrun, F. Essential Oils of Plants Used in Home Medicine in North of Argentina. J. Essent. Oil Res. 2009, 21, 405–409. [Google Scholar] [CrossRef]
- Cheung, H.T.A.; Miyase, T.; Lenguyen, M.P.; Smal, M.A. Further acidic constituents and neutral components of Pinus massoniana Resin. Tetrahedron 1993, 49, 7903–7915. [Google Scholar] [CrossRef]
- Bleif, S.; Hannemann, F.; Lisurek, M.; von Kries, J.P.; Zapp, J.; Dietzen, M.; Antes, I.; Bernhardt, R. Identification of CYP106A2 as a Regioselective Allylic Bacterial Diterpene Hydroxylase. ChemBioChem 2011, 12, 576–582. [Google Scholar] [CrossRef]
- Li, X.; Chen, J.; Luo, K.; Guo, Y.; Deng, Y.; Li, X.; Chen, W.; Huang, Z.; Liu, J.; Wu, Z.; et al. Asymmetric total synthesis and anti-hepatocellular carcinoma profile of enantiopure euphopilolide and jolkinolide E. Bioorg. Chem. 2023, 139, 106688. [Google Scholar] [CrossRef] [PubMed]
- Ayer, W.A.; Migaj, B.S. Acids from blue-stain diseased lodgepole pine. Can. J. Bot. 1989, 67, 1426–1428. [Google Scholar] [CrossRef]
- Apaza Ticona, L.; Hervás Povo, B.; Sánchez Sánchez-Corral, J.; Rumbero Sánchez, Á. Anti-inflammatory effects of TNF-α and ASK1 inhibitory compounds isolated from Schkuhria pinnata used for the treatment of dermatitis. J. Ethnopharmacol. 2024, 318 Pt B, 117051. [Google Scholar] [CrossRef]
- Yi, H.; Fang, J.; Huang, J.; Liu, B.; Qu, J.; Zhou, M. Legionella pneumophila as Cause of Severe Community-Acquired Pneumonia, China. Emerg. Infect. Dis. 2020, 26, 160–162. [Google Scholar] [CrossRef]
- Reddinger, R.M.; Luke-Marshall, N.R.; Sauberan, S.L.; Hakansson, A.P.; Campagnari, A.A. Streptococcus pneumoniae Modulates Staphylococcus aureus Biofilm Dispersion and the Transition from Colonization to Invasive Disease. mBio 2018, 9, e02089-17. [Google Scholar] [CrossRef]
- Michavila Puente-Villegas, S.; Apaza Ticona, L.; Rumbero Sánchez, Á.; Acebes, J.L. Diterpenes of Pinus pinaster aiton with anti-inflammatory, analgesic, and antibacterial activities. J. Ethnopharmacol. 2024, 318 Pt B, 117021. [Google Scholar] [CrossRef]
- Perona, A.; Hoyos, P.; Apaza Ticona, L.; García-Oliva, C.; Merchán, A.; Hernáiz, M.J. Enzymatic synthesis and biological evaluation of glycolipids as potential antibacterial, antibiofilm and antiquorum sensing agents. Catal. Today 2024, 433, 114623. [Google Scholar] [CrossRef]
- Chirinos, R.; Huamán, M.; Betalleluz-Pallardel, I.; Pedreschi, R.; Campos, D. Characterization of phenolic compounds of Inca muña (Clinopodium bolivianum) leaves and the feasibility of their application to improve the oxidative stability of soybean oil during frying. Food Chem. 2011, 128, 711–716. [Google Scholar] [CrossRef]
- Mohanty, S.; Kamolvit, W.; Zambrana, S.; Sandström, C.; Gonzales, E.; Östenson, C.G.; Brauner, A. Extract of Clinopodium bolivianum protects against E. coli invasion of uroepithelial cells. J. Ethnopharmacol. 2017, 198, 214–220. [Google Scholar] [CrossRef]
- Cheng, J.; Fu, S.; Qin, Z.; Han, Y.; Yang, X. Self-assembled natural small molecule diterpene acids with favorable anticancer activity and biosafety for synergistically enhanced antitumor chemotherapy. J. Mater. Chem. B. 2021, 9, 2674–2687. [Google Scholar] [CrossRef] [PubMed]
- Crespi-Perellino, N.; Garofano, L.; Arlandini, E.; Pinciroli, V.; Minghetti, A.; Vincieri, F.F.; Danieli, B. Identification of New Diterpenoids from Euphorbia calyptrata Cell Cultures. J. Nat. Prod. 1996, 59, 773–776. [Google Scholar] [CrossRef]
- Wang, S.Y.; Zhu, Y.X.; Zhang, Z.X.; Yang, C.S.; Xia, H.M.; Su, G.Z.; Li, Y. Diterpenoid constituents in Pseudolarix amabilis and their antitumor activities in vitro. Zhongguo Zhong Yao Za Zhi 2023, 48, 96–104. [Google Scholar] [CrossRef]
- Tubon, I.; Bernardini, C.; Antognoni, F.; Mandrioli, R.; Potente, G.; Bertocchi, M.; Vaca, G.; Zannoni, A.; Salaroli, R.; Forni, M. Clinopodium tomentosum (Kunth) Govaerts Leaf Extract Influences in vitro Cell Proliferation and Angiogenesis on Primary Cultures of Porcine Aortic Endothelial Cells. Oxid. Med. Cell. Longev. 2020, 2020, 2984613. [Google Scholar] [CrossRef] [PubMed]
- Park, S.B.; Kim, S.H.; Suk, K.; Lee, H.S.; Kwon, T.K.; Ju, M.G.; Jeon, H.; Kim, D.K.; Lim, J.P.; Shin, T.Y. Clinopodium gracile inhibits mast cell-mediated allergic inflammation: Involvement of calcium and nuclear factor-kappaB. Exp. Biol. Med. 2010, 235, 606–613. [Google Scholar] [CrossRef]
- Solís Tito, E.M.; Solís, L.; Solís, A. Composición Química, Citotoxicidad en Artemia salina Leach y Toxicidad Aguda en Ratones Albinos de los Aceites Esenciales de Clinopodium bolivianum (Benth) Kuntze y Tagetes multiflora Kunth. 2021. Available online: https://repositorio.unsaac.edu.pe/handle/20.500.12918/6044 (accessed on 17 July 2024).
- Zheleva-Dimitrova, D.; Simeonova, R.; Gevrenova, R.; Savov, Y.; Balabanova, V.; Nasar-Eddin, G.; Bardarov, K.; Danchev, N. In vivo toxicity assessment of Clinopodium vulgare L. water extract characterized by UHPLC-HRMS. Food Chem. Toxicol. 2019, 134, 110841. [Google Scholar] [CrossRef] [PubMed]
- Kundishora, A.; Sithole, S.; Mukanganyama, S. Determination of the Cytotoxic Effect of Different Leaf Extracts from Parinari curatellifolia (Chrysobalanaceae). J. Toxicol. 2020, 2020, 8831545. [Google Scholar] [CrossRef]
- Komleva, N.V.; Lapshina, M.A.; Kostyuk, G.V.; Ivanov, A.V.; Parkhomenko, I.I.; Papina, R.I.; Sen, V.D.; Terentiev, A.A. Comparative analysis of cytotoxic effects and intracellular accumulation of platinum(IV) nitroxyl complexes. Russ. Chem. Bull. 2015, 64, 1178–1182. [Google Scholar] [CrossRef]
- John, G.W.; Shrivastava, R.; Chevalier, A.; Pognat, J.F.; Massingham, R. An in vitro investigation of the relationships between potency, lipophilicity, cytotoxicity and chemical class of representative calcium antagonist drugs. Pharmacol. Res. 1993, 27, 253–262. [Google Scholar] [CrossRef] [PubMed]
- ADMAlab 2.0. Available online: https://admetmesh.scbdd.com (accessed on 9 August 2024).
- Riss, T.L.; Niles, A.; Moravec, R.; Karassina, N.; Vidugiriene, J. Cytotoxicity Assays: In Vitro Methods to Measure Dead Cells. Assay Guidance Manual, 1st ed.; Markossian, S., Grossman, A., Arkin, M., Auld, D., Austin, C., Baell, J., Brimacombe, K., Chung, T.D.Y., Coussens, N.P., Dahlin, J.L., et al., Eds.; Eli Lilly & Company and the National Center for Advancing Translational Sciences: Bethesda, MD, USA, 2019; pp. 429–444. [Google Scholar]
- Burk, D.R.; Senechal-Willis, P.; Lopez, L.C.; Hogue, B.G.; Daskalova, S.M. Suppression of lipopolysaccharide-induced inflammatory responses in RAW 264.7 murine macrophages by aqueous extract of Clinopodium vulgare L. (Lamiaceae). J. Ethnopharmacol. 2009, 126, 397–405. [Google Scholar] [CrossRef]
- Amirova, K.M.; Dimitrova, P.; Marchev, A.S.; Aneva, I.Y.; Georgiev, M.I. Clinopodium vulgare L. (wild basil) extract and its active constituents modulate cyclooxygenase-2 expression in neutrophils. Food Chem. Toxicol. 2019, 124, 1–9. [Google Scholar] [CrossRef]
- Wang, Y.; Shao, Z.; Song, C.; Zhou, H.; Zhao, J.; Zong, K.; Zhou, G.; Meng, D. Clinopodium chinense Kuntze ameliorates dextran sulfate sodium-induced ulcerative colitis in mice by reducing systematic inflammation and regulating metabolism. J. Ethnopharmacol. 2023, 309, 116330. [Google Scholar] [CrossRef]
- Apaza Ticona, L.; Hervás Povo, B.; Rumbero Sánchez, Á. Spectroscopical Analysis of Andean Plant Species with Anti-inflammatory, Antioxidant, and Antibacterial Activities. Rev. Bras. Farmacogn. 2024, 34, 135–153. [Google Scholar] [CrossRef]
- Jayakumar, T.; Lin, K.C.; Chang, C.C.; Hsia, C.W.; Manubolu, M.; Huang, W.C.; Sheu, J.R.; Hsia, C.H. Targeting MAPK/NF-κB Pathways in Anti-Inflammatory Potential of Rutaecarpine: Impact on Src/FAK-Mediated Macrophage Migration. Int. J. Mol. Sci. 2021, 23, 92. [Google Scholar] [CrossRef]
- Chan, L.P.; Liu, C.; Chiang, F.Y.; Wang, L.F.; Lee, K.W.; Chen, W.T.; Kuo, P.L.; Liang, C.H. IL-8 promotes inflammatory mediators and stimulates activation of p38 MAPK/ERK-NF-κB pathway and reduction of JNK in HNSCC. Oncotarget 2017, 8, 56375–56388. [Google Scholar] [CrossRef]
- Chen, B.; Wang, S.; Liu, G.; Bao, L.; Huang, Y.; Zhao, R.; Liu, H. Anti-inflammatory diterpenes and steroids from peels of the cultivated edible mushroom Wolfiporia cocos. Phytochem. Lett. 2020, 36, 11–16. [Google Scholar] [CrossRef]
- Natarajan, K.; Abraham, P.; Kota, R.; Isaac, B. NF-κB-iNOS-COX2-TNF α inflammatory signaling pathway plays an important role in methotrexate induced small intestinal injury in rats. Food Chem. Toxicol. 2018, 118, 766–783. [Google Scholar] [CrossRef]
- González, M.A. Aromatic abietane diterpenoids: Their biological activity and synthesis. Nat. Prod. Rep. 2015, 32, 684–704. [Google Scholar] [CrossRef] [PubMed]
- González-Cofrade, L.; Green, P.J.; Cuadrado, I.; Amesty, Á.; Oramas-Royo, S.; Brough, D.; Estévez-Braun, A.; Hortelano, S.; de Las Heras, B. Phenolic and quinone methide nor-triterpenes as selective NLRP3 inflammasome inhibitors. Bioorg. Chem. 2023, 132, 106362. [Google Scholar] [CrossRef]
- Lee, J.H.; Koo, T.H.; Yoon, H.; Jung, H.S.; Jin, H.Z.; Lee, K.; Hong, Y.S.; Lee, J.J. Inhibition of NF-kappa B activation through targeting I kappa B kinase by celastrol, a quinone methide triterpenoid. Biochem. Pharmacol. 2006, 72, 1311–1321. [Google Scholar] [CrossRef] [PubMed]
- Guo, Q.; Jin, Y.; Chen, X.; Ye, X.; Shen, X.; Lin, M.; Zeng, C.; Zhou, T.; Zhang, J. NF-κB in biology and targeted therapy: New insights and translational implications. Signal Transduct. Target Ther. 2024, 9, 53. [Google Scholar] [CrossRef]
- Liu, D.; Zhang, Q.; Luo, P.; Gu, L.; Shen, S.; Tang, H.; Zhang, Y.; Lyu, M.; Shi, Q.; Yang, C.; et al. Neuroprotective Effects of Celastrol in Neurodegenerative Diseases-Unscramble Its Major Mechanisms of Action and Targets. Aging Dis. 2022, 13, 815–836. [Google Scholar] [CrossRef] [PubMed]
- Hasegawa, Y.; Asada, S. DNA-dependent protein kinase catalytic subunit binds to the transactivation domain 1 of NF-κB p65. Biochem. Biophys. Rep. 2023, 35, 101538. [Google Scholar] [CrossRef] [PubMed]
- Dukler, N.; Booth, G.T.; Huang, Y.F.; Tippens, N.; Waters, C.T.; Danko, C.G.; Lis, J.T.; Siepel, A. Nascent RNA sequencing reveals a dynamic global transcriptional response at genes and enhancers to the natural medicinal compound celastrol. Genome Res. 2017, 27, 1816–1829. [Google Scholar] [CrossRef]
- Stefanovic, O.; Stankovic, M.S.; Comic, L. In vitro antibacterial efficacy of Clinopodium vulgare L. extracts and their synergistic interaction with antibiotics. J. Med. Plants Res. 2011, 5, 4074–4079. [Google Scholar] [CrossRef]
- Morocho, V.; Valle, A.; García, J.; Gilardoni, G.; Cartuche, L.; Suárez, A.I. α-Glucosidase Inhibition and Antibacterial Activity of Secondary Metabolites from the Ecuadorian Species Clinopodium taxifolium (Kunth) Govaerts. Molecules 2018, 23, 146. [Google Scholar] [CrossRef] [PubMed]
- Ghosh, M.D.; Golageri, D.B.; Sandaruwan, W.K.S.; Vishnu, J.; Rachel, S. Phytochemical screening, in-vitro evaluation of antioxidant and antibacterial efficacy of methanolic leaf extract of Clinopodium nepeta (L.) kuntze. IJPSR 2020, 61, 6463–6469. [Google Scholar] [CrossRef]
- Leandro, L.F.; Moraes, T.S.; Damasceno, J.L.; Veneziani, R.C.S.; Ambrosio, S.R.; Bastos, J.K.; Santiago, M.B.; Pedroso, R.S.; Martins, C.H.G. Antibacterial, antibiofilm, and antivirulence potential of the main diterpenes from Copaifera spp. oleoresins against multidrug-resistant bacteria. Naunyn Schmiedeberg’s Arch. Pharmacol. 2024. [Google Scholar] [CrossRef] [PubMed]
- Chung, P.Y. Novel targets of pentacyclic triterpenoids in Staphylococcus aureus: A systematic review. Phytomedicine 2020, 73, 152933. [Google Scholar] [CrossRef] [PubMed]
- Zielińska, S.; Wójciak-Kosior, M.; Dziągwa-Becker, M.; Gleńsk, M.; Sowa, I.; Fijałkowski, K.; Rurańska-Smutnicka, D.; Matkowski, A.; Junka, A. The Activity of Isoquinoline Alkaloids and Extracts from Chelidonium majus against Pathogenic Bacteria and Candida sp. Toxins 2019, 11, 406. [Google Scholar] [CrossRef] [PubMed]
- Miklasińska-Majdanik, M.; Kępa, M.; Wojtyczka, R.D.; Idzik, D.; Wąsik, T.J. Phenolic Compounds Diminish Antibiotic Resistance of Staphylococcus aureus Clinical Strains. Int. J. Environ. Res. Public Health 2018, 15, 2321. [Google Scholar] [CrossRef] [PubMed]
- Zhao, S.; Adamiak, J.W.; Bonifay, V.; Mehla, J.; Zgurskaya, H.I.; Tan, D.S. Defining new chemical space for drug penetration into Gram-negative bacteria. Nat. Chem. Biol. 2020, 16, 1293–1302. [Google Scholar] [CrossRef] [PubMed]
- Malanovic, N.; Lohner, K. Antimicrobial Peptides Targeting Gram-Positive Bacteria. Pharmaceuticals 2016, 9, 59. [Google Scholar] [CrossRef] [PubMed]
- Khataybeh, B.; Jaradat, Z.; Ababneh, Q. Anti-bacterial, anti-biofilm and anti-quorum sensing activities of honey: A review. J. Ethnopharmacol. 2023, 317, 116830. [Google Scholar] [CrossRef]
- Paluch, E.; Rewak-Soroczyńska, J.; Jędrusik, I.; Mazurkiewicz, E.; Jermakow, K. Prevention of biofilm formation by quorum quenching. Appl. Microbiol. Biotechnol. 2020, 104, 1871–1881. [Google Scholar] [CrossRef]
- Narciso, F.; Cardoso, S.; Monge, N.; Lourenço, M.; Martin, V.; Duarte, N.; Santos, C.; Gomes, P.; Bettencourt, A.; Ribeiro, I.A.C. 3D-printed biosurfactant-chitosan antibacterial coating for the prevention of silicone-based associated infections. Colloids Surf. B Biointerfaces 2023, 230, 113486. [Google Scholar] [CrossRef]
- Mendes, R.M.; Francisco, A.P.; Carvalho, F.A.; Dardouri, M.; Costa, B.; Bettencourt, A.F.; Costa, J.; Gonçalves, L.; Costa, F.; Ribeiro, I.A.C. Fighting S. aureus catheter-related infections with sophorolipids: Electing an antiadhesive strategy or a release one? Colloids Surf. B Biointerfaces 2021, 208, 112057. [Google Scholar] [CrossRef]
- Singh, S.; Brocker, C.; Koppaka, V.; Chen, Y.; Jackson, B.C.; Matsumoto, A.; Thompson, D.C.; Vasiliou, V. Aldehyde dehydrogenases in cellular responses to oxidative/electrophilic stress. Free Radic. Biol. Med. 2013, 56, 89–101. [Google Scholar] [CrossRef]
- Hossain, M.A.; Lee, S.J.; Park, N.H.; Mechesso, A.F.; Birhanu, B.T.; Kang, J.; Reza, M.A.; Suh, J.W.; Park, S.C. Impact of phenolic compounds in the acyl homoserine lactone-mediated quorum sensing regulatory pathways. Sci. Rep. 2017, 7, 10618. [Google Scholar] [CrossRef]
- Ghosh, A.; Jayaraman, N.; Chatterji, D. Small-Molecule Inhibition of Bacterial Biofilm. ACS Omega 2020, 5, 3108–3115. [Google Scholar] [CrossRef] [PubMed]
- Urzúa, A.; Rezende, M.C.; Mascayano, C.; Vásquez, L. A structure-activity study of antibacterial diterpenoids. Molecules 2008, 13, 882–891. [Google Scholar] [CrossRef] [PubMed]
- Hamzah, H.; Nuryastuti, T.; Rahmah, W.; Chabib, L.; Syamsul, E.S.; Lestari, D.; Jabbar, A.; Tunjung Pratiwi, S.U. Molecular Docking Study of the C-10 Massoia Lactone Compound as an Antimicrobial and Antibiofilm Agent against Candida tropicalis. Sci. World J. 2023, 2023, 6697124. [Google Scholar] [CrossRef] [PubMed]
- Miret-Casals, L.; Baelo, A.; Julián, E.; Astola, J.; Lobo-Ruiz, A.; Albericio, F.; Torrents, E. Hydroxylamine Derivatives as a New Paradigm in the Search of Antibacterial Agents. ACS Omega 2018, 3, 17057–17069. [Google Scholar] [CrossRef]
- Janssens, J.C.; Metzger, K.; Daniels, R.; Ptacek, D.; Verhoeven, T.; Habel, L.W.; Vanderleyden, J.; De Vos, D.E.; De Keersmaecker, S.C. Synthesis of N-acyl homoserine lactone analogues reveals strong activators of SdiA, the Salmonella enterica serovar Typhimurium LuxR homologue. Appl. Environ. Microbiol. 2007, 73, 535–544. [Google Scholar] [CrossRef]








| Samples No. | NF-κB Inhibition at 24 h IC50 ± SEM (μM) a | ||
|---|---|---|---|
| HBEC3-KT | MRC-5 | THP-1 | |
| AQECB (*) | 37.36 ± 0.52 | 44.95 ± 0.94 | 55.74 ± 0.18 |
| HECB (*) | 51.12 ± 0.67 | 57.38 ± 0.77 | 70.62 ± 0.88 |
| DCMECB (*) | 17.15 ± 0.28 | 23.02 ± 0.55 | 43.94 ± 0.74 |
| CEL (*) | 3.24 ± 0.02 | 3.27 ± 0.04 | 3.34 ± 0.07 |
| 1 | 27.94 ± 0.89 | 39.01 ± 0.22 | 43.38 ± 0.73 |
| 2 | 21.95 ± 0.23 | 26.94 ± 0.61 | 32.61 ± 0.69 |
| 3 | 17.98 ± 0.37 | 23.96 ± 0.21 | 29.45 ± 0.48 |
| 4 | 10.79 ± 0.69 | 17.37 ± 0.82 | 23.38 ± 0.71 |
| CEL | 7.15 ± 0.85 | 7.41 ± 0.83 | 7.63 ± 0.86 |
| Samples No. | Quorum Sensing Inhibition at 24 h Anti-QS ± SEM (μM) a | |||
|---|---|---|---|---|
| H. influenzae | L. pneumophila | S. pneumoniae | S. aureus | |
| AQECB (*) | 23.98 ± 0.07 | 17.18 ± 0.08 | 38.08 ± 0.02 | 42.61 ± 0.04 |
| HECB (*) | 9.36 ± 0.05 | 7.18 ± 0.09 | 18.17 ± 0.05 | 23.69 ± 0.09 |
| DCMECB (*) | 16.41 ± 0.04 | 13.25 ± 0.03 | 32.42 ± 0.08 | 37.25 ± 0.09 |
| Furanone C-30 (*) | 3.21 ± 0.02 | 3.03 ± 0.08 | 3.44 ± 0.06 | 3.77 ± 0.04 |
| 1 | 4.64 ± 0.09 | 2.44 ± 0.09 | 9.89 ± 0.04 | 12.24 ± 0.08 |
| 2 | 3.19 ± 0.04 | 1.95 ± 0.07 | 8.14 ± 0.05 | 11.81 ± 0.07 |
| 3 | 0.64 ± 0.01 | 0.31 ± 0.03 | 3.01 ± 0.07 | 4.88 ± 0.09 |
| 4 | 2.39 ± 0.03 | 1.21 ± 0.04 | 7.78 ± 0.01 | 10.08 ± 0.08 |
| Furanone C-30 | 11.81 ± 0.05 | 11.59 ± 0.03 | 12.03 ± 0.08 | 12.67 ± 0.02 |
| Samples No. | C. violaceum | ||
|---|---|---|---|
| BIC (µM) | Anti-QS (µM) | % of Violacein Inhibition | |
| 1 | 11.31 ± 0.07 | 4.83 ± 0.05 | 20.45 |
| 2 | 7.54 ± 0.05 | 3.55 ± 0.06 | 48.88 |
| 3 | 1.62 ± 0.06 | 0.94 ± 0.03 | 78.13 |
| 4 | 5.81 ± 0.02 | 1.16 ± 0.06 | 71.60 |
| CIP | 2.13 ± 0.01 | 1.51 ± 0.01 | 71.68 |
Disclaimer/Publisher’s Note: The statements, opinions and data contained in all publications are solely those of the individual author(s) and contributor(s) and not of MDPI and/or the editor(s). MDPI and/or the editor(s) disclaim responsibility for any injury to people or property resulting from any ideas, methods, instructions or products referred to in the content. |
© 2024 by the authors. Licensee MDPI, Basel, Switzerland. This article is an open access article distributed under the terms and conditions of the Creative Commons Attribution (CC BY) license (https://creativecommons.org/licenses/by/4.0/).
Share and Cite
Apaza Ticona, L.; Martínez Noguerón, A.; Sánchez Sánchez-Corral, J.; Montoto Lozano, N.; Ortega Domenech, M. Anti-Inflammatory, Antibacterial, Anti-Biofilm, and Anti-Quorum Sensing Activities of the Diterpenes Isolated from Clinopodium bolivianum. Pharmaceutics 2024, 16, 1094. https://doi.org/10.3390/pharmaceutics16081094
Apaza Ticona L, Martínez Noguerón A, Sánchez Sánchez-Corral J, Montoto Lozano N, Ortega Domenech M. Anti-Inflammatory, Antibacterial, Anti-Biofilm, and Anti-Quorum Sensing Activities of the Diterpenes Isolated from Clinopodium bolivianum. Pharmaceutics. 2024; 16(8):1094. https://doi.org/10.3390/pharmaceutics16081094
Chicago/Turabian StyleApaza Ticona, Luis, Ana Martínez Noguerón, Javier Sánchez Sánchez-Corral, Natalia Montoto Lozano, and Monserrat Ortega Domenech. 2024. "Anti-Inflammatory, Antibacterial, Anti-Biofilm, and Anti-Quorum Sensing Activities of the Diterpenes Isolated from Clinopodium bolivianum" Pharmaceutics 16, no. 8: 1094. https://doi.org/10.3390/pharmaceutics16081094
APA StyleApaza Ticona, L., Martínez Noguerón, A., Sánchez Sánchez-Corral, J., Montoto Lozano, N., & Ortega Domenech, M. (2024). Anti-Inflammatory, Antibacterial, Anti-Biofilm, and Anti-Quorum Sensing Activities of the Diterpenes Isolated from Clinopodium bolivianum. Pharmaceutics, 16(8), 1094. https://doi.org/10.3390/pharmaceutics16081094

