Hydrogen Bonding in Amorphous Indomethacin
Abstract
1. Introduction
2. Materials and Methods
3. Results
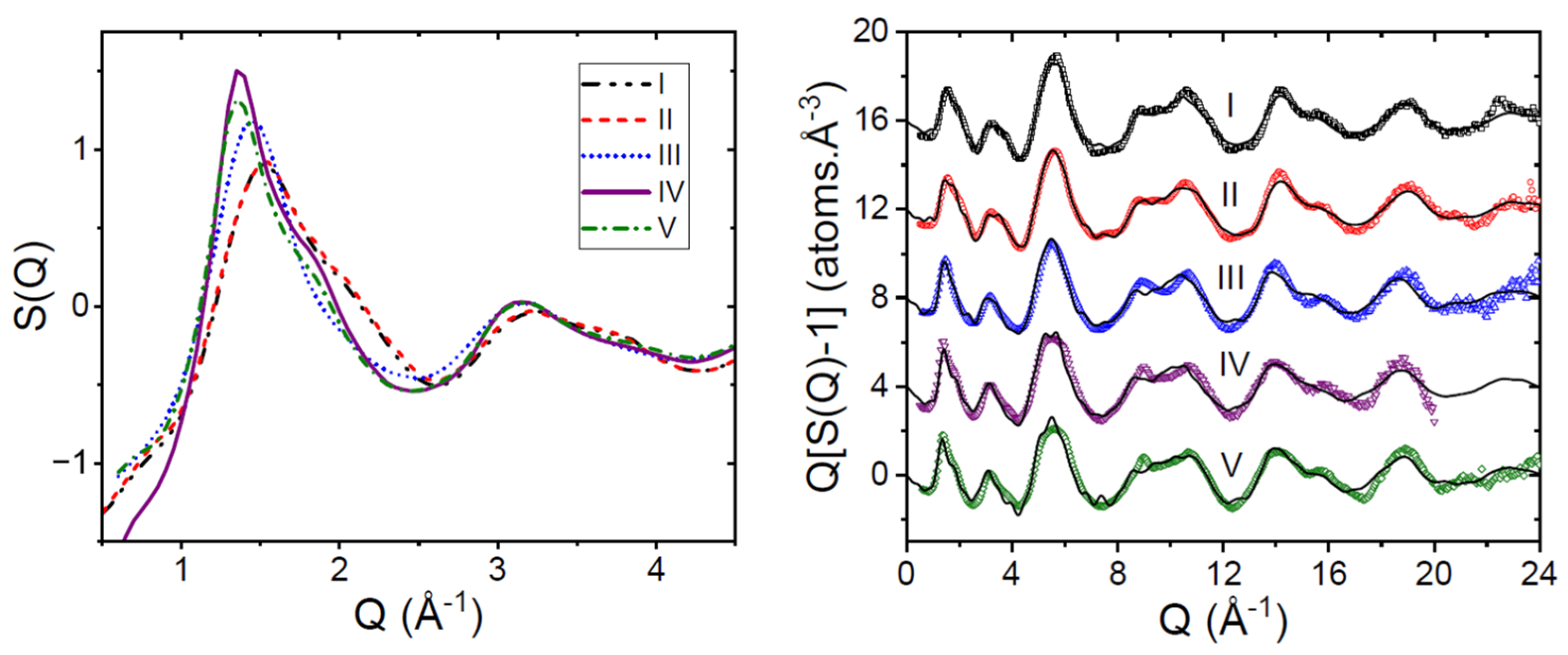
3.1. EPSR Models
3.2. ssNMR Experiments
4. Discussion
5. Conclusions
Supplementary Materials
Author Contributions
Funding
Institutional Review Board Statement
Informed Consent Statement
Data Availability Statement
Conflicts of Interest
References
- Byrn, S.R.; Zografi, G.; Chen, X.S. Solid State Properties of Pharmaceutical Material; John Wiley & Sons, Inc.: Hoboken, NJ, USA, 2017. [Google Scholar]
 - Healy, A.M.; Worku, Z.A.; Kumar, D.; Madi, A.M. Pharmaceutical solvates, hydrates and amorphous forms: A special emphasis on cocrystals. Adv. Drug Deliv. Rev. 2017, 117, 25–46. [Google Scholar] [CrossRef] [PubMed]
 - Hancock, B.C.; Zografi, G. Characteristics and significance of the amorphous state in pharmaceutical systems. J. Pharm. Sci. 1997, 86, 1–12. [Google Scholar] [CrossRef] [PubMed]
 - Andronis, V.; Yoshioka, M.; Zografi, G. Effects of sorbed water on the crystallization of indomethacin from the amorphous state. J. Pharm. Sci. 1997, 86, 346–351. [Google Scholar] [CrossRef] [PubMed]
 - Bates, S.; Zografi, G.; Engers, D.; Morris, K.; Crowley, K.; Newman, A. Analysis of amorphous and nanocrystalline solids from their X-ray diffraction patterns. Pharm. Res. 2006, 23, 2333–2349. [Google Scholar] [CrossRef] [PubMed]
 - Fukuoka, E.; Makita, M.; Yamamura, S. Glassy state of pharmaceuticals. II. Bioinequivalence of glassy and crystalline indomethacin. Chem. Pharm. Bull. 1987, 35, 2943–2948. [Google Scholar] [CrossRef] [PubMed]
 - Crowley, K.J.; Zografi, G. Cryogenic grinding of indomethacin polymorphs and solvates: Assessment of amorphous phase formation and amorphous phase physical stability. J. Pharm. Sci. 2002, 91, 492–507. [Google Scholar] [CrossRef] [PubMed]
 - Yoshioka, M.; Hancock, B.C.; Zografi, G. Crystallization of indomethacin from the amorphous state below and above its glass transition temperature. J. Pharm. Sci. 1994, 83, 1700–1705. [Google Scholar] [CrossRef] [PubMed]
 - Andronis, V.; Zografi, G. Crystal nucleation and growth of indomethacin polymorphs from the amorphous state. J. Non-Cryst. Solids 2000, 271, 236–248. [Google Scholar] [CrossRef]
 - Greco, K.; Bogner, R. Crystallization of amorphous indomethacin during dissolution: Effect of processing and annealing. Mol. Pharm. 2010, 7, 1406–1418. [Google Scholar] [CrossRef] [PubMed]
 - Karmwar, P.; Graeser, K.; Gordon, K.C.; Strachan, C.J.; Rades, T. Investigation of properties and recrystallisation behaviour of amorphous indomethacin samples prepared by different methods. Int. J. Pharm. 2011, 417, 94–100. [Google Scholar] [CrossRef]
 - Xiang, T.-X.; Anderson, B.D. Molecular Dynamics Simulation of Amorphous Indomethacin. Mol. Pharm. 2013, 10, 102–114. [Google Scholar] [CrossRef] [PubMed]
 - Kistenmacher, T.J.; Marsh, R.E. Crystal and molecular structure of an antiinflammatory agent, indomethacin, 1-(p-chlorobenzoyl)-5-methoxy-2-methylindole-3-acetic acid. J. Am. Chem. Soc. 1972, 94, 1340–1345. [Google Scholar] [CrossRef] [PubMed]
 - Chen, X.; Morris, K.R.; Griesser, U.J.; Byrn, S.R.; Stowell, J.G. Reactivity differences of indomethacin solid forms with ammonia gas. J. Am. Chem. Soc. 2002, 124, 15012–15019. [Google Scholar] [CrossRef] [PubMed]
 - Andrusenko, I.; Hamilton, V.; Lanza, A.E.; Hall, C.L.; Mugnaioli, E.; Potticary, J.; Buanz, A.; Gaisford, S.; Piras, A.M.; Zambito, Y.; et al. Structure determination, thermal stability and dissolution rate of δ-indomethacin. Int. J. Pharm. 2021, 608, 121067. [Google Scholar] [CrossRef] [PubMed]
 - Surwase, S.A.; Boetker, J.P.; Saville, D.; Boyd, B.J.; Gordon, K.C.; Peltonen, L.; Strachan, C.J. Indomethacin: New polymorphs of an old drug. Mol. Pharm. 2013, 10, 4472–4480. [Google Scholar] [CrossRef] [PubMed]
 - Benmore, C.J.; Benmore, S.R.; Edwards, A.D.; Shrader, C.D.; Bhat, M.H.; Cherry, B.R.; Smith, P.; Gozzo, F.; Shi, C.; Smith, D.; et al. A High Energy X-ray Diffraction Study of Amorphous Indomethacin. J. Pharm. Sci. 2022, 111, 818–824. [Google Scholar] [CrossRef] [PubMed]
 - Benmore, C.J.; Edwards, A.; Alderman, O.L.G.; Cherry, B.R.; Smith, P.; Smith, D.; Byrn, S.; Weber, R.; Yarger, J.L. The Structure of Liquid and Glassy Carbamazepine. Quantum Beam Sci. 2022, 6, 31. [Google Scholar] [CrossRef]
 - Benmore, C.J.; Benmore, S.R.; Wilke, S.K.; Menon, V.; Byrn, S.R.; Weber, J.K.R. X-ray Diffraction of Water in Polyvinylpyrrolidone. Mol. Pharm. 2023, 20, 3645–3652. [Google Scholar] [CrossRef] [PubMed]
 - Åman, K.; Håkansson, P.; Westlund, P.-O. A general approach to the calculation of 2H2O NMR lineshapes in microheterogeneous systems: A distorted bicontinuous cubic phase. Phys. Chem. Chem. Phys. 2005, 7, 1394–1401. [Google Scholar] [CrossRef]
 - Soper, A.K. Partial structure factors from disordered materials diffraction data: An approach using empirical potential structure refinement. Phys. Rev. B 2005, 72, 104204. [Google Scholar] [CrossRef]
 - Gallington, L.C.; Wilke, S.K.; Kohara, S.; Benmore, C.J. Review of Current Software for Analyzing Total X-ray Scattering Data from Liquids. Quantum Beam Sci. 2023, 7, 20. [Google Scholar] [CrossRef]
 - Soper, A.K. Empirical potential Monte Carlo simulation of fluid structure. Chem. Phys. 1996, 202, 295–306. [Google Scholar] [CrossRef]
 - Soper, A.K. Joint structure refinement of x-ray and neutron diffraction data on disordered materials: Application to liquid water. J. Phys. Condens. Matter 2007, 19, 335206. [Google Scholar] [CrossRef] [PubMed]
 - Benmore, C.; Gallington, L.; Soignard, E. Intermediate range order in supercooled water. Mol. Phys. 2019, 117, 2470–2476. [Google Scholar] [CrossRef]
 - Berglund, B.; Vaughan, R.W. Correlations between proton chemical shift tensors, deuterium quadrupole couplings, and bond distances for hydrogen bonds in solids. J. Chem. Phys. 1980, 73, 2037–2043. [Google Scholar] [CrossRef]
 - Di Martino, R.M.C.; Maxwell, B.D.; Pirali, T. Deuterium in drug discovery: Progress, opportunities and challenges. Nat. Rev. Drug Discov. 2023, 22, 562–584. [Google Scholar] [CrossRef] [PubMed]
 - Lu, X.; Xu, W.; Hanada, M.; Jermain, S.V.; Williams, R.O., III; Su, Y. Solid-state NMR analysis of crystalline and amorphous Indomethacin: An experimental protocol for full resonance assignments. J. Pharm. Biomed Anal 2019, 165, 47–55. [Google Scholar] [CrossRef] [PubMed]
 - Van Duong, T.; Lüdeker, D.; Van Bockstal, P.J.; De Beer, T.; Van Humbeeck, J.; Van den Mooter, G. Polymorphism of Indomethacin in Semicrystalline Dispersions: Formation, Transformation, and Segregation. Mol. Pharm. 2018, 15, 1037–1051. [Google Scholar] [CrossRef]
 - Heinz, A.; Savolainen, M.; Rades, T.; Strachan, C.J. Quantifying ternary mixtures of different solid-state forms of indomethacin by Raman and near-infrared spectroscopy. Eur. J. Pharm. Sci. 2007, 32, 182–192. [Google Scholar] [CrossRef]
 - Gerges, J.; Affouard, F. Insight From Molecular Dynamics Simulations on the Crystallization Tendency of Indomethacin Polymorphs in the Undercooled Liquid State. J. Pharm. Sci. 2020, 109, 1086–1095. [Google Scholar] [CrossRef]
 - Terban, M.W.; Billinge, S.J.L. Structural Analysis of Molecular Materials Using the Pair Distribution Function. Chem. Rev. 2022, 122, 1208–1272. [Google Scholar] [CrossRef] [PubMed]
 - Benmore, C.J. 10.14-X-ray and neutron diffraction from glasses and liquids. In Comprehensive Inorganic Chemistry III, 3rd ed.; Reedijk, J., Poeppelmeier, K.R., Eds.; Elsevier: Oxford, UK, 2023; pp. 384–424. [Google Scholar]
 - Chen, S.; Sheikh, A.Y.; Ho, R. Evaluation of effects of pharmaceutical processing on structural disorders of active pharmaceutical ingredient crystals using nanoindentation and high-resolution total scattering pair distribution function analysis. J. Pharm. Sci. 2014, 103, 3879–3890. [Google Scholar] [CrossRef] [PubMed]
 - Fronza, G.; Mele, A.; Redenti, E.; Ventura, P. 1H NMR and Molecular Modeling Study on the Inclusion Complex β-Cyclodextrin−Indomethacin. J. Org. Chem. 1996, 61, 909–914. [Google Scholar] [CrossRef]
 - Mantsch, H.H.; Saitô, H.; Smith, I.C.P. Deuterium magnetic resonance, applications in chemistry, physics and biology. Prog. Nucl. Magn. Reson. Spectrosc. 1977, 11, 211–272. [Google Scholar] [CrossRef]
 - Massiot, D.; Fayon, F.; Capron, M.; King, I.; Le Calvé, S.; Alonso, B.; Durand, J.-O.; Bujoli, B.; Gan, Z.; Hoatson, G. Modelling one- and two-dimensional solid-state NMR spectra. Magn. Reson. Chem. 2002, 40, 70–76. [Google Scholar] [CrossRef]
 









| Atom | ε (kJ/mol) | σ (Å) | Partial Charge, Q  | 
|---|---|---|---|
| O1 (acceptor), O2 (donor) | 0.65 | 3.1 | −0.6 | 
| O3 (acceptor) | 0.65 | 3.1 | −0.4 | 
| C4, C8 | 0.8 | 3.7 | +0.7 | 
| H2 | 0 | 0 | +0.8 | 
| H1 | 0 | 0 | 0.0 | 
| C1, C2, C3, C5, C6, C7, C9, C10 | 0.8 | 3.7 | 0.0 | 
| Cl | 0.8 | 3.2 | 0.0 | 
| Sample | Atomic Number Density (AtomsÅ−3) | Number of Rotations within Molecule | Intramolecular C-X Bond Length or Expansion (Å) | 
|---|---|---|---|
| γ-form (crystal) | 0.0952 | None (Z isomer fixed geometry)  | 1.380 (initial bond) | 
| I | 0.0900 | 5 | +0.015 | 
| II | 0.0900 | 5 | +0.015 | 
| III | 0.0925 | 5 | +0.036 | 
| IV | 0.0950 | None (slight variation) | +0.041 | 
| V | 0.0950 | None (slight variation) | +0.036 | 
Disclaimer/Publisher’s Note: The statements, opinions and data contained in all publications are solely those of the individual author(s) and contributor(s) and not of MDPI and/or the editor(s). MDPI and/or the editor(s) disclaim responsibility for any injury to people or property resulting from any ideas, methods, instructions or products referred to in the content.  | 
© 2024 by the authors. Licensee MDPI, Basel, Switzerland. This article is an open access article distributed under the terms and conditions of the Creative Commons Attribution (CC BY) license (https://creativecommons.org/licenses/by/4.0/).
Share and Cite
Benmore, C.J.; Yarger, J.L.; Davidowski, S.K.; Shrader, C.D.; Smith, P.A.; Byrn, S.R. Hydrogen Bonding in Amorphous Indomethacin. Pharmaceutics 2024, 16, 1002. https://doi.org/10.3390/pharmaceutics16081002
Benmore CJ, Yarger JL, Davidowski SK, Shrader CD, Smith PA, Byrn SR. Hydrogen Bonding in Amorphous Indomethacin. Pharmaceutics. 2024; 16(8):1002. https://doi.org/10.3390/pharmaceutics16081002
Chicago/Turabian StyleBenmore, C. J., J. L. Yarger, S. K. Davidowski, C. D. Shrader, P. A. Smith, and S. R. Byrn. 2024. "Hydrogen Bonding in Amorphous Indomethacin" Pharmaceutics 16, no. 8: 1002. https://doi.org/10.3390/pharmaceutics16081002
APA StyleBenmore, C. J., Yarger, J. L., Davidowski, S. K., Shrader, C. D., Smith, P. A., & Byrn, S. R. (2024). Hydrogen Bonding in Amorphous Indomethacin. Pharmaceutics, 16(8), 1002. https://doi.org/10.3390/pharmaceutics16081002
        
