Sweeteners Show a Plasticizing Effect on PVP K30—A Solution for the Hot-Melt Extrusion of Fixed-Dose Amorphous Curcumin-Hesperetin Solid Dispersions
Abstract
1. Introduction
2. Materials and Methods
2.1. Materials
2.2. Methods
2.2.1. Preparation of Polymer–Plasticizer Mixtures
2.2.2. Preparation of Hot-Melt Extruded Systems
2.2.3. X-ray Powder Diffraction (XRPD)
2.2.4. Differential Scanning Calorimetry (DSC)
2.2.5. Fourier-Transform Infrared Spectroscopy (FTIR-ATR)
2.2.6. Physical Stability
2.2.7. High-Performance Liquid Chromatography (HPLC) Analysis
2.2.8. Preparation of Media for Solubility Studies and Dissolution
2.2.9. Solubility Studies
2.2.10. Dissolution Studies
2.2.11. Permeability Studies
2.2.12. Statistical Analysis
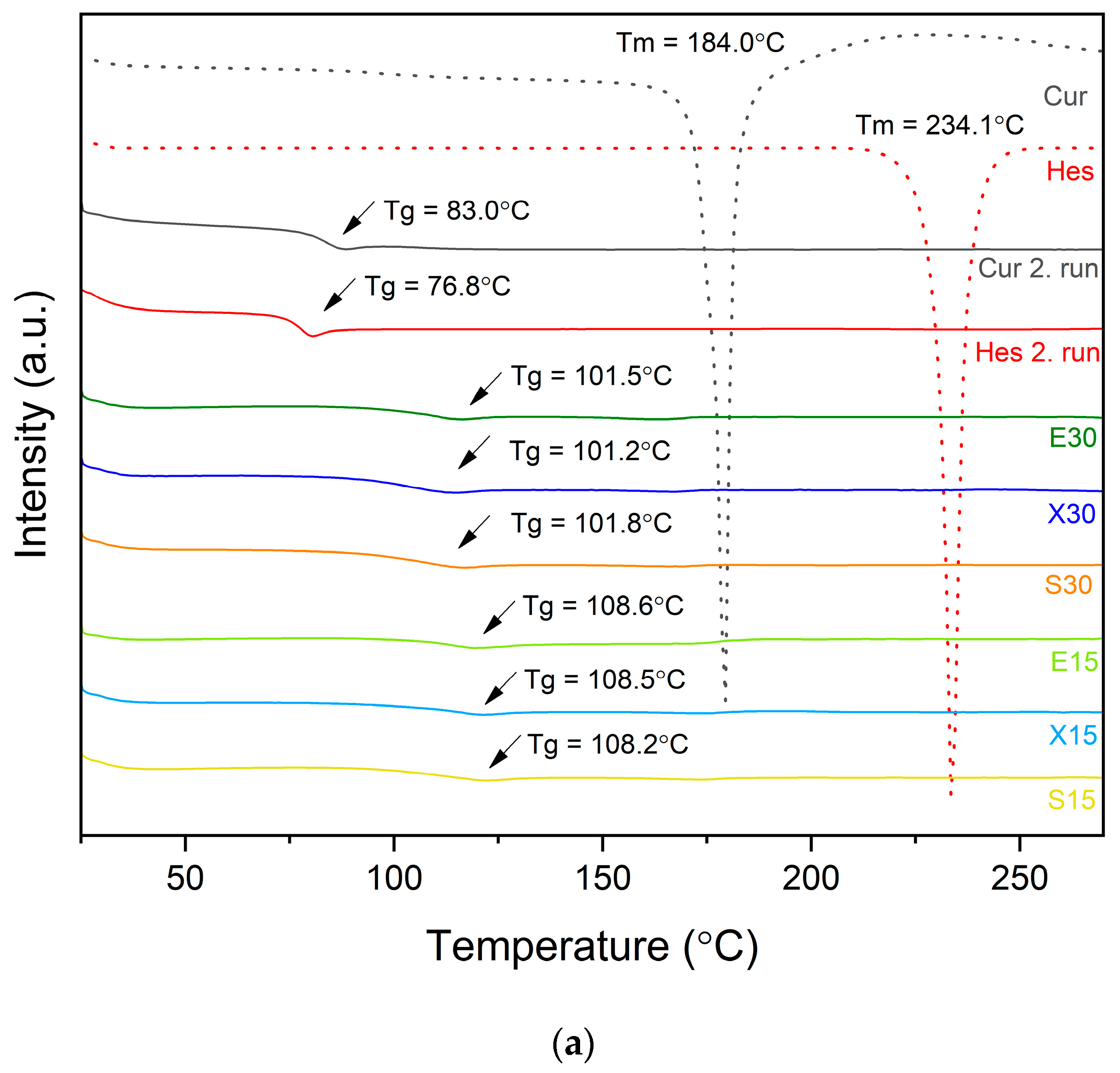
3. Results and Discussion
4. Conclusions
Supplementary Materials
Author Contributions
Funding
Institutional Review Board Statement
Informed Consent Statement
Data Availability Statement
Conflicts of Interest
References
- Mantzorou, M.; Pavlidou, E.; Vasios, G.; Tsagalioti, E.; Giaginis, C. Effects of curcumin consumption on human chronic diseases: A narrative review of the most recent clinical data. Phyther. Res. 2018, 32, 957–975. [Google Scholar] [CrossRef]
- Kunnumakkara, A.B.; Bordoloi, D.; Padmavathi, G.; Monisha, J.; Roy, N.K.; Prasad, S.; Aggarwal, B.B. Curcumin, the golden nutraceutical: Multitargeting for multiple chronic diseases. Br. J. Pharmacol. 2017, 174, 1325–1348. [Google Scholar] [CrossRef]
- Urošević, M.; Nikolić, L.; Gajić, I.; Nikolić, V.; Dinić, A.; Miljković, V. Curcumin: Biological activities and modern pharmaceutical forms. Antibiotics 2022, 11, 135. [Google Scholar] [CrossRef]
- Subedi, L.; Gaire, B.P. Neuroprotective effects of curcumin in cerebral ischemia: Cellular and molecular mechanisms. ACS Chem. Neurosci. 2021, 12, 2562–2572. [Google Scholar] [CrossRef]
- Pantwalawalkar, J.; More, H.; Bhange, D.; Patil, U.; Jadhav, N. Novel curcumin ascorbic acid cocrystal for improved solubility. J. Drug Deliv. Sci. Technol. 2021, 61, 102233. [Google Scholar] [CrossRef]
- Zhang, Q.; Wang, H.; Feng, Z.; Lu, Z.; Su, C.; Zhao, Y.; Yu, J.; Dushkin, A.V.; Su, W. Preparation of pectin-tannic acid coated core-shell nanoparticle for enhanced bioavailability and antihyperlipidemic activity of curcumin. Food Hydrocoll. 2021, 119, 106858. [Google Scholar] [CrossRef]
- Gharakhloo, M.; Sadjadi, S.; Rezaeetabar, M.; Askari, F.; Rahimi, A. Cyclodextrin-based nanosponges for improving solubility and sustainable release of curcumin. ChemistrySelect 2020, 5, 1734–1738. [Google Scholar] [CrossRef]
- Celebioglu, A.; Uyar, T. Fast-dissolving antioxidant curcumin/cyclodextrin inclusion complex electrospun nanofibrous webs. Food Chem. 2020, 317, 126397. [Google Scholar] [CrossRef]
- Famurewa, A.C.; Renu, K.; Eladl, M.A.; Chakraborty, R.; Myakala, H.; El-Sherbiny, M.; Elsherbini, D.M.A.; Vellingiri, B.; Madhyastha, H.; Wanjari, U.R. Hesperidin and hesperetin against heavy metal toxicity: Insight on the molecular mechanism of mitigation. Biomed. Pharmacother. 2022, 149, 112914. [Google Scholar] [CrossRef]
- Roohbakhsh, A.; Parhiz, H.; Soltani, F.; Rezaee, R.; Iranshahi, M. Neuropharmacological properties and pharmacokinetics of the citrus flavonoids hesperidin and hesperetin—A mini-review. Life Sci. 2014, 113, 1–6. [Google Scholar] [CrossRef]
- Parhiz, H.; Roohbakhsh, A.; Soltani, F.; Rezaee, R.; Iranshahi, M. Antioxidant and anti-inflammatory properties of the citrus flavonoids hesperidin and hesperetin: An updated review of their molecular mechanisms and experimental models. Phyther. Res. 2015, 29, 323–331. [Google Scholar] [CrossRef]
- Wdowiak, K.; Walkowiak, J.; Pietrzak, R.; Bazan-Woźniak, A.; Cielecka-Piontek, J. Bioavailability of Hesperidin and Its Aglycone Hesperetin—Compounds Found in Citrus Fruits as a Parameter Conditioning the Pro-Health Potential (Neuroprotective and Antidiabetic Activity)—Mini-Review. Nutrients 2022, 14, 2647. [Google Scholar] [CrossRef]
- Roohbakhsh, A.; Parhiz, H.; Soltani, F.; Rezaee, R.; Iranshahi, M. Molecular mechanisms behind the biological effects of hesperidin and hesperetin for the prevention of cancer and cardiovascular diseases. Life Sci. 2015, 124, 64–74. [Google Scholar] [CrossRef]
- Wang, C.; Yan, T.; Yan, T.; Wang, Z. Fabrication of hesperetin/hydroxypropyl-β-cyclodextrin complex nanoparticles for enhancement of bioactivity using supercritical antisolvent technology. J. Mol. Struct. 2023, 1279, 134947. [Google Scholar] [CrossRef]
- Omidfar, F.; Gheybi, F.; Davoodi, J.; Amirinejad, M.; Badiee, A. Nanophytosomes of hesperidin and of hesperetin: Preparation, characterization, and in vivo evaluation. Biotechnol. Appl. Biochem. 2022, 70, 846–856. [Google Scholar] [CrossRef]
- Zeng, F.; Wang, D.; Tian, Y.; Wang, M.; Liu, R.; Xia, Z.; Huang, Y. Nanoemulsion for Improving the Oral Bioavailability of Hesperetin: Formulation Optimization and Absorption Mechanism. J. Pharm. Sci. 2021, 110, 2555–2561. [Google Scholar] [CrossRef]
- Van den Mooter, G. The use of amorphous solid dispersions: A formulation strategy to overcome poor solubility and dissolution rate. Drug Discov. Today Technol. 2012, 9, e79–e85. [Google Scholar] [CrossRef]
- Tambe, S.; Jain, D.; Agarwal, Y.; Amin, P. Hot-melt extrusion: Highlighting recent advances in pharmaceutical applications. J. Drug Deliv. Sci. Technol. 2021, 63, 102452. [Google Scholar] [CrossRef]
- Censi, R.; Gigliobianco, M.R.; Casadidio, C.; Di Martino, P. Hot melt extrusion: Highlighting physicochemical factors to be investigated while designing and optimizing a hot melt extrusion process. Pharmaceutics 2018, 10, 89. [Google Scholar] [CrossRef]
- Lee, J.; Kim, Y.S.; Kim, E.; Kim, Y.; Kim, Y. Curcumin and hesperetin attenuate D-galactose-induced brain senescence in vitro and in vivo. Nutr. Res. Pract. 2020, 14, 438–452. [Google Scholar] [CrossRef]
- Nogami, S.; Minoura, K.; Kiminami, N.; Kitaura, Y.; Uchiyama, H.; Kadota, K.; Tozuka, Y. Stabilizing effect of the cyclodextrins additive to spray-dried particles of curcumin/polyvinylpyrrolidone on the supersaturated state of curcumin. Adv. Powder Technol. 2021, 32, 1750–1756. [Google Scholar] [CrossRef]
- Pina, M.F.; Zhao, M.; Pinto, J.F.; Sousa, J.J.; Craig, D.Q.M. The influence of drug physical state on the dissolution enhancement of solid dispersions prepared via hot-melt extrusion: A case study using olanzapine. J. Pharm. Sci. 2014, 103, 1214–1223. [Google Scholar] [CrossRef] [PubMed]
- Xi, L.; Song, H.; Wang, Y.; Gao, H.; Fu, Q. Lacidipine amorphous solid dispersion based on hot melt extrusion: Good miscibility, enhanced dissolution, and favorable stability. AAPS PharmSciTech 2018, 19, 3076–3084. [Google Scholar] [CrossRef] [PubMed]
- Fan, W.; Zhang, X.; Zhu, W.; Zhang, X.; Di, L. Preparation of Curcumin-Eudragit® E PO Solid Dispersions with Gradient Temperature through Hot-Melt Extrusion. Molecules 2021, 26, 4964. [Google Scholar] [CrossRef] [PubMed]
- Sathigari, S.K.; Radhakrishnan, V.K.; Davis, V.A.; Parsons, D.L.; Babu, R.J. Amorphous-State Characterization of Efavirenz—Polymer Hot-Melt Extrusion Systems for Dissolution Enhancement. J. Pharm. Sci. 2012, 101, 3456–3464. [Google Scholar] [CrossRef]
- Jani, R.; Patel, D. Hot melt extrusion: An industrially feasible approach for casting orodispersible film. Asian J. Pharm. Sci. 2015, 10, 292–305. [Google Scholar] [CrossRef]
- Kulkarni, C.; Kelly, A.L.; Gough, T.; Jadhav, V.; Singh, K.K.; Paradkar, A. Application of hot melt extrusion for improving bioavailability of artemisinin a thermolabile drug. Drug Dev. Ind. Pharm. 2018, 44, 206–214. [Google Scholar] [CrossRef] [PubMed]
- Grembecka, M. Sugar alcohols—Their role in the modern world of sweeteners: A review. Eur. Food Res. Technol. 2015, 241, 1–14. [Google Scholar] [CrossRef]
- Ibrahim, O.O. Sugars alcohols: Chemical structures, manufacturing, properties and applications. EC Nutr 2016, 6, 817–824. [Google Scholar] [CrossRef]
- Chaudhary, D.S.; Adhikari, B.P.; Kasapis, S. Glass-transition behaviour of plasticized starch biopolymer system–A modified Gordon–Taylor approach. Food Hydrocoll. 2011, 25, 114–121. [Google Scholar] [CrossRef]
- Ma, X.; Qiao, C.; Wang, X.; Yao, J.; Xu, J. Structural characterization and properties of polyols plasticized chitosan films. Int. J. Biol. Macromol. 2019, 135, 240–245. [Google Scholar] [CrossRef] [PubMed]
- Mohsin, M.; Hossin, A.; Haik, Y. Thermomechanical properties of poly (vinyl alcohol) plasticized with varying ratios of sorbitol. Mater. Sci. Eng. A 2011, 528, 925–930. [Google Scholar] [CrossRef]
- Arafa, M.F.; El-Gizawy, S.A.; Osman, M.A.; El Maghraby, G.M. Xylitol as a potential co-crystal co-former for enhancing dissolution rate of felodipine: Preparation and evaluation of sublingual tablets. Pharm. Dev. Technol. 2018, 23, 454–463. [Google Scholar] [CrossRef]
- Alhalaweh, A.; Alzghoul, A.; Kaialy, W.; Mahlin, D.; Bergström, C.A.S. Computational predictions of glass-forming ability and crystallization tendency of drug molecules. Mol. Pharm. 2014, 11, 3123–3132. [Google Scholar] [CrossRef]
- Blaabjerg, L.I.; Lindenberg, E.; Löbmann, K.; Grohganz, H.; Rades, T. Glass forming ability of amorphous drugs investigated by continuous cooling and isothermal transformation. Mol. Pharm. 2016, 13, 3318–3325. [Google Scholar] [CrossRef]
- Talja, R.A.; Roos, Y.H. Phase and state transition effects on dielectric, mechanical, and thermal properties of polyols. Thermochim. Acta 2001, 380, 109–121. [Google Scholar] [CrossRef]
- Nair, A.R.; Lakshman, Y.D.; Anand, V.S.K.; Sree, K.S.N.; Bhat, K.; Dengale, S.J. Overview of extensively employed polymeric carriers in solid dispersion technology. AAPS PharmSciTech 2020, 21, 1–20. [Google Scholar] [CrossRef]
- Skrdla, P.J.; Floyd, P.D.; Dell’Orco, P.C. The amorphous state: First-principles derivation of the Gordon–Taylor equation for direct prediction of the glass transition temperature of mixtures; estimation of the crossover temperature of fragile glass formers; physical basis of the “Rule of 2/3”. Phys. Chem. Chem. Phys. 2017, 19, 20523–20532. [Google Scholar] [CrossRef]
- Patil, H.; Tiwari, R.V.; Repka, M.A. Hot-melt extrusion: From theory to application in pharmaceutical formulation. Aaps Pharmscitech 2016, 17, 20–42. [Google Scholar] [CrossRef]
- Medarević, D.; Djuriš, J.; Barmpalexis, P.; Kachrimanis, K.; Ibrić, S. Analytical and computational methods for the estimation of drug-polymer solubility and miscibility in solid dispersions development. Pharmaceutics 2019, 11, 372. [Google Scholar] [CrossRef]
- Bhattacharya, S.; Suryanarayanan, R. Local mobility in amorphous pharmaceuticals—Characterization and implications on stability. J. Pharm. Sci. 2009, 98, 2935–2953. [Google Scholar] [CrossRef]
- Wdowiak, K.; Pietrzak, R.; Tykarska, E.; Cielecka-Piontek, J. Hot-Melt Extrusion as an Effective Technique for Obtaining an Amorphous System of Curcumin and Piperine with Improved Properties Essential for Their Better Biological Activities. Molecules 2023, 28, 3848. [Google Scholar] [CrossRef]
- Wdowiak, K.; Miklaszewski, A.; Pietrzak, R.; Cielecka-Piontek, J. Amorphous System of Hesperetin and Piperine—Improvement of Apparent Solubility, Permeability, and Biological Activities. Int. J. Mol. Sci. 2023, 24, 4859. [Google Scholar] [CrossRef]
- Frizon, F.; de Oliviera, J.E.; Donaduzzi, C.M.; Mitsui, M.L.; Marchetti, J.M. Dissolution rate enhancement of loratadine in polyvinylpyrrolidone K-30 solid dispersions by solvent methods. Powder Technol. 2013, 235, 532–539. [Google Scholar] [CrossRef]
- LaFountaine, J.S.; Prasad, L.K.; Brough, C.; Miller, D.A.; McGinity, J.W.; Williams, R.O. Thermal processing of PVP-and HPMC-based amorphous solid dispersions. AAPS PharmSciTech 2016, 17, 120–132. [Google Scholar] [CrossRef]
- Kothari, K.; Ragoonanan, V.; Suryanarayanan, R. The role of drug–polymer hydrogen bonding interactions on the molecular mobility and physical stability of nifedipine solid dispersions. Mol. Pharm. 2015, 12, 162–170. [Google Scholar] [CrossRef]
- Bhardwaj, S.P.; Arora, K.K.; Kwong, E.; Templeton, A.; Clas, S.-D.; Suryanarayanan, R. Mechanism of amorphous itraconazole stabilization in polymer solid dispersions: Role of molecular mobility. Mol. Pharm. 2014, 11, 4228–4237. [Google Scholar] [CrossRef]
- Qiang, W.; Löbmann, K.; McCoy, C.P.; Andrews, G.P.; Zhao, M. Microwave-induced in situ amorphization: A new strategy for tackling the stability issue of amorphous solid dispersions. Pharmaceutics 2020, 12, 655. [Google Scholar] [CrossRef]
- Queneau, Y.; Rauter, A.P.; Lindhorst, T. Carbohydrate Chemistry: Chemical and Biological Approaches; Royal Society of Chemistry: London, UK, 2014; Volume 40, ISBN 184973965X. [Google Scholar]
- Paulazzi, A.R.; Alves, B.O.; Zilli, G.A.L.; Dos Santos, A.E.; Petry, F.; Soares, K.D.; Danielli, L.J.; Pedroso, J.; Apel, M.A.; Aguiar, G.P.S. Curcumin and n-acetylcysteine cocrystal produced with supercritical solvent: Characterization, solubility, and preclinical evaluation of antinociceptive and anti-inflammatory activities. Inflammopharmacology 2022, 30, 327–341. [Google Scholar] [CrossRef]
- Lucas-Abellán, C.; Pérez-Abril, M.; Castillo, J.; Serrano, A.; Mercader, M.T.; Fortea, M.I.; Gabaldón, J.A.; Núñez-Delicado, E. Effect of temperature, pH, β- and HP-β-cds on the solubility and stability of flavanones: Naringenin and hesperetin. LWT 2019, 108, 233–239. [Google Scholar] [CrossRef]
- Shi, Q.; Li, F.; Yeh, S.; Moinuddin, S.M.; Xin, J.; Xu, J.; Chen, H.; Ling, B. Recent advances in enhancement of dissolution and supersaturation of poorly water-soluble drug in amorphous pharmaceutical solids: A review. Aaps Pharmscitech 2022, 23, 1–19. [Google Scholar] [CrossRef] [PubMed]
- Miller, J.M.; Beig, A.; Carr, R.A.; Spence, J.K.; Dahan, A. A win–win solution in oral delivery of lipophilic drugs: Supersaturation via amorphous solid dispersions increases apparent solubility without sacrifice of intestinal membrane permeability. Mol. Pharm. 2012, 9, 2009–2016. [Google Scholar] [CrossRef] [PubMed]
- Zhu, L.; Lu, L.; Wang, S.; Wu, J.; Shi, J.; Yan, T.; Xie, C.; Li, Q.; Hu, M.; Liu, Z. Oral absorption basics: Pathways and physicochemical and biological factors affecting absorption. In Developing Solid Oral Dosage Forms; Elsevier: Amsterdam, The Netherlands, 2017; pp. 297–329. [Google Scholar]
- Schittny, A.; Huwyler, J.; Puchkov, M. Mechanisms of increased bioavailability through amorphous solid dispersions: A review. Drug Deliv. 2020, 27, 110–127. [Google Scholar] [CrossRef] [PubMed]
- Dahan, A.; Beig, A.; Ioffe-Dahan, V.; Agbaria, R.; Miller, J.M. The twofold advantage of the amorphous form as an oral drug delivery practice for lipophilic compounds: Increased apparent solubility and drug flux through the intestinal membrane. AAPS J. 2013, 15, 347–353. [Google Scholar] [CrossRef] [PubMed]
- Giri, B.R.; Kwon, J.; Vo, A.Q.; Bhagurkar, A.M.; Bandari, S.; Kim, D.W. Hot-Melt Extruded Amorphous Solid Dispersion for Solubility, Stability, and Bioavailability Enhancement of Telmisartan. Pharmaceuticals 2021, 14, 73. [Google Scholar] [CrossRef] [PubMed]
- Chuah, A.M.; Jacob, B.; Jie, Z.; Ramesh, S.; Mandal, S.; Puthan, J.K.; Deshpande, P.; Vaidyanathan, V.V.; Gelling, R.W.; Patel, G. Enhanced bioavailability and bioefficacy of an amorphous solid dispersion of curcumin. Food Chem. 2014, 156, 227–233. [Google Scholar] [CrossRef] [PubMed]
- Beig, A.; Fine-Shamir, N.; Lindley, D.; Miller, J.M.; Dahan, A. Advantageous solubility-permeability interplay when using amorphous solid dispersion (ASD) formulation for the BCS class IV P-gp substrate rifaximin: Simultaneous increase of both the solubility and the permeability. AAPS J. 2017, 19, 806–813. [Google Scholar] [CrossRef] [PubMed]
- Berginc, K.; Trontelj, J.; Basnet, N.S.; Kristl, A. Physiological barriers to the oral delivery of curcumin. Die Pharm. Int. J. Pharm. Sci. 2012, 67, 518–524. [Google Scholar]
- Brand, W.; Van Der Wel, P.A.I.; Rein, M.J.; Barron, D.; Williamson, G.; Van Bladeren, P.J.; Rietjens, I.M.C.M. Metabolism and transport of the citrus flavonoid hesperetin in Caco-2 cell monolayers. Drug Metab. Dispos. 2008, 36, 1794–1802. [Google Scholar] [CrossRef]
- Ge, S.; Yin, T.; Xu, B.; Gao, S.; Hu, M. Curcumin affects phase II disposition of resveratrol through inhibiting efflux transporters MRP2 and BCRP. Pharm. Res. 2016, 33, 590–602. [Google Scholar] [CrossRef]
- Huang, P.; Yan, H.; Wu, H.; Liu, L.; Niu, W.; Zhai, B.; Hu, Z.; Li, J.; Du, Q.; Zhou, Y. Application of curcumin as a co-former and an efflux inhibitor in paclitaxel co-amorphous mixture. J. Drug Deliv. Sci. Technol. 2023, 84, 104513. [Google Scholar] [CrossRef]
- Sandhu, P.S.; Beg, S.; Mehta, F.; Singh, B.; Trivedi, P. Novel dietary lipid-based self-nanoemulsifying drug delivery systems of paclitaxel with p-gp inhibitor: Implications on cytotoxicity and biopharmaceutical performance. Expert Opin. Drug Deliv. 2015, 12, 1809–1822. [Google Scholar] [CrossRef]
- Huang, D.; Xie, Z.; Rao, Q.; Liamas, E.; Pan, P.; Guan, S.; Zhang, Z.J.; Lu, M.; Li, Q. Hot melt extrusion of heat-sensitive and high melting point drug: Inhibit the recrystallization of the prepared amorphous drug during extrusion to improve the bioavailability. Int. J. Pharm. 2019, 565, 316–324. [Google Scholar] [CrossRef] [PubMed]
- Li, S.; Tian, Y.; Jones, D.S.; Andrews, G.P. Optimising drug solubilisation in amorphous polymer dispersions: Rational selection of hot-melt extrusion processing parameters. Aaps Pharmscitech 2016, 17, 200–213. [Google Scholar] [CrossRef] [PubMed]














| Compound | ||||||
|---|---|---|---|---|---|---|
| Curcumin | Hesperetin | |||||
| Concentration (mg/mL) | Improvement (-Fold) | Concentration (mg/mL) | Improvement (-Fold) | |||
| System | pH 1.2 HCl | Raw | 0.0001 ± 0.00001 d | N/A | 0.004 ± 0.001 c | N/A |
| E30 | 0.939 ± 0.008 c | 9390 | 0.924 ± 0.005 b | 231 | ||
| X30 | 0.931 ± 0.012 c | 9310 | 0.915 ± 0.008 b | 229 | ||
| S30 | 0.922 ± 0.015 c | 9220 | 0.911 ± 0.014 b | 228 | ||
| E15 | 1.595 ± 0.013 a | 15,950 | 1.571 ± 0.011 a | 393 | ||
| X15 | 1.589 ± 0.007 a, b | 15,890 | 1.567 ± 0.005 a | 392 | ||
| S15 | 1.571 ± 0.011 b | 15,710 | 1.563 ± 0.009 a | 391 | ||
| pH 6.8 phosphate buffer | Raw | 0.00014 ± 0.00002 c | N/A | 0.005 ± 0.001 c | N/A | |
| E30 | 3.203 ± 0.015 b | 22,879 | 3.170 ± 0.015 b | 634 | ||
| X30 | 3.192 ± 0.005 b | 22,800 | 3.161 ± 0.008 b | 632 | ||
| S30 | 3.185 ± 0.017 b | 22,750 | 3.153 ± 0.021 b | 631 | ||
| E15 | 5.934 ± 0.042 a | 42,386 | 5.921 ± 0.036 a | 1184 | ||
| X15 | 5.928 ± 0.052 a | 42,343 | 5.912 ± 0.041 a | 1182 | ||
| S15 | 5.920 ± 0.025 a | 42,286 | 5.905 ± 0.023 a | 1181 | ||
| Compound | ||||||
|---|---|---|---|---|---|---|
| Curcumin | Hesperetin | |||||
| Concentration (mg/mL) | Improvement (-Fold) | Concentration (mg/mL) | Improvement (-Fold) | |||
| Model | GIT | Raw | 3.34 × 10−6 ± 1.94 × 10−6 c | N/A | 2.58 × 10−5 ± 6.16 × 10−6 c | N/A |
| E30 | 3.52 × 10−2 ± 7.61 × 10−3 b | 10,539 | 5.35 × 10−3 ± 7.12 × 10−4 b | 207 | ||
| X30 | 3.47 × 10−2 ± 8.41 × 10−3 b | 10,389 | 5.27 × 10−3 ± 8.84 × 10−4 b | 204 | ||
| S30 | 3.41 × 10−2 ± 4.15 × 10−3 b | 10,201 | 5.22 × 10−3 ± 4.11 × 10−4 b | 202 | ||
| E15 | 1.49 × 10−1 ± 1.29 × 10−2 a | 44,611 | 1.45 × 10−2 ± 1.42 × 10−3 a | 562 | ||
| X15 | 1.46 × 10−1 ± 8.57 × 10−3 a | 43,713 | 1.41 × 10−2 ± 8.15 × 10−3 a | 547 | ||
| S15 | 1.42 × 10−1 ± 2.82 × 10−2 a | 42,515 | 1.37 × 10−2 ± 2.87 × 10−3 a | 531 | ||
| BBB | Raw | 1.86 × 10−5 ± 2.48 × 10−6 c | N/A | 3.89 × 10−5 ± 1.66 × 10−5 c | N/A | |
| E30 | 1.44 × 10−2 ± 9.82 × 10−4 b | 774 | 2.39 × 10−3 ± 9.57 × 10−5 b | 61 | ||
| X30 | 1.39 × 10−2 ± 2.87 × 10−3 b | 747 | 2.31 × 10−3 ± 2.78 × 10−4 b | 59 | ||
| S30 | 1.32 × 10−2 ± 4.28 × 10−4 b | 710 | 2.27 × 10−3 ± 4.91 × 10−5 b | 58 | ||
| E15 | 4.65 × 10−2 ± 3.69 × 10−3 a | 2500 | 1.17 × 10−2 ± 3.79 × 10−3 a | 301 | ||
| X15 | 4.61 × 10−2 ± 7.81 × 10−4 a | 2478 | 1.13 × 10−2 ± 7.93 × 10−4 a | 290 | ||
| S15 | 4.56 × 10−2 ± 7.15 × 10−4 a | 2452 | 1.08 × 10−2 ± 7.11 × 10−4 a | 278 | ||
Disclaimer/Publisher’s Note: The statements, opinions and data contained in all publications are solely those of the individual author(s) and contributor(s) and not of MDPI and/or the editor(s). MDPI and/or the editor(s) disclaim responsibility for any injury to people or property resulting from any ideas, methods, instructions or products referred to in the content. |
© 2024 by the authors. Licensee MDPI, Basel, Switzerland. This article is an open access article distributed under the terms and conditions of the Creative Commons Attribution (CC BY) license (https://creativecommons.org/licenses/by/4.0/).
Share and Cite
Wdowiak, K.; Tajber, L.; Miklaszewski, A.; Cielecka-Piontek, J. Sweeteners Show a Plasticizing Effect on PVP K30—A Solution for the Hot-Melt Extrusion of Fixed-Dose Amorphous Curcumin-Hesperetin Solid Dispersions. Pharmaceutics 2024, 16, 659. https://doi.org/10.3390/pharmaceutics16050659
Wdowiak K, Tajber L, Miklaszewski A, Cielecka-Piontek J. Sweeteners Show a Plasticizing Effect on PVP K30—A Solution for the Hot-Melt Extrusion of Fixed-Dose Amorphous Curcumin-Hesperetin Solid Dispersions. Pharmaceutics. 2024; 16(5):659. https://doi.org/10.3390/pharmaceutics16050659
Chicago/Turabian StyleWdowiak, Kamil, Lidia Tajber, Andrzej Miklaszewski, and Judyta Cielecka-Piontek. 2024. "Sweeteners Show a Plasticizing Effect on PVP K30—A Solution for the Hot-Melt Extrusion of Fixed-Dose Amorphous Curcumin-Hesperetin Solid Dispersions" Pharmaceutics 16, no. 5: 659. https://doi.org/10.3390/pharmaceutics16050659
APA StyleWdowiak, K., Tajber, L., Miklaszewski, A., & Cielecka-Piontek, J. (2024). Sweeteners Show a Plasticizing Effect on PVP K30—A Solution for the Hot-Melt Extrusion of Fixed-Dose Amorphous Curcumin-Hesperetin Solid Dispersions. Pharmaceutics, 16(5), 659. https://doi.org/10.3390/pharmaceutics16050659

