Investigation of Antimicrobial and Anti-Inflammatory Efficacy of Newly Synthesized Pyrogallol-Coumarin Hybrids: In Vitro and In Silico Studies
Abstract
1. Introduction
2. Materials and Methods
2.1. Chemicals and Instruments
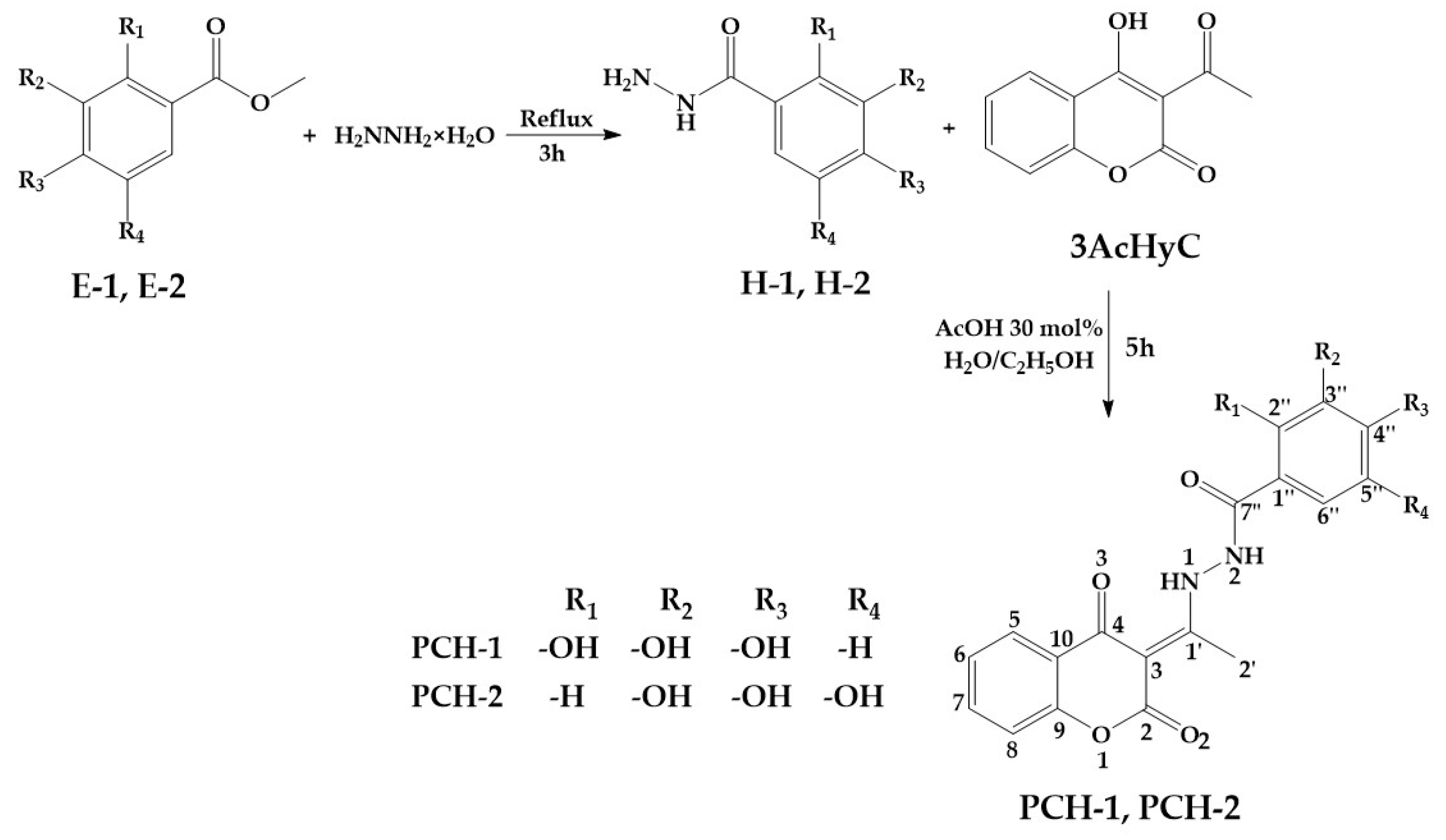
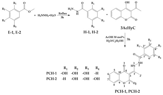
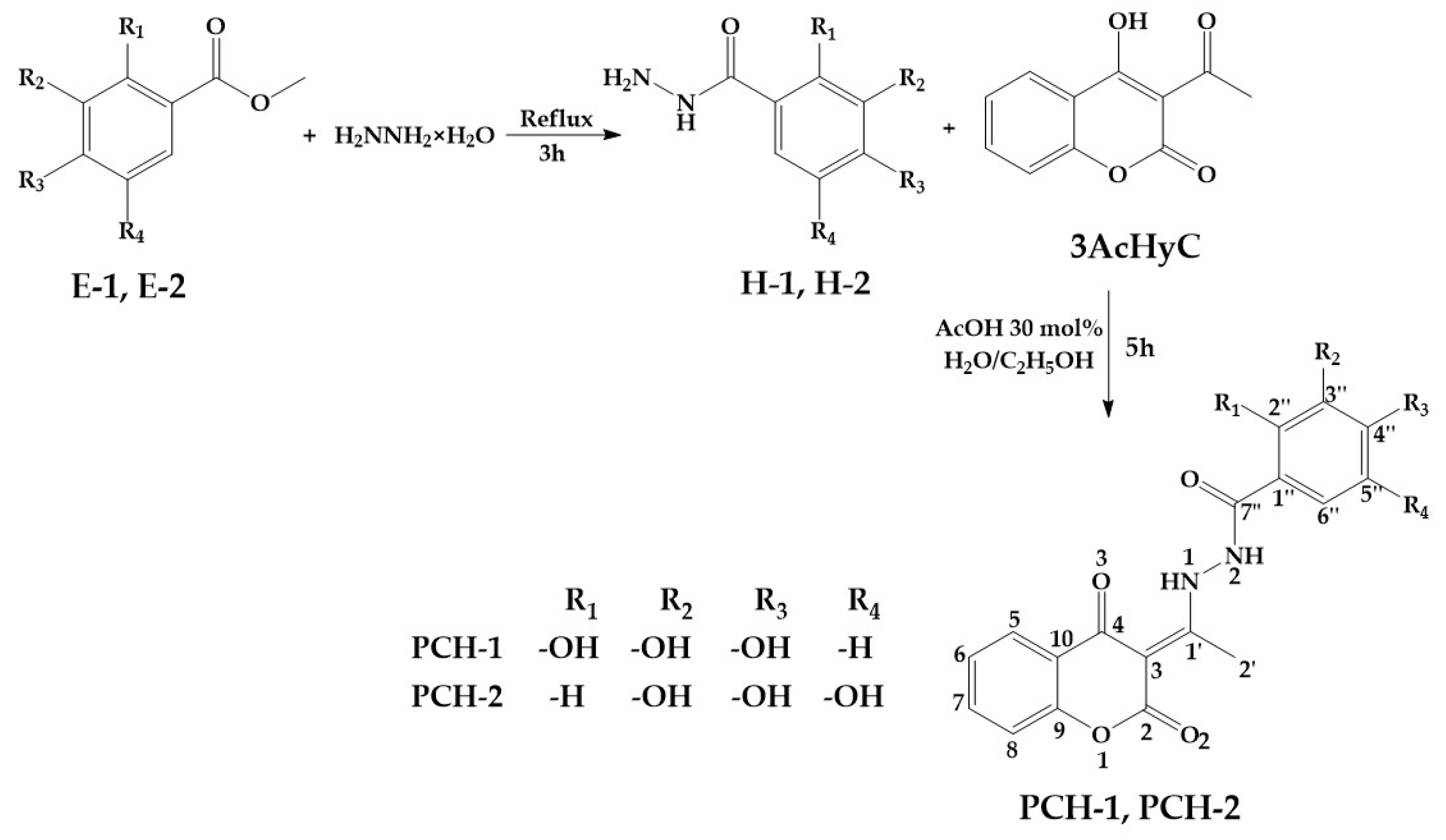
2.2. Chemical Studies
Synthesis of PCHs
2.3. DFT Calculations
2.4. Biological Studies
2.4.1. In Vitro Tests for the Assessment of Antimicrobial Activity
Test Microorganisms
Suspension Preparation
Microdilution Method
2.4.2. Determination of Antibiofilm Activity
Biofilm Formation of Tested Bacteria
The Inhibition of Biofilm Formation by PCH-1 and PCH-2
2.5. In Vitro Tests for the Assessment of Anti-Inflammatory Activity
LOX Inhibition Assay
2.6. In Silico LOX Inhibitory Potential
Molecular Docking and Molecular Dynamics Simulations
3. Results and Discussion
3.1. Chemistry
3.2. Spectroscopic and DFT Characterization of PCH-1 and PCH-2
Analysis of Vibrational Spectra of PCH-1 and PCH-2
3.3. Biology
3.3.1. Antimicrobial Activity
3.3.2. Antibiofilm Activity
3.3.3. In Vitro LOX Inhibition Assay
3.3.4. In Silico LOX Inhibitory Potential Molecular Docking and Molecular Dynamics Simulations
4. Conclusions
Supplementary Materials
Author Contributions
Funding
Institutional Review Board Statement
Informed Consent Statement
Data Availability Statement
Conflicts of Interest
References
- Upadhyay, G.; Gupta, S.P.; Prakash, O.; Singh, M.P. Pyrogallol-mediated toxicity and natural antioxidants: Triumphs and pitfalls of preclinical findings and their translational limitations. Chem. Biol. Interact. 2010, 183, 333–340. [Google Scholar] [CrossRef]
- Liang, Y.; Li, Y.; Sun, A.; Liu, X. Chemical compound identification and antibacterial activity evaluation of cinnamon extracts obtained by subcritical n-butane and ethanol extraction. Food Sci. Nutr. 2019, 7, 2186–2193. [Google Scholar] [CrossRef] [PubMed]
- Kimmel, S.E. Warfarin pharmacogenomics: Current best evidence. J. Thromb. Haemost. 2015, 13, S266–S271. [Google Scholar] [CrossRef] [PubMed]
- Annunziata, F.; Pinna, C.; Dallavalle, S.; Tamborini, L.; Pinto, A. An overview of coumarin as a versatile and readily accessible scaffold with broad-ranging biological activities. Int. J. Mol. Sci. 2020, 21, 4618. [Google Scholar] [CrossRef] [PubMed]
- Vogel, A. Darstellung von Benzoesäure aus der Tonka-Bohne und aus den Meliloten—Oder Steinklee—Blumen. Ann. Phys. 1820, 64, 161–166. [Google Scholar] [CrossRef]
- Iranshahi, M.; Askari, M.; Sahebkar, A.; Hadjipavlou-Litina, D. Evaluation of antioxidant, anti-inflammatory and lipoxygenase inhibitory activities of the prenylated coumarin umbelliprenin. Daru 2009, 17, 99–103. [Google Scholar]
- Thakur, A.; Singla, R.; Jaitak, V. Coumarins as anticancer agents: A review on synthetic strategies, mechanism of action and SAR studies. Eur. J. Med. Chem. 2015, 101, 476–495. [Google Scholar] [CrossRef]
- Hassan, M.Z.; Osman, H.; Ali, M.A.; Ahsan, M.J. Therapeutic potential of coumarins as antiviral agents. Eur. J. Med. Chem. 2016, 123, 236–255. [Google Scholar] [CrossRef]
- De Souza, L.G.; Rennó, M.N.; Figueroa-Villar, J.D. Coumarins as cholinesterase inhibitors: A review. Chem. Biol. Inteact. 2016, 254, 11–23. [Google Scholar] [CrossRef]
- Emami, S.; Dadashpour, S. Current developments of coumarin-based anti-cancer agents in medicinal chemistry. Eur. J. Med. Chem. 2015, 102, 611–630. [Google Scholar] [CrossRef]
- Zhang, L.; Xu, Z. Coumarin-containing hybrids and their anticancer activities. Eur. J. Med. Chem. 2019, 181, 111587. [Google Scholar] [CrossRef] [PubMed]
- Avdović, E.H.; Stojković, D.L.; Jevtić, V.V.; Deja Milenković, D.; Marković, Z.S.; Vuković, N.; Potočňák, I.; Radojević, I.D.; Čomić, L.R.; Trifunović, S.R. Preparation and antimicrobial activity of a new palladium(II) complexes with a coumarin-derived ligands. Crystal structures of the 3-(1-(o-toluidino) ethylidene)-chroman-2,4-dione and 3-(1-(m-toluidino)ethylidene)-chroman-2,4-dione. Inorganica Chim. Acta 2019, 206, 421–429. [Google Scholar] [CrossRef]
- Avdović, E.H.; Dimić, D.S.; Dimitrić Marković, J.; Vuković, N.; Radulović, M.Đ.; Živanović, M.N.; Filipović, N.D.; Đorović, J.R.; Trifunović, S.R.; Marković, Z.S. Spectroscopic and theoretical investigation of the potential anti-tumor and anti-microbial agent, 3-(1-((2-hydroxyphenyl)amino)ethylidene) chroman-2,4-dione. Spectrochim. Acta A Mol. Biomol. Spectrosc. 2019, 206, 421–429. [Google Scholar] [CrossRef]
- Rosselli, S.; Maggio, A.; Bellone, G.; Formisano, C.; Basile, A.; Cicala, C.; Alfieri, A.; Mascolo, N.; Bruno, M. Antibacterial and Anticoagulant Activities of Coumarins Isolated from the Flowers of Magydaris tomentosa. Planta Med. 2007, 73, 116–120. [Google Scholar] [CrossRef] [PubMed]
- Kontogiorgis, C.A.; Savvoglou, K.; Hadjipavlou-Litina, D.J. Antiinflammatory and antioxidant evaluation of novel coumarin derivatives, Altmetric. J. Enzym. Inhib. Med. Chem. 2006, 21, 21–29. [Google Scholar] [CrossRef] [PubMed]
- Avdović, E.H.; Petrović, I.P.; Stevanović, M.J.; Saso, L.; Dimitrić Marković, J.M.; Filipović, N.D.; Živić, M.Ž.; Cvetić Antić, T.N.; Žižić, M.V.; Todorović, N.V.; et al. Synthesis and Biological Screening of New 4-Hydroxycoumarin Derivatives and Their Palladium(II) Complexes. Oxid. Med. Cell Longev. 2021, 2021, 18–36. [Google Scholar] [CrossRef]
- Antonijević, M.R.; Simijonović, D.M.; Avdović, E.H.; Cirić, A.; Petrović, Z.D.; Dimitrić Marković, J.; Stepanić, V.; Marković, Z.S. Green One-Pot Synthesis of Coumarin-Hydroxybenzohydrazide Hybrids and Their Antioxidant Potency. Antioxidants 2021, 10, 1106. [Google Scholar] [CrossRef] [PubMed]
- Avdović, E.H.; Antonijević, M.R.; Simijonović, D.; Roca, S.; Vikić Topić, D.; Grozdanić, N.; Stanojković, T.; Radojević, I.; Vojinović, R.; Marković, Z. Synthesis and Cytotoxicity Evaluation of Novel Coumarin–Palladium(II) Complexes against Human Cancer Cell Lines. Pharmaceuticals 2023, 16, 49. [Google Scholar] [CrossRef]
- Samuelsson, B. Leukotrienes: Mediators of immediate hypersensitivity reactions and inflammation. Science 1983, 220, 568–575. [Google Scholar] [CrossRef]
- O’Byrne, P.M.; Israel, E.; Drazen, J.M. Antileukotrienes in the treatment of asthma. Ann. Intern. Med. 1997, 127, 472–480. [Google Scholar] [CrossRef]
- Lewis, R.A.; Austen, K.R.; Soberman, R.J. Leukotrienes and other products of 5-lipoxygenase pathway. Biochemistry and relation to pathobiology of human disease. N. Engl. J. Med. 1990, 323, 645–655. [Google Scholar] [CrossRef] [PubMed]
- De Almeida Barros, T.A.; De Freitas, L.A.R.; Filho, J.M.B.; Nunes, X.P.; Giulietti, A.M.; De Souza, G.E.; Dos Santos, R.R.; Soares, M.B.P.; Villarreal, C.F. Antinociceptive and anti-inflammatory properties of 7-hydroxycoumarin in experimental animal models: Potential therapeutic for the control of inflammatory chronic pain. J. Pharm. Pharmacol. 2010, 62, 205–213. [Google Scholar] [CrossRef] [PubMed]
- Tamboong, A.; Chopra, S.; Glaser, B.T.; Matsuyama, K.; Tran, T.; Madrid, P.B. Mannich reaction derivatives of novobiocin with modulated physiochemical properties and their antibacterial activities. Bioorg. Med. Chem. Lett. 2011, 21, 5697–5700. [Google Scholar] [CrossRef]
- Pan, L.; Li, X.; Jin, H.; Yang, X.; Qin, B. Antifungal activity of umbelliferone derivatives: Synthesis and structure-activity relationships. Microb. Pathog. 2017, 104, 110–115. [Google Scholar] [CrossRef]
- Napiroon, T.; Bacher, M.; Balslev, H.; Tawaitakham, K.; Santimaleeworagun, W.; Vajrodaya, S. Scopoletin from Lasianthus lucidus Blume (Rubiaceae): A potential antimicrobial against multidrug-resistant Pseudomonas aeruginosa. J. Appl. Pharm. Sci. 2018, 8, 1–6. [Google Scholar] [CrossRef]
- Frisch, M.J.; Trucks, G.W.; Schlegel, H.B.; Scuseria, G.E.; Robb, M.A.; Cheeseman, J.R.; Scalmani, G.; Barone, V.; Petersson, G.A.; Nakatsuji, H.; et al. Gaussian 09; Revision D.01; Gaussian, Inc.: Wallingford, CT, USA, 2009. [Google Scholar]
- Dennington, R.; Keith, T.A.; Millam, J.M. GaussView; Version 6; Semichem Inc.: Shawnee Mission, KS, USA, 2016. [Google Scholar]
- Antonijević, M.R.; Avdović, E.H.; Simijonović, D.; Milanović, Ž.; Klisurić, O.R.; Alberto, M.E.; Russo, N.; Vojinović, R.; Marković, Z.S. Comprehensive Experimental and Computational Analysis of the Structural and HSA Binding Properties of Newly Synthesized Coumarin-Trimethoxybenzohydrazide Derivative. Polycycl. Aromat. Comp. 2024, 1–25. [Google Scholar] [CrossRef]
- Milanović, Ž.; Dimić, D.; Avdović, E.H.; Simijonović, D.M.; Nakarada, Đ.; Jakovljević, V.; Marković, Z.S. Mechanism of Antiradical Activity of Coumarin-Trihydroxybenzohydrazide Derivatives: A Comprehensive Kinetic DFT Study. Antioxidants 2024, 13, 143. [Google Scholar] [CrossRef] [PubMed]
- Avdović, E.H.; Milanović, Ž.; Simijonović, D.; Antonijević, M.; Milutinović, M.; Nikodijević, D.; Filipović, N.; Marković, Z.; Vojinović, R. An Effective, Green Synthesis Procedure for Obtaining Coumarin–Hydroxybenzohydrazide Derivatives and Assessment of Their Antioxidant Activity and Redox Status. Antioxidants 2023, 12, 2070. [Google Scholar] [CrossRef]
- Takano, Y.; Houk, K.N. Benchmarking the conductor-like polarizable continuum model (CPCM) for aqueous solvation free energies of neutral and ionic organic molecules. J. Chem. Theory Comput. 2005, 1, 70–77. [Google Scholar] [CrossRef]
- Grimblat, N.; Sarotti, A.M. Computational chemistry to the rescue: Modern toolboxes for the assignment of complex molecules by GIAO NMR calculations. Chem. -Eur. J. 2016, 22, 12246–12261. [Google Scholar] [CrossRef]
- Andrews, J.M. BSAC standardized disc susceptibility testing method (version 4). J. Antimicrob. Chemother. 2005, 56, 60–76. [Google Scholar] [CrossRef] [PubMed]
- Sarker, S.D.; Nahar, L.; Kumarasamy, Y. Microtitre plate-based antibacterial assay incorporating resazurin as an indicator of cell growth, and its application in the in vitro antibacterial screening of phytochemicals. Methods 2007, 42, 321–324. [Google Scholar] [CrossRef] [PubMed]
- Muruzović, M.; Mladenović, K.; Stefanović, O.; Vasić, S.; Čomić, L. Extracts of Agrimonia eupatoria L. as sources of biologically active compounds and evaluation of their antioxidant, antimicrobial and antibiofilm activity. J. Food Drug Anal. 2016, 24, 539–547. [Google Scholar] [CrossRef]
- O’Toole, G.; Kaplan, H.B.; Kolter, R. Biofilm formation as microbial development. Annu. Rev. Microbiol. 2000, 54, 49–79. [Google Scholar] [CrossRef] [PubMed]
- Chaieb, K.; Kouidhi, B.; Jrah, H.; Mahdouani, K.; Bakhrouf, A. Antibacterial activity of thymoquinone, an active principle of Nigella sativa and its potency to prevent bacterial biofilm formation. BMC Complement. Altern. Med. 2011, 11, 29. [Google Scholar] [CrossRef] [PubMed]
- Simijonović, D.; Vlachou, E.-E.; Petrović, Z.D.; Hadjipavlou-Litina, D.J.; Litinas, K.E.; Stanković, N.; Mihović, N.; Mladenović, M.P. Dicoumarol derivatives: Green synthesis and molecular modelling studies of their anti-LOX activity. Bioorg. Chem. 2018, 80, 741–752. [Google Scholar] [CrossRef]
- Valdés-Tresanco, M.S.; Valdés-Tresanco, M.E.; Valiente, P.A.; Moreno, E. AMDock: A versatile graphical tool for assisting molecular docking with Autodock Vina and Autodock4. Biol. Direct 2020, 15, 1–12. [Google Scholar] [CrossRef] [PubMed]
- BIOVIA, Dassault Systèmes, BIOVIA Discovery Studio 2022 Client 22.1, San Diego: Dassault Systèmes. 2022. Available online: https://discover.3ds.com/discovery-studio-visualizer-download (accessed on 14 November 2024).
- Case, D.A.; Aktulga, H.M.; Belfon, K.; Ben-Shalom, I.Y.; Berryman, J.T.; Brozell, S.R.; Cerutti, D.S.; Cheatham, T.E., III; Cisneros, G.A.; Cruzeiro, V.W.D.; et al. Amber 2023; University of California: San Francisco, CA, USA, 2023. [Google Scholar]
- Gilbert, N.C.; Bartlett, S.G.; Waight, M.T.; Neau, D.B.; Boeglin, W.E.; Brash, A.R.; Newcomer, M.E. The structure of human 5-lipoxygenase. Science 2011, 331, 217–219. [Google Scholar] [CrossRef]
- Li, L.; Xiao, Y.; Xu, Z.; Wang, S. Zileuton inhibits arachidonate-5-lipoxygenase to exert antitumor effects in preclinical cervical cancer models. Cancer Chemother. Pharmacol. 2021, 88, 953–960. [Google Scholar] [CrossRef]
- Gilbert, N.C.; Gerstmeier, J.; Schexnaydre, E.E.; Börner, F.; Garscha, U.; Neau, D.B.; Werz, O.; Newcomer, M.E. Structural and mechanistic insights into 5-lipoxygenase inhibition by natural products. Nat. Chem. Biol. 2020, 16, 783–790. [Google Scholar] [CrossRef]
- David, A.C.; Aktulga, H.M.; Belfon, K.; Cerutti, D.S.; Cisneros, G.A.; Cruzeiro, V.W.D.; Forouzesh, N.; Giese, T.J.; Göetz, A.W.; Gohlke, H.; et al. AmberTools. J. Chem. Inf. Model. 2023, 63, 6183–6191. [Google Scholar] [CrossRef]
- Wang, J.; Wolf, R.M.; Caldwell, J.W.; Kollman, P.A.; Case, D.A. Development and testing of a general amber force field. J. Comput. Chem. 2004, 25, 1157–1174. [Google Scholar] [CrossRef] [PubMed]
- Jo, S.; Kim, T.; Iyer, V.G.; Im, W. CHARMM-GUI: A web-based graphical user interface for CHARMM. J. Comput. Chem. 2008, 29, 1859–1865. [Google Scholar] [CrossRef] [PubMed]
- Brooks, B.R.; Brooks, C.L., III; Mackerell, A.D., Jr.; Nilsson, L.; Petrella, R.J.; Roux, B.; Won, Y.; Archontis, G.; Bartels, C.; Boresch, S.; et al. CHARMM: The biomolecular simulation program. J. Comput. Chem. 2009, 30, 1545–1614. [Google Scholar] [CrossRef]
- Shrivastava, S.K.; Srivastava, P.; Bandresh, R.; Tripathi, P.N.; Tripathi, A. Design, synthesis, and biological evaluation of some novel indolizine derivatives as dual cyclooxygenase and lipoxygenase inhibitor for antiinflammatory activity. Bioorg. Med. Chem. 2017, 25, 4424–4432. [Google Scholar] [CrossRef] [PubMed]
- Dix, T.A.; Marnett, L.J. Conversion of linoleic acid hydroperoxide to hydroxy, keto, epoxyhydroxy, and trihydroxy fatty acids by hematin. J. Biol. Chem. 1985, 260, 5351–5357. [Google Scholar] [CrossRef]
- Marti, V.G.; Coenen, A.; Schörken, U. Synthesis of Linoleic Acid 13-Hydroperoxides from Safflower Oil Utilizing Lipoxygenase in a Coupled Enzyme System with In-Situ Oxygen Generation. Catalysts 2021, 11, 1119. [Google Scholar] [CrossRef]
- Biswal, S.S.; Datta, K.; Shaw, S.D.; Feng, X.; Robertson, J.D.; Kehrer, J.P. Glutathione oxidation and mitochondrial depolarization as mechanisms of nordihydroguaiaretic acid-induced apoptosis in lipoxygenase-deficient FL5.12 cells. Toxicol. Sci. 2005, 3, 77–83. [Google Scholar] [CrossRef][Green Version]
- Kemal, C.; Louis-Flamberg, P.; Krupinski-Olsen, R.; Shorter, A.L. Reductive inactivation of soybean lipoxygenase 1 by catechols: A possible mechanism for regulation of lipoxygenase activity. Biochemistry 1987, 26, 7064–7072. [Google Scholar] [CrossRef]
- Czapski, G.A.; Czubowicz, K.; Strosznajder, R.P. Evaluation of the antioxidative properties of lipoxygenase inhibitors. Pharmacol. Rep. 2012, 64, 1179–1188. [Google Scholar] [CrossRef]





| Microorganisms | PCH-1 | PCH-2 | Tetracycline/Fluconazole | |||
|---|---|---|---|---|---|---|
| MIC | MMC | MIC | MMC | MIC | MMC | |
| B. subtilis ATCC 6633 | 2.70 | 2.70 | 0.34 | 0.34 | 0.005 | 0.035 |
| B. subtilis | 1.35 | 1.35 | 1.35 | 1.35 | 0.002 | 0.005 |
| S. aureus ATCC 25923 | 0.17 | 0.17 | 0.08 | 0.34 | <0.001 | 0.005 |
| S. aureus | 2.70 | 2.70 | 1.35 | 1.35 | <0.001 | <0.001 |
| L. plantarum 299V | 2.70 | 2.70 | 0.67 | 0.67 | <0.001 | 0.001 |
| K. pneumoniae | 0.17 | 0.34 | 0.17 | 0.34 | 0.009 | 0.07 |
| P. mirabilis ATCC 12453 | 0.08 | 0.17 | 0.08 | 0.17 | 0.035 | 0.07 |
| P. aeruginosa ATCC 27853 | 0.34 | 0.34 | 0.34 | 0.67 | 0.02 | 0.14 |
| E. coli | 0.34 | 0.34 | 0.17 | 0.34 | 0.005 | 0.01 |
| S. enterica | 0.17 | 0.17 | 0.08 | 0.34 | 0.001 | 0.01 |
| C. albicans ATCC 10231 | 0.17 | 0.34 | 0.17 | 1.35 | 0.1 | 0.2 |
| S. cerevisiae | 1.35 | 2.70 | 1.35 | 2.70 | 0.025 | 0.025 |
| S.boulardii | 1.35 | 2.70 | 2.70 | 2.70 | 0.025 | 0.1 |
| Tested Bacteria | PCH-1 | PCH-2 | Tetracycline | |||
|---|---|---|---|---|---|---|
| BIC50 | BIC90 | BIC50 | BIC90 | BIC50 | BIC90 | |
| S. aureus ATCC 25923 | ˃2.70 | ˃2.70 | 1.02 | ˃2.70 | 0.56 | >2.25 |
| P. mirabilis ATCC 12453 | ˃2.70 | ˃2.70 | 2.15 | ˃2.70 | 1.31 | >2.25 |
| P. aeruginosa ATCC 27853 | ˃2.70 | ˃2.70 | ˃2.70 | ˃2.70 | >2.25 | >2.25 |
| Compound | In Vitro Lipoxygenase Inhibitory Activity | |||
|---|---|---|---|---|
| Anti-LOX Activity (%) | IC50 (µM) | |||
| 25 µM | 50 µM | 100 µM | ||
| PCH-1 | 32.8 ± 2.4 | 65.1 ± 2.0 | 96.1 ± 0.7 | 38.1 ± 1.3 |
| PCH-2 | 38.9 ± 3.1 | 71.7 ± 2.2 | 95.2 ± 1.0 | 34.1 ± 1.2 |
| H-1 | 21.6 ± 1.4 | 37.8 ± 1.0 | 73.5 ± 0.6 | 65.4 ± 0.6 |
| H-2 | 32.0 ± 0.1 | 56.1 ± 1.1 | 91.9 ± 0.2 | 46.0 ± 0.9 |
| 3AcHyC | 26.4 ± 1.3 | 43.5 ± 3.1 | 81.2 ± 0.2 | 57.9 ± 1.6 |
| NDGA | 74.3 ± 0.4 | / | / | 17.3 ± 0.1 |
Disclaimer/Publisher’s Note: The statements, opinions and data contained in all publications are solely those of the individual author(s) and contributor(s) and not of MDPI and/or the editor(s). MDPI and/or the editor(s) disclaim responsibility for any injury to people or property resulting from any ideas, methods, instructions or products referred to in the content. |
© 2024 by the authors. Licensee MDPI, Basel, Switzerland. This article is an open access article distributed under the terms and conditions of the Creative Commons Attribution (CC BY) license (https://creativecommons.org/licenses/by/4.0/).
Share and Cite
Simijonović, D.; Avdović, E.; Milić, S.J.; Antonijević, M.; Milenković, D.; Marković, K.; Grujović, M.; Stojković, D.L.; Dekić, M.; Marković, Z. Investigation of Antimicrobial and Anti-Inflammatory Efficacy of Newly Synthesized Pyrogallol-Coumarin Hybrids: In Vitro and In Silico Studies. Pharmaceutics 2024, 16, 1472. https://doi.org/10.3390/pharmaceutics16111472
Simijonović D, Avdović E, Milić SJ, Antonijević M, Milenković D, Marković K, Grujović M, Stojković DL, Dekić M, Marković Z. Investigation of Antimicrobial and Anti-Inflammatory Efficacy of Newly Synthesized Pyrogallol-Coumarin Hybrids: In Vitro and In Silico Studies. Pharmaceutics. 2024; 16(11):1472. https://doi.org/10.3390/pharmaceutics16111472
Chicago/Turabian StyleSimijonović, Dušica, Edina Avdović, Sandra Jovičić Milić, Marko Antonijević, Dejan Milenković, Katarina Marković, Mirjana Grujović, Danijela Lj. Stojković, Milan Dekić, and Zoran Marković. 2024. "Investigation of Antimicrobial and Anti-Inflammatory Efficacy of Newly Synthesized Pyrogallol-Coumarin Hybrids: In Vitro and In Silico Studies" Pharmaceutics 16, no. 11: 1472. https://doi.org/10.3390/pharmaceutics16111472
APA StyleSimijonović, D., Avdović, E., Milić, S. J., Antonijević, M., Milenković, D., Marković, K., Grujović, M., Stojković, D. L., Dekić, M., & Marković, Z. (2024). Investigation of Antimicrobial and Anti-Inflammatory Efficacy of Newly Synthesized Pyrogallol-Coumarin Hybrids: In Vitro and In Silico Studies. Pharmaceutics, 16(11), 1472. https://doi.org/10.3390/pharmaceutics16111472

