Gene Therapy with Chitosan Nanoparticles: Modern Formulation Strategies for Enhancing Cancer Cell Transfection
Abstract
1. Introduction
2. Chitosan in Gene Delivery
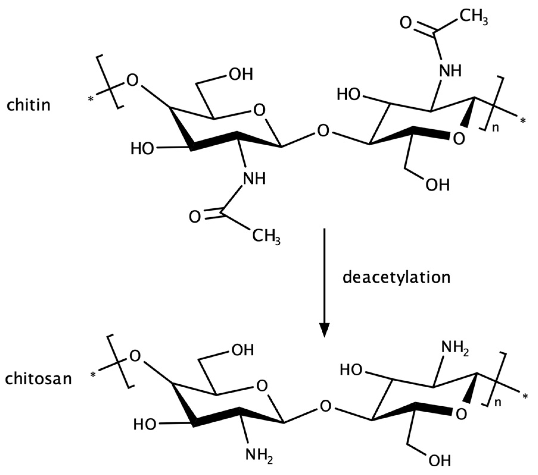
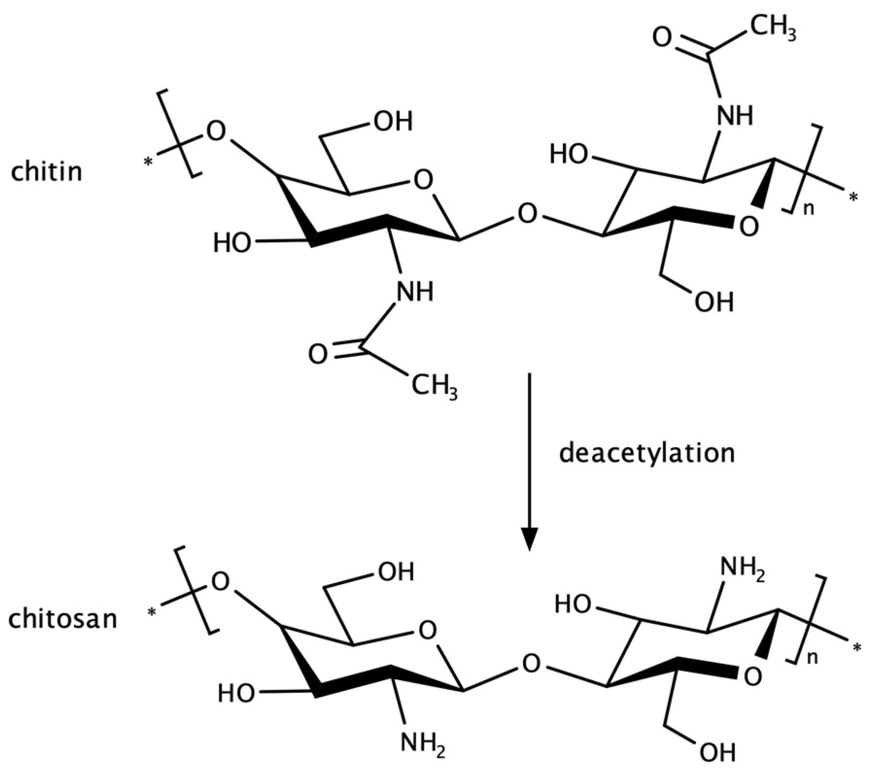
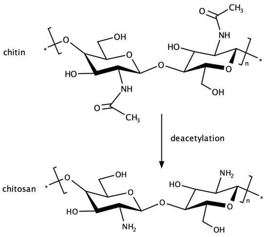
2.1. Chitosan Structure and Properties
2.2. Chitosan in Cancer Treatment
2.3. Factors Affecting Loading Efficiency of Gene Cargo to ChNPs and Their In Vivo Performance
2.4. ChNP Cellular Uptake, Intracellular Trafficking, and In Vivo Distribution
2.5. Clinical Applications of Chitosan
3. Strategies for Enhanced Transfection Efficiency of Chitosan Nanoparticles (ChNPs)
3.1. Strategies for Increasing Stability of ChNPs
3.1.1. Chemical Modification of Ch
3.1.2. PEGylation
3.2. Strategies for Increasing Cellular Uptake
3.2.1. Use of Cell-Penetrating Peptides (CPPs)
3.2.2. Other Molecules with CPP-like Effect
3.3. Strategies for Enhancing Cell Targeting
3.3.1. Use of Targeting Ligands
3.3.2. Stimuli Responsive ChNPs
3.3.3. Biomimetic NPs
3.4. Strategies for Facilitating Endosomal Escape
3.5. Synergistic Approaches
3.5.1. Combining Enhanced Stability and Targeting
PEGylated ChNPs with Targeting Ligands
Ch Derivatives with Targeting Ligands
Ch Derivatives with Stimuli-Responsiveness Ability and Targeting Ligands
3.5.2. Combining Targeting and Enhanced Endosomal Escape
3.5.3. Combining Enhanced Stability, Targeting, and Extensive Cellular Uptake
4. Discussion
5. Conclusions
Author Contributions
Funding
Institutional Review Board Statement
Informed Consent Statement
Conflicts of Interest
References
- Gonçalves, G.A.R.; Paiva, R.d.M.A. Gene Therapy: Advances, Challenges and Perspectives. Einstein 2017, 15, 369. [Google Scholar] [CrossRef] [PubMed]
- Landhuis, E. The Definition of Gene Therapy Has Changed. Nature 2021. [Google Scholar] [CrossRef] [PubMed]
- Herzog, R.W.; Cao, O.; Srivastava, A. Two Decades of Clinical Gene Therapy–Success Is Finally Mounting. Discov. Med. 2010, 9, 105. [Google Scholar] [PubMed]
- Arabi, F.; Mansouri, V.; Ahmadbeigi, N. Gene Therapy Clinical Trials, Where Do We Go? An Overview. Biomed. Pharmacother. 2022, 153, 113324. [Google Scholar] [CrossRef] [PubMed]
- Carvalho, M.; Sepodes, B.; Martins, A.P. Regulatory and Scientific Advancements in Gene Therapy: State-of-the-Art of Clinical Applications and of the Supporting European Regulatory Framework. Front. Med. 2017, 4, 297332. [Google Scholar] [CrossRef] [PubMed]
- Li, X.; Le, Y.; Zhang, Z.; Nian, X.; Liu, B.; Yang, X. Viral Vector-Based Gene Therapy. Int. J. Mol. Sci. 2023, 24, 7736. [Google Scholar] [CrossRef] [PubMed]
- Santana-Armas, M.L.; Tros de Ilarduya, C. Strategies for Cancer Gene-Delivery Improvement by Non-Viral Vectors. Int. J. Pharm. 2021, 596, 120291. [Google Scholar] [CrossRef] [PubMed]
- Caprifico, A.E.; Foot, P.J.S.; Polycarpou, E.; Calabrese, G. Advances in Chitosan-Based CRISPR/Cas9 Delivery Systems. Pharmaceutics 2022, 14, 1840. [Google Scholar] [CrossRef] [PubMed]
- Lostalé-Seijo, I.; Montenegro, J. Synthetic Materials at the Forefront of Gene Delivery. Nat. Rev. Chem. 2018, 2, 258–277. [Google Scholar] [CrossRef]
- Sayed, N.; Allawadhi, P.; Khurana, A.; Singh, V.; Navik, U.; Pasumarthi, S.K.; Khurana, I.; Banothu, A.K.; Weiskirchen, R.; Bharani, K.K. Gene Therapy: Comprehensive Overview and Therapeutic Applications. Life Sci. 2022, 294, 120375. [Google Scholar] [CrossRef]
- Thomas, C.E.; Ehrhardt, A.; Kay, M.A. Progress and Problems with the Use of Viral Vectors for Gene Therapy. Nat. Rev. Genet. 2003, 4, 346–358. [Google Scholar] [CrossRef] [PubMed]
- Patil, S.; Gao, Y.G.; Lin, X.; Li, Y.; Dang, K.; Tian, Y.; Zhang, W.J.; Jiang, S.F.; Qadir, A.; Qian, A.R. The Development of Functional Non-Viral Vectors for Gene Delivery. Int. J. Mol. Sci. 2019, 20, 5491. [Google Scholar] [CrossRef] [PubMed]
- Zu, H.; Gao, D. Non-Viral Vectors in Gene Therapy: Recent Development, Challenges, and Prospects. AAPS J. 2021, 23, 78. [Google Scholar] [CrossRef] [PubMed]
- Yusuf, A.; Almotairy, A.R.Z.; Henidi, H.; Alshehri, O.Y.; Aldughaim, M.S. Nanoparticles as Drug Delivery Systems: A Review of the Implication of Nanoparticles’ Physicochemical Properties on Responses in Biological Systems. Polymers 2023, 15, 1596. [Google Scholar] [CrossRef] [PubMed]
- Bruininks, B.M.H.; Souza, P.C.T.; Ingolfsson, H.; Marrink, S.J. A Molecular View on the Escape of Lipoplexed DNA from the Endosome. Elife 2020, 9, e52012. [Google Scholar] [CrossRef] [PubMed]
- Prabha, S.; Arya, G.; Chandra, R.; Ahmed, B.; Nimesh, S. Effect of Size on Biological Properties of Nanoparticles Employed in Gene Delivery. Artif. Cells Nanomed. Biotechnol. 2016, 44, 83–91. [Google Scholar] [CrossRef] [PubMed]
- Nounou, M.I.; Emmanouil, K.; Chung, S.; Pham, T.; Lu, Z.; Bikram, M. Novel Reducible Linear L-Lysine-Modified Copolymers as Efficient Nonviral Vectors. J. Control. Release 2010, 143, 326–334. [Google Scholar] [CrossRef] [PubMed]
- Tang, R.; Xu, Z. Gene Therapy: A Double-Edged Sword with Great Powers. Mol. Cell Biochem. 2020, 474, 73–81. [Google Scholar] [CrossRef] [PubMed]
- Mohammad, R. Key Considerations in Formulation Development for Gene Therapy Products. Drug Discov. Today 2022, 27, 292–303. [Google Scholar] [CrossRef]
- Cao, Y.; Tan, Y.F.; Wong, Y.S.; Liew, M.W.J.; Venkatraman, S. Recent Advances in Chitosan-Based Carriers for Gene Delivery. Mar. Drugs 2019, 17, 381. [Google Scholar] [CrossRef] [PubMed]
- Genedy, H.H.; Delair, T.; Montembault, A. Chitosan Based MicroRNA Nanocarriers. Pharmaceuticals 2022, 15, 1036. [Google Scholar] [CrossRef] [PubMed]
- Narmani, A.; Jafari, S.M. Chitosan-Based Nanodelivery Systems for Cancer Therapy: Recent Advances. Carbohydr. Polym. 2021, 272, 118464. [Google Scholar] [CrossRef] [PubMed]
- Rizeq, B.R.; Younes, N.N.; Rasool, K.; Nasrallah, G.K. Synthesis, Bioapplications, and Toxicity Evaluation of Chitosan-Based Nanoparticles. Int. J. Mol. Sci. 2019, 20, 5776. [Google Scholar] [CrossRef] [PubMed]
- Huang, G.; Chen, Q.; Wu, W.; Wang, J.; Chu, P.K.; Bai, H.; Tang, G. Reconstructed Chitosan with Alkylamine for Enhanced Gene Delivery by Promoting Endosomal Escape. Carbohydr. Polym. 2020, 227, 115339. [Google Scholar] [CrossRef] [PubMed]
- Nakamura, Y.; Mochida, A.; Choyke, P.L.; Kobayashi, H. Nanodrug Delivery: Is the Enhanced Permeability and Retention Effect Sufficient for Curing Cancer? Bioconjug. Chem. 2016, 27, 2225–2238. [Google Scholar] [CrossRef] [PubMed]
- Yan, T.; Zhu, S.; Hui, W.; He, J.; Liu, Z.; Cheng, J. Chitosan Based PH-Responsive Polymeric Prodrug Vector for Enhanced Tumor Targeted Co-Delivery of Doxorubicin and SiRNA. Carbohydr. Polym. 2020, 250, 116781. [Google Scholar] [CrossRef] [PubMed]
- Yan, L.; Gao, S.; Shui, S.; Liu, S.; Qu, H.; Liu, C.; Zheng, L. Small Interfering RNA-Loaded Chitosan Hydrochloride/Carboxymethyl Chitosan Nanoparticles for Ultrasound-Triggered Release to Hamper Colorectal Cancer Growth in Vitro. Int. J. Biol. Macromol. 2020, 162, 1303–1310. [Google Scholar] [CrossRef] [PubMed]
- Ding, J.; Guo, Y. Recent Advances in Chitosan and Its Derivatives in Cancer Treatment. Front. Pharmacol. 2022, 13, 888740. [Google Scholar] [CrossRef] [PubMed]
- Aranaz, I.; Alcántara, A.R.; Civera, M.C.; Arias, C.; Elorza, B.; Caballero, A.H.; Acosta, N. Chitosan: An Overview of Its Properties and Applications. Polymers 2021, 13, 3256. [Google Scholar] [CrossRef] [PubMed]
- Huang, M.; Fong, C.W.; Khor, E.; Lim, L.Y. Transfection Efficiency of Chitosan Vectors: Effect of Polymer Molecular Weight and Degree of Deacetylation. J. Control. Release 2005, 106, 391–406. [Google Scholar] [CrossRef] [PubMed]
- Aranda-Barradas, M.E.; Trejo-López, S.E.; Real, A.D.; Álvarez-Almazán, S.; Méndez-Albores, A.; García-Tovar, C.G.; González-Díaz, F.R.; Miranda-Castro, S.P. Effect of Molecular Weight of Chitosan on the Physicochemical, Morphological, and Biological Properties of Polyplex Nanoparticles Intended for Gene Delivery. Carbohydr. Polym. Technol. Appl. 2022, 4, 100228. [Google Scholar] [CrossRef]
- Mao, S.; Sun, W.; Kissel, T. Chitosan-Based Formulations for Delivery of DNA and SiRNA. Adv. Drug Deliv. Rev. 2010, 62, 12–27. [Google Scholar] [CrossRef] [PubMed]
- Kiang, T.; Wen, J.; Lim, H.W.; Leong, K.W. The Effect of the Degree of Chitosan Deacetylation on the Efficiency of Gene Transfection. Biomaterials 2004, 25, 5293–5301. [Google Scholar] [CrossRef] [PubMed]
- Katas, H.; Alpar, H.O. Development and Characterisation of Chitosan Nanoparticles for SiRNA Delivery. J. Control. Release 2006, 115, 216–225. [Google Scholar] [CrossRef] [PubMed]
- Aibani, N.; Rai, R.; Patel, P.; Cuddihy, G.; Wasan, E.K. Chitosan Nanoparticles at the Biological Interface: Implications for Drug Delivery. Pharmaceutics 2021, 13, 1686. [Google Scholar] [CrossRef] [PubMed]
- Vermeulen, L.M.P.; De Smedt, S.C.; Remaut, K.; Braeckmans, K. The Proton Sponge Hypothesis: Fable or Fact? Eur. J. Pharm. Biopharm. 2018, 129, 184–190. [Google Scholar] [CrossRef] [PubMed]
- Tammam, S.N.; Azzazy, H.M.E.; Lamprecht, A. The Effect of Nanoparticle Size and NLS Density on Nuclear Targeting in Cancer and Normal Cells; Impaired Nuclear Import and Aberrant Nanoparticle Intracellular Trafficking in Glioma. J. Control. Release 2017, 253, 30–36. [Google Scholar] [CrossRef] [PubMed]
- Kantak, M.N.; Bharate, S.S. Analysis of Clinical Trials on Biomaterial and Therapeutic Applications of Chitosan: A Review. Carbohydr. Polym. 2022, 278, 118999. [Google Scholar] [CrossRef] [PubMed]
- Dong, L.; Li, Y.; Cong, H.; Yu, B.; Shen, Y. A Review of Chitosan in Gene Therapy: Developments and Challenges. Carbohydr. Polym. 2024, 324, 121562. [Google Scholar] [CrossRef] [PubMed]
- Ragelle, H.; Vanvarenberg, K.; Vandermeulen, G.; Préat, V. Chitosan Nanoparticles for SiRNA Delivery in Vitro. Methods Mol. Biol. 2016, 1364, 143–150. [Google Scholar] [PubMed]
- Al-Absi, M.Y.; Caprifico, A.E.; Calabrese, G. Chitosan and Its Structural Modifications for SiRNA Delivery. Adv. Pharm. Bull. 2023, 13, 275. [Google Scholar] [CrossRef] [PubMed]
- Wang, W.; Meng, Q.; Li, Q.; Liu, J.; Zhou, M.; Jin, Z.; Zhao, K. Chitosan Derivatives and Their Application in Biomedicine. Int. J. Mol. Sci. 2020, 21, 487. [Google Scholar] [CrossRef] [PubMed]
- Mourya, V.K.; Inamdar, N.N. Trimethyl Chitosan and Its Applications in Drug Delivery. J. Mater. Sci. Mater. Med. 2009, 20, 1057–1079. [Google Scholar] [CrossRef] [PubMed]
- Germershaus, O.; Mao, S.; Sitterberg, J.; Bakowsky, U.; Kissel, T. Gene Delivery Using Chitosan, Trimethyl Chitosan or Polyethylenglycol-Graft-Trimethyl Chitosan Block Copolymers: Establishment of Structure–Activity Relationships in Vitro. J. Control. Release 2008, 125, 145–154. [Google Scholar] [CrossRef] [PubMed]
- Nikkhoo, A.; Rostami, N.; Farhadi, S.; Esmaily, M.; Moghadaszadeh Ardebili, S.; Atyabi, F.; Baghaei, M.; Haghnavaz, N.; Yousefi, M.; Aliparasti, M.R.; et al. Codelivery of STAT3 SiRNA and BV6 by Carboxymethyl Dextran Trimethyl Chitosan Nanoparticles Suppresses Cancer Cell Progression. Int. J. Pharm. 2020, 581, 119236. [Google Scholar] [CrossRef] [PubMed]
- Rostami, N.; Nikkhoo, A.; Khazaei-poul, Y.; Farhadi, S.; Sadat Haeri, M.; Moghadaszadeh Ardebili, S.; Aghaei Vanda, N.; Atyabi, F.; Namdar, A.; Baghaei, M.; et al. Coinhibition of S1PR1 and GP130 by SiRNA-Loaded Alginate-Conjugated Trimethyl Chitosan Nanoparticles Robustly Blocks Development of Cancer Cells. J. Cell Physiol. 2020, 235, 9702–9717. [Google Scholar] [CrossRef] [PubMed]
- Weecharangsan, W.; Opanasopit, P.; Ngawhirunpat, T.; Apirakaramwong, A.; Rojanarata, T.; Ruktanonchai, U.; Lee, R.J. Evaluation of Chitosan Salts as Non-Viral Gene Vectors in CHO-K1 Cells. Int. J. Pharm. 2008, 348, 161–168. [Google Scholar] [CrossRef] [PubMed]
- Weecharangsan, W.; Opanasopit, P.; Ngawhirunpat, T.; Rojanarata, T.; Apirakaramwong, A. Chitosan Lactate as a Nonviral Gene Delivery Vector in COS-1 Cells. AAPS PharmSciTech 2006, 7, E74–E79. [Google Scholar] [CrossRef]
- Gou, Y.; Weng, Y.; Chen, Q.; Wu, J.; Wang, H.; Zhong, J.; Bi, Y.; Cao, D.; Zhao, P.; Dong, X.; et al. Carboxymethyl Chitosan Prolongs Adenovirus-mediated Expression of IL-10 and Ameliorates Hepatic Fibrosis in a Mouse Model. Bioeng. Transl. Med. 2022, 7, e10306. [Google Scholar] [CrossRef] [PubMed]
- Chuan, D.; Jin, T.; Fan, R.; Zhou, L.; Guo, G. Chitosan for Gene Delivery: Methods for Improvement and Applications. Adv. Colloid. Interface Sci. 2019, 268, 25–38. [Google Scholar] [CrossRef] [PubMed]
- Jiang, X.; Dai, H.; Leong, K.W.; Goh, S.H.; Mao, H.Q.; Yang, Y.Y. Chitosan-g-PEG/DNA Complexes Deliver Gene to the Rat Liver via Intrabiliary and Intraportal Infusions. J. Gene Med. 2006, 8, 477–487. [Google Scholar] [CrossRef] [PubMed]
- Zhang, Y.; Chen, J.; Zhang, Y.; Pan, Y.; Zhao, J.; Ren, L.; Liao, M.; Hu, Z.; Kong, L.; Wang, J. A Novel PEGylation of Chitosan Nanoparticles for Gene Delivery. Biotechnol. Appl. Biochem. 2007, 46, 197–204. [Google Scholar] [CrossRef]
- Ragelle, H.; Riva, R.; Vandermeulen, G.; Naeye, B.; Pourcelle, V.; Duff, C.S.L.; D’Haese, C.; Nysten, B.; Braeckmans, K.; De Smedt, S.C.; et al. Chitosan Nanoparticles for SiRNA Delivery: Optimizing Formulation to Increase Stability and Efficiency. J. Control. Release 2014, 176, 54–63. [Google Scholar] [CrossRef] [PubMed]
- Rastegari, A.; Mottaghitalab, F.; Dinarvand, R.; Amini, M.; Arefian, E.; Gholami, M.; Atyabi, F. Inhibiting Hepatic Gluconeogenesis by Chitosan Lactate Nanoparticles Containing CRTC2 SiRNA Targeted by Poly(Ethylene Glycol)-Glycyrrhetinic Acid. Drug Deliv. Transl. Res. 2019, 9, 694–706. [Google Scholar] [CrossRef] [PubMed]
- Mikušová, V.; Mikuš, P.; Piozzi, A. Molecular Sciences Advances in Chitosan-Based Nanoparticles for Drug Delivery. Int. J. Mol. Sci. 2021, 22, 9652. [Google Scholar] [CrossRef] [PubMed]
- Allahyari, S.E.; Hajizadeh, F.; Zekiy, A.O.; Mansouri, N.; Gilan, P.S.; Mousavi, S.M.; Masjedi, A.; Hassannia, H.; Ahmadi, M.; Mohammadi, H.; et al. Simultaneous Inhibition of CD73 and IL-6 Molecules by SiRNA-Loaded Nanoparticles Prevents the Growth and Spread of Cancer. Nanomedicine 2021, 34, 102384. [Google Scholar] [CrossRef] [PubMed]
- Hatakeyama, H.; Akita, H.; Harashima, H. The Polyethyleneglycol Dilemma: Advantage and Disadvantage of PEGylation of Liposomes for Systemic Genes and Nucleic Acids Delivery to Tumors. Biol. Pharm. Bull. 2013, 36, 892–899. [Google Scholar] [CrossRef] [PubMed]
- Salimifard, S.; Kiani, F.K.; Eshaghi, F.S.; Izadi, S.; Shahdadnejad, K.; Masjedi, A.; Heydari, M.; Ahmadi, A.; Hojjat-Farsangi, M.; Hassannia, H.; et al. Codelivery of BV6 and Anti-IL6 SiRNA by Hyaluronate-Conjugated PEG-Chitosan-Lactate Nanoparticles Inhibits Tumor Progression. Life Sci. 2020, 260, 118423. [Google Scholar] [CrossRef] [PubMed]
- Afrouz, M.; Ahmadi-Nouraldinvand, F.; Ajirlu, Y.Y.; Arabnejad, F.; Eskanlou, H.; Yaghoubi, H. Preparation and Characterization of PLA-PEG/Chitosan-FA/DNA for Gene Transfer to MCF-7 Cells. Med. Drug Discov. 2022, 15, 100138. [Google Scholar] [CrossRef]
- Fukui, N.; Yawata, T.; Nakajo, T.; Kawanishi, Y.; Higashi, Y.; Yamashita, T.; Aratake, T.; Honke, K.; Ueba, T. Targeting CD146 Using Folic Acid-Conjugated Nanoparticles and Suppression of Tumor Growth in a Mouse Glioma Model. J. Neurosurg. 2020, 134, 1772–1782. [Google Scholar] [CrossRef] [PubMed]
- Layek, B.; Lipp, L.; Singh, J. Cell Penetrating Peptide Conjugated Chitosan for Enhanced Delivery of Nucleic Acid. Int. J. Mol. Sci. 2015, 16, 28912. [Google Scholar] [CrossRef] [PubMed]
- Chung, Y.C.; Chang, F.H.; Wei, M.F.; Young, T.H. A Variable Gene Delivery Carrier—Biotinylated Chitosan/Polyethyleneimine. Biomed. Mater. 2010, 5, 65012. [Google Scholar] [CrossRef]
- Malhotra, M.; Tomaro-Duchesneau, C.; Saha, S.; Kahouli, I.; Prakash, S. Development and Characterization of Chitosan-PEG-TAT Nanoparticles for the Intracellular Delivery of SiRNA. Int. J. Nanomed. 2013, 8, 2041–2052. [Google Scholar] [CrossRef]
- Khesht, A.M.S.; Karpisheh, V.; Gilan, P.S.; Melnikova, L.A.; Zekiy, A.O.; Mohammadi, M.; Hojjat-Farsangi, M.; Zolbanin, N.M.; Mahmoodpoor, A.; Hassannia, H.; et al. Blockade of CD73 Using SiRNA Loaded Chitosan Lactate Nanoparticles Functionalized with TAT-Hyaluronate Enhances Doxorubicin Mediated Cytotoxicity in Cancer Cells Both in Vitro and in Vivo. Int. J. Biol. Macromol. 2021, 186, 849–863. [Google Scholar] [CrossRef] [PubMed]
- Timotievich, E.D.; Shilovskiy, I.P.; Khaitov, M.R. Cell-Penetrating Peptides as Vehicles for Delivery of Therapeutic Nucleic Acids. Mechanisms and Application in Medicine. Biochemistry 2023, 88, 1800–1817. [Google Scholar] [CrossRef] [PubMed]
- Wang, G.H.; Cai, Y.Y.; Du, J.K.; Li, L.; Li, Q.; Yang, H.K.; Lin, J.T. TAT-Conjugated Chitosan Cationic Micelle for Nuclear-Targeted Drug and Gene Co-Delivery. Colloids Surf. B Biointerfaces 2018, 162, 326–334. [Google Scholar] [CrossRef] [PubMed]
- Zhang, J.; Cai, X.; Dou, R.; Guo, C.; Tang, J.; Hu, Y.; Chen, H.; Chen, J. Poly(β-Amino Ester)s-Based Nanovehicles: Structural Regulation and Gene Delivery. Mol. Ther. Nucleic Acids 2023, 32, 568–581. [Google Scholar] [CrossRef] [PubMed]
- Ni, S.; Xie, Y.; Tang, Y.; Liu, Y.; Chen, J.; Zhu, S. Nebulized Anionic Guanidinylated O-Carboxymethyl Chitosan/N-2-Hydroxypropyltimehyl Ammonium Chloride Chitosan Nanoparticles for SiRNA Pulmonary Delivery: Preparation, Characterization and in Vitro Evaluation. J. Drug Target. 2017, 25, 451–462. [Google Scholar] [CrossRef] [PubMed]
- Tang, Y.; Liu, Y.; Xie, Y.; Chen, J.; Dou, Y. Apoptosis of A549 Cells by Small Interfering RNA Targeting Survivin Delivery Using Poly-β-Amino Ester/Guanidinylated O-Carboxymethyl Chitosan Nanoparticles. Asian J. Pharm. Sci. 2020, 15, 121–128. [Google Scholar] [CrossRef]
- Jeong, E.J.; Lee, J.; Kim, H.S.; Lee, K.Y. In Vitro Cellular Uptake and Transfection of Oligoarginine-Conjugated Glycol Chitosan/SiRNA Nanoparticles. Polymers 2021, 13, 4219. [Google Scholar] [CrossRef] [PubMed]
- Mohammadi, Z.; Eini, M.; Rastegari, A.; Tehrani, M.R. Chitosan as a Machine for Biomolecule Delivery: A Review. Carbohydr. Polym. 2021, 256, 117414. [Google Scholar] [CrossRef] [PubMed]
- Zhang, Y.; Yu, L.; Zhu, J.; Gong, R. Preparation of Folate and Carboxymethyl-β-Cyclodextrin Grafted Trimethyl Chitosan Nanoparticles as Co-Carrier of Doxorubicin and SiRNA. React. Funct. Polym. 2021, 161, 104867. [Google Scholar] [CrossRef]
- Yoo, J.; Park, C.; Yi, G.; Lee, D.; Koo, H. Active Targeting Strategies Using Biological Ligands for Nanoparticle Drug Delivery Systems. Cancers 2019, 11, 640. [Google Scholar] [CrossRef] [PubMed]
- Liang, Y.; Wang, Y.; Wang, L.; Liang, Z.; Li, D.; Xu, X.; Chen, Y.; Yang, X.; Zhang, H.; Niu, H. Self-Crosslinkable Chitosan-Hyaluronic Acid Dialdehyde Nanoparticles for CD44-Targeted SiRNA Delivery to Treat Bladder Cancer. Bioact. Mater. 2021, 6, 433–446. [Google Scholar] [CrossRef] [PubMed]
- Zhang, B.C.; Wu, P.Y.; Zou, J.J.; Jiang, J.L.; Zhao, R.R.; Luo, B.Y.; Liao, Y.Q.; Shao, J.W. Efficient CRISPR/Cas9 Gene-Chemo Synergistic Cancer Therapy via a Stimuli-Responsive Chitosan-Based Nanocomplex Elicits Anti-Tumorigenic Pathway Effect. Chem. Eng. J. 2020, 393, 124688. [Google Scholar] [CrossRef]
- Masimov, R.; Büyükköroğlu, G. HDL-Chitosan Nanoparticles for SiRNA Delivery as an SR-B1 Receptor Targeted System. Comb. Chem. High. Throughput Screen. 2023, 26, 2541. [Google Scholar] [CrossRef] [PubMed]
- Khademi, Z.; Ramezani, M.; Alibolandi, M.; Zirak, M.R.; Salmasi, Z.; Abnous, K.; Taghdisi, S.M. A Novel Dual-Targeting Delivery System for Specific Delivery of CRISPR/Cas9 Using Hyaluronic Acid, Chitosan and AS1411. Carbohydr. Polym. 2022, 292. [Google Scholar] [CrossRef] [PubMed]
- Li, K.; Qiu, Y.; Liu, X.; Huang, F. Biomimetic Nanosystems for the Synergistic Delivery of MiR-144/451a for Oral Squamous Cell Carcinoma. Balk. Med. J. 2022, 39, 178. [Google Scholar] [CrossRef] [PubMed]
- Muanprasat, C.; Chatsudthipong, V. Chitosan Oligosaccharide: Biological Activities and Potential Therapeutic Applications. Pharmacol. Ther. 2017, 170, 80–97. [Google Scholar] [CrossRef] [PubMed]
- Masjedi, A.; Ahmadi, A.; Atyabi, F.; Farhadi, S.; Irandoust, M.; Khazaei-Poul, Y.; Chaleshtari, M.G.; Fathabad, M.E.; Baghaei, M.; Haghnavaz, N.; et al. Silencing of IL-6 and STAT3 by SiRNA Loaded Hyaluronate-N,N,N-Trimethyl Chitosan Nanoparticles Potently Reduces Cancer Cell Progression. Int. J. Biol. Macromol. 2020, 149, 487–500. [Google Scholar] [CrossRef] [PubMed]
- Baghaei, M.; Tekie, F.S.M.; Khoshayand, M.R.; Varshochian, R.; Hajiramezanali, M.; Kachousangi, M.J.; Dinarvand, R.; Atyabi, F. Optimization of Chitosan-Based Polyelectrolyte Nanoparticles for Gene Delivery, Using Design of Experiment: In Vitro and in Vivo Study. Mater. Sci. Eng. C 2021, 118, 111036. [Google Scholar] [CrossRef] [PubMed]
- Chen, J.; Dou, Y.; Tang, Y.; Zhang, X. Folate Receptor-Targeted RNAi Nanoparticles for Silencing STAT3 in Tumor-Associated Macrophages and Tumor Cells. Nanomedicine 2020, 25, 102173. [Google Scholar] [CrossRef] [PubMed]
- Li, Q.; Lv, X.; Tang, C.; Yin, C. Co-Delivery of Doxorubicin and CRISPR/Cas9 or RNAi-Expressing Plasmid by Chitosan-Based Nanoparticle for Cancer Therapy. Carbohydr. Polym. 2022, 287, 119315. [Google Scholar] [CrossRef] [PubMed]
- Peng, H.; Qiao, L.; Shan, G.; Gao, M.; Zhang, R.; Yi, X.; He, X. Stepwise Responsive Carboxymethyl Chitosan-Based Nanoplatform for Effective Drug-Resistant Breast Cancer Suppression. Carbohydr. Polym. 2022, 291, 119554. [Google Scholar] [CrossRef]
- Zhang, X.; Wang, M.; Feng, J.; Qin, B.; Zhang, C.; Zhu, C.; Liu, W.; Wang, Y.; Liu, W.; Huang, L.; et al. Multifunctional Nanoparticles Co-Loaded with Adriamycin and MDR-Targeting SiRNAs for Treatment of Chemotherapy-Resistant Esophageal Cancer. J. Nanobiotechnol. 2022, 20, 166. [Google Scholar] [CrossRef]
- Bastaki, S.; Aravindhan, S.; Saheb, N.A.; Kashani, M.A.; Dorofeev, A.E.; Kiani, F.K.; Jahandideh, H.; Dargani, F.B.; Aksoun, M.; Nikkhoo, A.; et al. Codelivery of STAT3 and PD-L1 SiRNA by Hyaluronate-TAT Trimethyl/Thiolated Chitosan Nanoparticles Suppresses Cancer Progression in Tumor-Bearing Mice. Life Sci. 2021, 266, 118847. [Google Scholar] [CrossRef] [PubMed]
- Kurakula, H.; Vaishnavi, S.; Sharif, M.Y.; Ellipilli, S. Emergence of Small Interfering RNA-Based Gene Drugs for Various Diseases. ACS Omega 2023, 8, 20234–20250. [Google Scholar] [CrossRef] [PubMed]
- Hassin, O.; Oren, M. Drugging P53 in Cancer: One Protein, Many Targets. Nat. Rev. Drug Discov. 2022, 22, 127–144. [Google Scholar] [CrossRef]



| Chitosan Derivatives | Properties/Improvements |
|---|---|
| Trimethyl Chitosan (TMC) | Soluble across a wide pH range, higher positive charge that enhances cellular uptake Increased stability under physiological conditions, high transfection efficiency |
| Ch lactate (CL) | Improved solubility and stability, enhanced transfection efficiency |
| Ch hydrochloride (CHC) | Improved solubility and stability, stimuli-responsive release (pH and ultrasound) |
| PEGylated Ch | Pros: Improved stability and solubility, prolonged circulation half-life, reduced surface charge Cons: PEGylation can hinder cellular uptake and endosomal escape |
| Carboxymethyl Ch (CMC) | Improved solubility in physiological and alkaline pH, negatively charged at physiological pH, positively charged in the acidic tumor microenvironment, increased cellular uptake |
| Guanidinylated O-carboxymethyl Ch (GOCMCS) | Improved solubility, increased cellular uptake, enhanced transfection efficiency |
| Glycol Ch (GC) | Improved solubility and stability |
| Ch oligosaccharide lactate (COL) | Improved water solubility, cationic at neutral pH |
| N-2-hydroxypropyl trimethyl ammonium chloride Ch (N-2-HACC) | Improved solubility, enhanced stability |
| Thiolated Ch (TC) | Improved stability, enhanced mucoadhesive properties, favorable drug entrapment, high cellular uptake, prolonged release properties |
| Strategy | Chitosan/ Chitosan Derivative | Other Polymer/Molecule | Targeting Ligand | Cellular Uptake Enhancing Factor | Load | Cancer | Study Type | Ref. | |
|---|---|---|---|---|---|---|---|---|---|
| In Vitro | In Vivo | ||||||||
| Increased stability | TMC | CMD | - | - | siRNA, BV6 | breast, colorectal, melanoma | X | [45] | |
| TMC | ALG | - | - | siRNA | breast, colorectal, melanoma | X | [46] | ||
| Increased cellular uptake | CL | PEG | - | TAT peptide | siRNA | breast and colorectal | X | X | [56] |
| GOCMCS | PβAE | - | - | siRNA | lung adenocarcinoma | X | [69] | ||
| GC | - | - | nona-arginine | siRNA | cervical | X | [70] | ||
| Improved cell targeting | Ch | - | HAD | - | siRNA | bladder | X | X | [74] |
| Ch | - | LA | - | PTX, CRISPR/Cas9 | hepatocellular carcinoma | X | X | [75] | |
| Ch | - | AS1411- HA | - | CRISPR/Cas9 | Breast, cervical, kidney | X | [77] | ||
| Ch | - | HDL | - | Bcl-2 siRNA | liver | X | [76] | ||
| Ch | PEI-HBA (pH sensitive) | GA | - | DOX, siRNA | hepatocellular carcinoma | X | X | [26] | |
| Ch | MEXO | - | - | miRNA | oral squamous carcinoma | X | [78] | ||
| Facilitating endosomal escape | Ch | alkylamines (PA-CS, DEAPA-CS, DMAPAPA-CS) | - | - | p53 plasmid | lung | X | X | [24] |
| Increased stability and improved targeting | Ch | PLA-PEG | FA | - | DNA | breast | X | [59] | |
| CL | PEG | HA | - | siRNA, BV6 | breast, colon | X | X | [58] | |
| COL | PEG | FA | - | siRNA | glioblastoma | X | [60] | ||
| TMC | - | HA | - | hSET1 antisense | breast | X | X | [81] | |
| TMC | - | HA | - | siRNA | Breast, colorectal, melanoma | X | [80] | ||
| CMC/N-2-HACC | - | FA | - | siRNA | lung | X | X | [82] | |
| TMC | CMCD | FA | - | DOX, siRNA | lung adenocarcinoma | X | [72] | ||
| TMC | DPA (pH sensitive) | FA | - | DOX, CRISPR/Cas9 pDNA or shRNA | Breast | X | X | [83] | |
| CHC/CMC (pH sensitive + ultrasound) | - | - | pDNA siRNA | colorectal | X | [27] | |||
| Targeting & enhanced endosomal escape | CMC | OEI | GHA/AHA | - | DOX/siRNA | breast (MDR) | X | X | [84] |
| CMC | histidine | EGFR | - | Adriamycin/siRNA | esophageal squamous | X | X | [85] | |
| Increased stability, improved targeting & enhanced cellular uptake | CL | - | HA | TAT peptide | DOX, siRNA | colorectal, breast | X | X | [64] |
| TMC/TC | - | HA | TAT peptide | siRNA | breast, melanoma | X | X | [86] | |
Disclaimer/Publisher’s Note: The statements, opinions and data contained in all publications are solely those of the individual author(s) and contributor(s) and not of MDPI and/or the editor(s). MDPI and/or the editor(s) disclaim responsibility for any injury to people or property resulting from any ideas, methods, instructions or products referred to in the content. |
© 2024 by the authors. Licensee MDPI, Basel, Switzerland. This article is an open access article distributed under the terms and conditions of the Creative Commons Attribution (CC BY) license (https://creativecommons.org/licenses/by/4.0/).
Share and Cite
Antoniou, V.; Mourelatou, E.A.; Galatou, E.; Avgoustakis, K.; Hatziantoniou, S. Gene Therapy with Chitosan Nanoparticles: Modern Formulation Strategies for Enhancing Cancer Cell Transfection. Pharmaceutics 2024, 16, 868. https://doi.org/10.3390/pharmaceutics16070868
Antoniou V, Mourelatou EA, Galatou E, Avgoustakis K, Hatziantoniou S. Gene Therapy with Chitosan Nanoparticles: Modern Formulation Strategies for Enhancing Cancer Cell Transfection. Pharmaceutics. 2024; 16(7):868. https://doi.org/10.3390/pharmaceutics16070868
Chicago/Turabian StyleAntoniou, Varvara, Elena A. Mourelatou, Eleftheria Galatou, Konstantinos Avgoustakis, and Sophia Hatziantoniou. 2024. "Gene Therapy with Chitosan Nanoparticles: Modern Formulation Strategies for Enhancing Cancer Cell Transfection" Pharmaceutics 16, no. 7: 868. https://doi.org/10.3390/pharmaceutics16070868
APA StyleAntoniou, V., Mourelatou, E. A., Galatou, E., Avgoustakis, K., & Hatziantoniou, S. (2024). Gene Therapy with Chitosan Nanoparticles: Modern Formulation Strategies for Enhancing Cancer Cell Transfection. Pharmaceutics, 16(7), 868. https://doi.org/10.3390/pharmaceutics16070868

