From Nature to Healing: Development and Evaluation of Topical Cream Loaded with Pine Tar for Cutaneous Wound Repair
Abstract
1. Introduction
2. Materials and Methods
2.1. Chemicals
2.2. Pine Tar Production
2.3. Chemical Composition of Pine Tar
2.4. Preparation of Cream Base and Pine Tar Formulation
2.5. Physical Evaluation of Topical Formulations
2.5.1. Organoleptic Characteristics
2.5.2. pH Values
2.5.3. Electrical Conductivity Values
2.5.4. Centrifugation Test
2.5.5. Rheological Characterization of Cream Formulations
2.5.6. Assessment of Long-Term Stability of the Pine Tar-Loaded Formulations
2.6. In Vivo Investigation
2.6.1. Ethical Statement
2.6.2. Acute Dermal Irritation of Cream Formulations
2.6.3. Wound Healing Capacity
- (1)
- NC (negative control, untreated group);
- (2)
- PC (positive control, wounds treated with 1% silver sulfadiazine);
- (3)
- CB (wounds treated with cream base);
- (4)
- PTC (wounds treated with 1% pine tar cream).
Wound Contraction Estimation
Hydroxyproline Content Estimation
Determination of Pro-Oxidative and Antioxidant Defense System Markers
2.7. Histology of Wound Tissue Samples
2.8. Statistics
3. Results and Discussion
3.1. Chemical Composition of Pine Tar
3.2. Physicochemical Characterization of Pine Tar-Based Formulation
3.2.1. Organoleptic Characteristics and Physical Appearance
3.2.2. pH Values and Electrical Conductivity
3.2.3. Centrifugation Test
3.2.4. Rheological Characteristics of the Formulations
3.2.5. Microbiological Stability Test
3.3. In Vivo Investigation on Animal Model
3.3.1. Acute Dermal Irritation of Topical Formulations
3.3.2. Measurement of Wound Contraction
3.3.3. Evaluation of Hydroxyproline Content
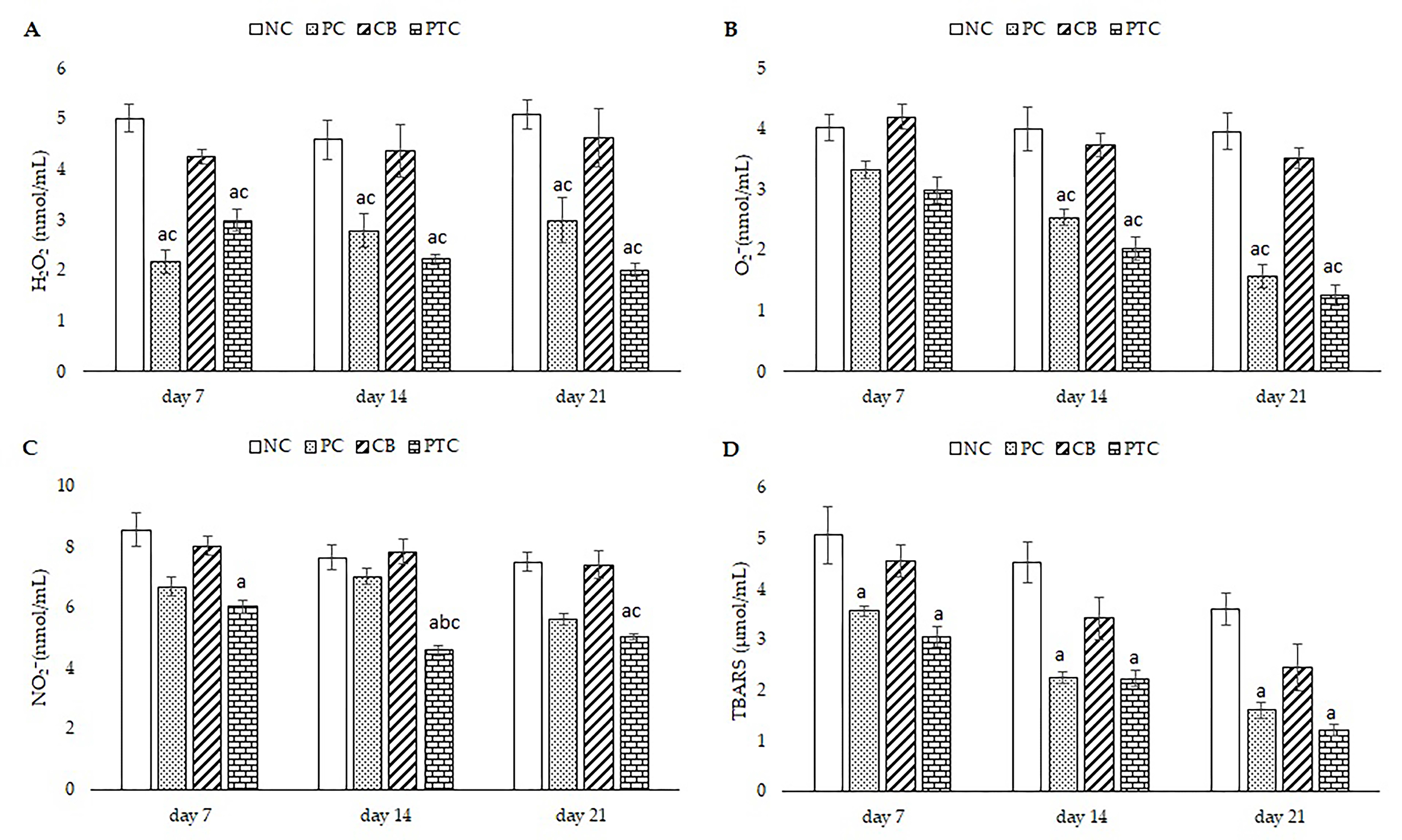
3.3.4. Systemic Redox Status Markers
3.3.5. Histologic Analysis
4. Conclusions
- Phytochemical profiling of pine tar revealed the presence of both phenols and terpene compounds, with the most dominant being methyl dehydroabietate, dehydroabietic acid, and reten.
- Physical, chemical, microbiological, and analyses of pine tar cream demonstrated its stability during storage for six months under various temperature conditions. Rheological measurements for pine tar cream suggest easy application, spreadability, and sustained adherence to the skin. These properties are essential for bringing the product to market.
- PTC is safe for skin application since there were no signs of dermal irritation in rats.
- Cream containing 1% pine tar exhibited a notable wound-healing efficacy. The effectiveness was confirmed by a reduction in wound area, enhanced hydroxyproline content, and decreased systemic markers of oxidative stress and histologic analysis.
Author Contributions
Funding
Institutional Review Board Statement
Informed Consent Statement
Data Availability Statement
Acknowledgments
Conflicts of Interest
References
- Nussbaum, S.R.; Carter, M.J.; Fife, C.E.; DaVanzo, J.; Haught, R.; Nusgart, M.; Cartwright, D. An Economic Evaluation of the Impact, Cost, and Medicare Policy Implications of Chronic Non-healing Wounds. Value Health 2018, 21, 27–32. [Google Scholar] [CrossRef]
- Su, J.; Li, J.; Liang, J.; Zhang, K.; Li, J. Hydrogel Preparation Methods and Biomaterials for Wound Dressing. Life 2021, 11, 1016. [Google Scholar] [CrossRef]
- Fallah, N.; Rasouli, M.; Amini, M.R. The current and advanced therapeutic modalities for wound healing management. J. Diabetes Metab. Disord. 2021, 20, 1883–1899. [Google Scholar] [CrossRef] [PubMed]
- Tottoli, E.M.; Dorati, R.; Genta, I.; Chiesa, E.; Pisani, S.; Conti, B. Skin Wound Healing Process and New Emerging Technologies for Skin Wound Care and Regeneration. Pharmaceutics 2020, 12, 735. [Google Scholar] [CrossRef] [PubMed]
- Polianciuc, S.I.; Gurzău, A.E.; Kiss, B.; Ştefan, M.G.; Loghin, F. Antibiotics in the environment: Causes and consequences. Med. Pharm. Rep. 2020, 93, 231–240. [Google Scholar] [CrossRef] [PubMed]
- Oluwole, D.O.; Coleman, L.; Buchanan, W.; Chen, T.; La Ragione, R.M.; Liu, L.X. Antibiotics-Free Compounds for Chronic Wound Healing. Pharmaceutics 2022, 14, 1021. [Google Scholar] [CrossRef]
- Brumberg, V.; Astrelina, T.; Malivanova, T.; Samoilov, A. Modern Wound Dressings: Hydrogel Dressings. Biomedicines 2021, 9, 1235. [Google Scholar] [CrossRef]
- Sharma, A.; Dheer, D.; Singh, I.; Puri, V.; Kumar, P. Phytoconstituent-Loaded Nanofibrous Meshes as Wound Dressings: A Concise Review. Pharmaceutics 2023, 15, 1058. [Google Scholar] [CrossRef]
- Marchianti, A.C.N.; Sakinah, E.N.; Elfiah, U.; Putri, N.K.S.; Wahyuliswari, D.I.; Maulana, M.; Ulfa, E.U. Gel formulations of Merremia mammosa (Lour.) accelerated wound healing of the wound in diabetic rats. J. Tradit. Complement. Med. 2018, 11, 38–45. [Google Scholar] [CrossRef]
- Nikolic, M.; Andjic, M.; Bradic, J.; Kocovic, A.; Tomovic, M.; Samanovic, A.M.; Jakovljevic, V.; Veselinovic, M.; Capo, I.; Krstonosic, V.; et al. Topical Application of Siberian Pine Essential Oil Formulations Enhance Diabetic Wound Healing. Pharmaceutics 2023, 15, 2437. [Google Scholar] [CrossRef]
- Süntar, I.; Tumen, I.; Ustün, O.; Keleş, H.; Akkol, E.K. Appraisal on the wound healing and anti-inflammatory activities of the essential oils obtained from the cones and needles of Pinus species by in vivo and in vitro experimental models. J. Ethnopharmacol. 2012, 139, 533–540. [Google Scholar] [CrossRef] [PubMed]
- Tümen, İ.; Akkol, E.K.; Taştan, H.; Süntar, I.; Kurtca, M. Research on the antioxidant, wound healing, and anti-inflammatory activities and the phytochemical composition of maritime pine (Pinus pinaster Ait). J. Ethnopharmacol. 2018, 211, 235–246. [Google Scholar] [CrossRef] [PubMed]
- Secim-Karakaya, P.; Saglam-Metiner, P.; Yesil-Celiktas, O. Antimicrobial and wound healing properties of cotton fabrics functionalized with oil-in-water emulsions containing Pinus brutia bark extract and Pycnogenol® for biomedical applications. Cytotechnology 2021, 73, 423–431. [Google Scholar] [CrossRef] [PubMed]
- Barnes, T.M.; Greive, K.A. Topical pine tar: History, properties and use as a treatment for common skin conditions. Australas. J. Dermatol. 2017, 58, 80–85. [Google Scholar] [CrossRef] [PubMed]
- Alqahtani, E.A.; Elagib, M.F.A.; Al-Yami, R.H.; Abu Hatlah, A.S.; Faragalla, A.I.; Reddy, R. Evaluation of Antibacterial Activity of Pine Tar on Periodontal Pathogenic Bacteria: An In Vitro Study. Ethiop. J. Health Sci. 2020, 30, 991–998. [Google Scholar] [CrossRef]
- Harrison, I.P.; Spada, F. Breaking the Itch-Scratch Cycle: Topical Options for the Management of Chronic Cutaneous Itch in Atopic Dermatitis. Medicines 2019, 6, 76. [Google Scholar] [CrossRef] [PubMed]
- Hon, K.L.; Ng, W.G.G.; Kung, J.S.C.; Leung, P.C.; Leung, T.F. Pilot Studies on Two Complementary Bath Products for Atopic Dermatitis Children: Pine-Tar and Tea. Medicines 2019, 6, 8. [Google Scholar] [CrossRef] [PubMed]
- Ng, W.G.G.; Hon, K.L.; Kung, J.S.C.; Cheng, N.S.; Koh, M.J.; Huang, H.; Lee, V.W.Y.; Leung, T.F. Effect of pine-tar bath on disease severity in moderate-to-severe childhood eczema: An investigator-blinded, crossover, randomized clinical trial. J. Dermatol. Treat. 2022, 33, 157–165. [Google Scholar] [CrossRef] [PubMed]
- Tintner, J.; Leibrecht, F.; Pfeifer, C.; Konuk, M.; Srebotnik, E.; Woitsch, J. Pitch oil production–An intangible cultural heritage in Central Europe. J. Anal. Appl. Pyrolysis 2021, 159, 105309. [Google Scholar] [CrossRef]
- Chen, M.X.; Alexander, K.S.; Baki, G. Formulation and Evaluation of Antibacterial Creams and Gels Containing Metal Ions for Topical Application. J. Pharm. 2016, 2016, 5754349. [Google Scholar] [CrossRef]
- Ma, B.; Yuan, J.; Chen, S.; Huang, K.; Wang, Q.; Ma, J.; Lin, R.; Zhang, L.; Zhou, Y.; Wang, T.; et al. Topical application of temperature-sensitive caerin 1.1 and 1.9 gel inhibits TC-1 tumor growth in mice. Am. J. Transl. Res. 2020, 12, 191–202. [Google Scholar] [PubMed]
- Nikolic, I.; Jasmin Lunter, D.; Randjelovic, D.; Zugic, A.; Tadic, V.; Markovic, B.; Cekic, N.; Zivkovic, L.; Topalovic, D.; Spremo-Potparevic, B.; et al. Curcumin-loaded low-energy nanoemulsions as a prototype of multifunctional vehicles for different administration routes: Physicochemical and in vitro peculiarities important for dermal application. Int. J. Pharm. 2018, 550, 333–346. [Google Scholar] [CrossRef]
- Stolić Jovanović, A.; Martinović, M.; Žugić, A.; Nešić, I.; Tosti, T.; Blagojević, S.; Tadić, V.M. Derivatives of L-Ascorbic Acid in Emulgel: Development and Comprehensive Evaluation of the Topical Delivery System. Pharmaceutics 2023, 15, 813. [Google Scholar] [CrossRef] [PubMed]
- Korhonen, M.; Hellen, L.; Hirvonen, J.; Yliruusi, J. Determination of optimal combination of surfactants in creams using rheology measurements. Int. J. Pharm. 2005, 197, 143–151. [Google Scholar] [CrossRef]
- Dragicevic, N.; Krajisnik, D.; Milic, J.; Fahr, A.; Maibach, H. Development of hydrophilic gels containing coenzyme Q10-loaded liposomes: Characterization, stability and rheology measurements. Drug Dev. Ind. Pharm. 2019, 45, 43–54. [Google Scholar] [CrossRef]
- SRPS-EN ISO 21149:2017; Cosmetics—Microbiology—Counting and Detection of Mesophilic Aerobic Bacteria. ISO: Geneva, Switzerland, 2017.
- SRPS-EN ISO 16212:2017; Cosmetics—Microbiology—Determination of Yeast and Mold Counts. ISO: Geneva, Switzerland, 2017.
- SRPS-EN ISO 18416:2016; Cosmetics—Microbiology—Detection of Candida albicans. ISO: Geneva, Switzerland, 2016.
- SRPS-EN ISO 21150:2016; Cosmetics—Microbiology—Detection of Escherichia coli. ISO: Geneva, Switzerland, 2016.
- SRPS-EN ISO 22717:2016; Cosmetics—Microbiology—Detection of the Presence of Pseudomonas aeruginosa. ISO: Geneva, Switzerland, 2016.
- SRPS-EN ISO 22718-2016; Cosmetics—Microbiology—Detection of Staphylococcus aureus. ISO: Geneva, Switzerland, 2016.
- Jairoun, A.A.; Al-Hemyari, S.S.; Shahwan, M.; Zyoud, S.H. An Investigation into Incidences of Microbial Contamination in Cosmeceuticals in the UAE: Imbalances between Preservation and Microbial Contamination. Cosmetics 2020, 7, 92. [Google Scholar] [CrossRef]
- Akinlade, O.M.; Owoyele, B.V.; Soladoye, A.O. Streptozotocin-induced type 1 and 2 diabetes in rodents: A model for studying diabetic cardiac autonomic neuropathy. Afr. Health Sci. 2021, 21, 719–727. [Google Scholar] [CrossRef]
- Yu, C.; Xu, Z.X.; Hao, Y.H.; Gao, Y.B.; Yao, B.W.; Zhang, J.; Wang, B.; Hu, Z.Q.; Peng, R.Y. A novel microcurrent dressing for wound healing in a rat skin defect model. Mil. Med. Res. 2019, 6, 22. [Google Scholar] [CrossRef]
- Karas, R.A.; Alexeree, S.; Elsayed, H.; Attia, Y.A. Assessment of wound healing activity in diabetic mice treated with a novel therapeutic combination of selenium nanoparticles and platelets rich plasma. Sci. Rep. 2024, 14, 5346. [Google Scholar] [CrossRef] [PubMed]
- Inger, M.E.; John, A.B.A.; Ann, K.H.; Elsa, L. Characterisation of traditionally kiln produced pine tar by gas chromatography-mass spectrometry. J. Anal. Appl. Pyrolysis 2002, 62, 143–155. [Google Scholar]
- Franco-Gil, M.E.; Graça, A.; Martins, A.; Marto, J.; Ribeiro, H.M. Emollients in dermatological creams: Early evaluation for tailoring formulation and therapeutic performance. Int. J. Pharm. 2024, 653, 123825. [Google Scholar] [CrossRef]
- Xu, S.; Kwa, M.; Lohman, M.E.; Evers-Meltzer, R.; Silverberg, J.I. Consumer Preferences, Product Characteristics, and Potentially Allergenic Ingredients in Best-selling Moisturizers. JAMA Dermatol. 2017, 153, 1099–1105. [Google Scholar] [CrossRef]
- Lukić, M.; Pantelić, I.; Savić, S.D. Towards Optimal pH of the Skin and Topical Formulations: From the Current State of the Art to Tailored Products. Cosmetics 2021, 8, 69. [Google Scholar] [CrossRef]
- Buraczewska, I.; Lodén, M. Treatment of surfactant-damaged skin in humans with creams of different pH values. Pharmacology 2005, 73, 1–7. [Google Scholar] [CrossRef]
- Kulawik-Pióro, A.; Miastkowska, M. Polymeric Gels and Their Application in the Treatment of Psoriasis Vulgaris: A Review. Int. J. Mol. Sci. 2021, 22, 5124. [Google Scholar] [CrossRef] [PubMed]
- Galvina, P.; Clara, F.; Vivek, D.; Vaishali, D. Preparation and development of nanoemulsion for skin moisturizing. In Nanotechnology for the Preparation of Cosmetics Using Plant-Based Extracts; Elsevier: Amsterdam, The Netherlands, 2022; pp. 27–47. [Google Scholar]
- Filipovic, M.; Lukic, M.; Djordjevic, S.; Krstonosic, V.; Pantelic, I.; Vuleta, G.; Savic, S. Towards satisfying performance of an O/W cosmetic emulsion: Screening of reformulation factors on textural and rheological properties using general experimental design. Int. J. Cosmet. Sci. 2017, 39, 486–499. [Google Scholar] [CrossRef] [PubMed]
- Kovács, A.; Péter-Héderi, D.; Perei, K.; Budai-Szűcs, M.; Léber, A.; Gácsi, A.; Csányi, E.; Berkó, S. Effects of Formulation Excipients on Skin Barrier Function in Creams Used in Pediatric Care. Pharmaceutics 2020, 12, 729. [Google Scholar] [CrossRef] [PubMed]
- Almukainzi, M.; Alotaibi, L.; Abdulwahab, A.; Albukhary, N.; El Mahdy, A.M. Quality and safety investigation of commonly used topical cosmetic preparations. Sci. Rep. 2022, 12, 18299. [Google Scholar] [CrossRef]
- Burčová, Z.; Kreps, F.; Greifová, M.; Jablonský, M.; Ház, A.; Schmidt, Š.; Šurina, I. Antibacterial and antifungal activity of phytosterols and methyl dehydroabietate of Norway spruce bark extracts. J. Biotechnol. 2018, 282, 18–24. [Google Scholar] [CrossRef] [PubMed]
- Park, J.Y.; Lee, Y.K.; Lee, D.S.; Yoo, J.E.; Shin, M.S.; Yamabe, N.; Kim, S.N.; Lee, S.; Kim, K.H.; Lee, H.J.; et al. Abietic acid isolated from pine resin (Resina Pini) enhances angiogenesis in HUVECs and accelerates cutaneous wound healing in mice. J. Ethnopharmacol. 2017, 203, 279–287. [Google Scholar] [CrossRef]
- Mirgorodskaya, A.; Kushnazarova, R.; Pavlov, R.; Valeeva, F.; Lenina, O.; Bushmeleva, K.; Kuryashov, D.; Vyshtakalyuk, A.; Gaynanova, G.; Petrov, K.; et al. Supramolecular Tools to Improve Wound Healing and Antioxidant Properties of Abietic Acid: Biocompatible Microemulsions and Emulgels. Molecules 2022, 27, 6447. [Google Scholar] [CrossRef] [PubMed]
- Helfenstein, A.; Vahermo, M.; Nawrot, D.A.; Demirci, F.; İşcan, G.; Krogerus, S.; Yli-Kauhaluoma, J.; Moreira, V.M.; Tammela, P. Antibacterial profiling of abietane-type diterpenoids. Bioorganic Med. Chem. 2017, 25, 132–137. [Google Scholar] [CrossRef] [PubMed]
- Hao, M.; Xu, J.; Wen, H.; Du, J.; Zhang, S.; Lv, M.; Xu, H. Recent Advances on Biological Activities and Structural Modifications of Dehydroabietic Acid. Toxins 2022, 14, 632. [Google Scholar] [CrossRef] [PubMed]
- Kim, E.; Kang, Y.G.; Kim, Y.J.; Lee, T.R.; Yoo, B.C.; Jo, M.; Kim, J.H.; Kim, J.H.; Kim, D.; Cho, J.Y. Dehydroabietic Acid Suppresses Inflammatory Response Via Suppression of Src-, Syk-, and TAK1-Mediated Pathways. Int. J. Mol. Sci. 2019, 20, 1593. [Google Scholar] [CrossRef] [PubMed]
- Criollo-Mendoza, M.S.; Contreras-Angulo, L.A.; Leyva-López, N.; Gutiérrez-Grijalva, E.P.; Jiménez-Ortega, L.A.; Heredia, J.B. Wound Healing Properties of Natural Products: Mechanisms of Action. Molecules 2023, 28, 598. [Google Scholar] [CrossRef] [PubMed]
- Mathew-Steiner, S.S.; Roy, S.; Sen, C.K. Collagen in Wound Healing. Bioengineering 2021, 8, 63. [Google Scholar] [CrossRef] [PubMed]
- Akhtari, N.; Ahmadi, M.; Kiani Doust Vaghe, Y.; Asadian, E.; Behzad, S.; Vatanpour, H.; Ghorbani-Bidkorpeh, F. Natural agents as wound-healing promoters. Inflammopharmacology 2024, 32, 101–125. [Google Scholar] [CrossRef] [PubMed]
- Wu, L.; Shao, H.; Fang, Z.; Zhao, Y.; Cao, C.Y.; Li, Q. Mechanism and Effects of Polyphenol Derivatives for Modifying Collagen. ACS Biomater. Sci. Eng. 2019, 5, 4272–4284. [Google Scholar] [CrossRef] [PubMed]
- Wang, G.; Yang, F.; Zhou, W.; Xiao, N.; Luo, M.; Tang, Z. The initiation of oxidative stress and therapeutic strategies in wound healing. Biomed. Pharmacother. 2023, 157, 114004. [Google Scholar] [CrossRef]
- Kim, T.; Song, B.; Cho, K.S.; Lee, I.S. Therapeutic Potential of Volatile Terpenes and Terpenoids from Forests for Inflammatory Diseases. Int. J. Mol. Sci. 2020, 21, 2187. [Google Scholar] [CrossRef]
- Nisar, M.F.; Khadim, M.; Rafiq, M.; Chen, J.; Yang, Y.; Wan, C.C. Pharmacological Properties and Health Benefits of Eugenol: A Comprehensive Review. Oxidative Med. Cell. Longev. 2021, 2021, 2497354. [Google Scholar] [CrossRef] [PubMed]









| Ingredient | CB (%) * | PTC (%) * |
|---|---|---|
| stearic acid | 10.00 | 10.00 |
| cetyl alcohol | 2.00 | 2.00 |
| cetearyl alcohol | 2.00 | 2.00 |
| polysorbate 80 | 2.00 | 2.00 |
| sweet almond oil | 4.00 | 4.00 |
| glycerin | 3.00 | 3.00 |
| phenoxyethanol | 0.80 | 0.80 |
| TEA 10% * | q.s. | q.s. |
| citric acid | q.s. | q.s. |
| PT * | / | 1.00 |
| distilled water | ad 100 | ad 100 |
| Peak No | Compound | RT (min) * | % |
|---|---|---|---|
| 1 | Eugenol, TMS derivative | 15.296 | 0.58 |
| 2 | Methyl alpha-D-glucofuranoside,4TMS derivative | 16.646 | 0.60 |
| 3 | Levoglucosan, 3TMS derivative | 18.069 | 1.44 |
| 4 | Pimara-8(14),15-dien-18-al | 22.411 | 0.42 |
| 5 | 2-Methylanthracene | 22.729 | 0.35 |
| 6 | 4b,8-Dimethyl-2-isopropylphenanthrene, 4b,5,6,7,8,8a,9,10-octahydro- | 23.803 | 1.98 |
| 7 | Phyllocladene | 24.112 | 0.83 |
| 8 | 18-Norabieta-8,11,13-triene | 24.499 | 3.50 |
| 9 | 9,9-Dimethyl-9-sila-9,10-dihydrophenanthrene | 24.829 | 0.43 |
| 10 | Phenanthrene, 3,6-dimethyl- | 24.996 | 2.01 |
| 11 | Podocarpa-6,8,11,13-tetraen-15-oic acid, 13-isopropyl-, methyl ester | 25.225 | 1.48 |
| 12 | Podocarpa-8,11,13-trien-15-oic acid, methyl ester | 26.007 | 0.78 |
| 13 | Phenanthrene, 2,3,5-trimethyl- | 26.901 | 1.72 |
| 14 | Pimaral | 27.236 | 4.71 |
| 15 | Podocarpa-8,11,13-triene, 13-isopropyl- | 27.603 | 0.71 |
| 16 | Podocarp-8-en-15-oic acid, 13α-methyl-13-vinyl-, methyl ester | 27.734 | 0.42 |
| 17 | 4-Epidehydroabietol | 27.81 | 0.76 |
| 18 | Reten (Phenanthrene, 7-isopropyl-1-methyl-) | 28.02 | 10.08 |
| 19 | Isopimaral | 28.189 | 6.18 |
| 20 | Methyl sandaracopimarate | 28.408 | 0.82 |
| 21 | 1-Phenanthrenemethanol, 1,2,3,4,4a,4b,5,6,10,10a-decahydro-1,4a-dimethyl-7-(1-methylethyl)-, acetate, [1S-(1α,4aα,4bβ,10aβ)]- | 28.559 | 0.89 |
| 22 | Isopimaric acid, TMS | 28.657 | 1.29 |
| 23 | Dehydroabietal | 28.937 | 0.44 |
| 24 | benzene, 1,1′-(1,2-ethynediyl)bis [2,4-dimethoxy- | 29.214 | 2.97 |
| 25 | Methyl isopimarate | 29.396 | 0.45 |
| 26 | Pimaric acid, TMS derivative | 29.534 | 3.59 |
| 27 | Abietal | 29.617 | 0.91 |
| 28 | 8-Isopropyl-1,3-dimethylphenanthrene | 29.695 | 2.29 |
| 29 | Methyl dehydroabietate | 30.1 | 22.44 |
| 30 | Dehydroabietic acid, TMS derivative | 30.856 | 14.59 |
| 31 | Abietic acid, TMS derivative | 31.314 | 4.23 |
| 32 | 7-Oxodehydroabietic acid, methyl ester | 33.761 | 0.88 |
| Total % of identified compounds | 95.50 | ||
| Parameters | CB * | PTC * | |||||
|---|---|---|---|---|---|---|---|
| 24 h | 90 Days | 180 Days | 24 h | 90 Days | 180 Days | ||
| color | 4 ± 2 °C | white | white | white | brown | brown | brown |
| 25 ± 2 °C | white | white | white | brown | brown | brown | |
| 40 ± 2 °C | white | white | white | brown | brown | brown | |
| odor | 4 ± 2 °C | no | no | no | yes | yes | yes |
| 25 ± 2 °C | no | no | no | yes | yes | yes | |
| 40 ± 2 °C | no | no | no | yes | yes | yes | |
| homogeneity | 4 ± 2 °C | NPS | NPS | NPS | NPS | NPS | NPS |
| 25 ± 2 °C | NPS | NPS | NPS | NPS | NPS | NPS | |
| 40 ± 2 °C | NPS | NPS | NPS | NPS | NPS | NPS | |
| consistency | 4 ± 2 °C | semi-solid | semi-solid | semi-solid | semi-solid | semi-solid | semi-solid |
| 25 ± 2 °C | semi-solid | semi-solid | semi-solid | semi-solid | semi-solid | semi-solid | |
| 40 ± 2 °C | semi-solid | semi-solid | semi-solid | semi-solid | semi-solid | semi-solid | |
| Parameters | CB * | PTC * | |||||
|---|---|---|---|---|---|---|---|
| 24 h | 90 Days | 180 Days | 24 h | 90 Days | 180 Days | ||
| pH | 4 ± 2 °C | 5.58 ± 0.05 | 5.44 ± 0.08 | 5.26 ± 0.04 | 6.05 ± 0.01 | 6.01 ± 0.04 | 5.92 ± 0.07 |
| 25 ± 2 °C | 5.60 ± 0.07 | 5.57 ± 0.06 | 5.45 ± 0.07 | 6.16 ± 0.04 | 5.94 ± 0.01 | 5.89 ± 0.05 | |
| 40 ± 2 °C | 5.72 ± 0.03 | 5.68 ± 0.02 | 5.51 ± 0.06 | 6.72 ± 0.03 | 6.59 ± 0.02 | 6.41 ± 0.04 | |
| electrical conductivity (µS/cm) | 4 ± 2 °C | 71.10 ± 0.05 | 67.60 ± 0.10 | 66.30 ± 0.14 | 72.70 ± 0.07 | 70.70 ± 0.04 | 68.90 ± 0.02 |
| 25 ± 2 °C | 75.80 ± 0.08 | 64.50 ± 0.17 | 62.10 ± 0.09 | 74.30 ± 0.03 | 72.10 ± 0.05 | 67.20 ± 0.04 | |
| 40 ± 2 °C | 77.60 ± 0.02 | 69.20 ± 0.13 | 60.20 ± 0.07 | 79.10 ± 0.01 | 71.60 ± 0.04 | 69.70 ± 0.08 | |
Disclaimer/Publisher’s Note: The statements, opinions and data contained in all publications are solely those of the individual author(s) and contributor(s) and not of MDPI and/or the editor(s). MDPI and/or the editor(s) disclaim responsibility for any injury to people or property resulting from any ideas, methods, instructions or products referred to in the content. |
© 2024 by the authors. Licensee MDPI, Basel, Switzerland. This article is an open access article distributed under the terms and conditions of the Creative Commons Attribution (CC BY) license (https://creativecommons.org/licenses/by/4.0/).
Share and Cite
Petrovic, B.; Petrovic, A.; Bijelic, K.; Stanisic, D.; Mitrovic, S.; Jakovljevic, V.; Bolevich, S.; Glisovic Jovanovic, I.; Bradic, J. From Nature to Healing: Development and Evaluation of Topical Cream Loaded with Pine Tar for Cutaneous Wound Repair. Pharmaceutics 2024, 16, 859. https://doi.org/10.3390/pharmaceutics16070859
Petrovic B, Petrovic A, Bijelic K, Stanisic D, Mitrovic S, Jakovljevic V, Bolevich S, Glisovic Jovanovic I, Bradic J. From Nature to Healing: Development and Evaluation of Topical Cream Loaded with Pine Tar for Cutaneous Wound Repair. Pharmaceutics. 2024; 16(7):859. https://doi.org/10.3390/pharmaceutics16070859
Chicago/Turabian StylePetrovic, Branislav, Anica Petrovic, Katarina Bijelic, Dragana Stanisic, Slobodanka Mitrovic, Vladimir Jakovljevic, Sergej Bolevich, Ivana Glisovic Jovanovic, and Jovana Bradic. 2024. "From Nature to Healing: Development and Evaluation of Topical Cream Loaded with Pine Tar for Cutaneous Wound Repair" Pharmaceutics 16, no. 7: 859. https://doi.org/10.3390/pharmaceutics16070859
APA StylePetrovic, B., Petrovic, A., Bijelic, K., Stanisic, D., Mitrovic, S., Jakovljevic, V., Bolevich, S., Glisovic Jovanovic, I., & Bradic, J. (2024). From Nature to Healing: Development and Evaluation of Topical Cream Loaded with Pine Tar for Cutaneous Wound Repair. Pharmaceutics, 16(7), 859. https://doi.org/10.3390/pharmaceutics16070859

