Potential Protective Effect of Orlistat: A Formulation of Nanocrystals Targeting Inflammation, Oxidative Stress, and Apoptosis in an Experimental Model of Doxorubicin-Induced Cardiotoxicity
Abstract
1. Introduction
2. Materials and Methods
2.1. Drugs and Chemicals
2.2. Preparation, Characterization, and Biodistribution Study of Orli-Nanocrystals
2.3. Pharmacokinetic Study
- () is the area under the curve of the relation between the %Orli/g tissue and time from zero to 4 h.
- C: represents the % Orli/g tissue at a certain time (0, 0.5, 1, 2, and 4 h).
- T: represents the specific time (0, 0.5, 1, 2, and 4 h).
- () heart is the area under the curve of the relation between %dose of Orli/Orli-Nanocrystals/g heart versus time (h).
- () Blood is the area under the curve of the relation between %dose of Orli/Orli-Nanocrystals/g Blood versus time (h).
- The %dose of Orli-Nanocrystals/g Heart at a certain time is (0.5 to 4 h).
- The %dose of Orli/g Heart at a certain time is (0.5 to 4 h).
- () heart NC is the calculated area under the curve of the relation between %dose of Orli-Nanocrystals/g heart versus time.
- () heart Orli is the calculated area under the curve of the relation between %dose of Orli-/g heart versus time.
2.4. In Vivo Study
2.4.1. Animals
2.4.2. Experimental Design
2.4.3. Samples Collection
2.4.4. Cardiac Enzymes Determination
2.4.5. Oxidative Stress and Antioxidant Biomarkers Measurement
2.4.6. Determination of TNF-α, HO-1, Sirt-1, and Nrf2 Content
2.4.7. Quantitative Evaluation of Gene Expression of NF-κB, TNF-α, HO-1, Sirt-1, Nrf2, BAX, and Bcl2 Using Real-Time PCR (qRT-PCR)
| Gene | Primers Sequence (5′-3′) | Reference |
|---|---|---|
| NF-κB |
GCAAACCTGGGAATACTTCATGTGACTAAG ATAGGCAAGGTCAGAATGCACCAGAAGTCC | [25] |
| TNF-α |
CACCAGCTCTGAACAGATCATGA TCAGCCCATCTTCTTCCAGATGGT | [26] |
| HO-1 |
CTAAGACCGCCTTCCTGCTC GACGAAGTGACGCCATCTGT | [27] |
| Sirt-1 |
CAC-CAG-AAA-GAA-CTT-CAC-CAC-CAG ACC-ATC-AAG-CCG-CCT-ACT-AAT-CTG | [28] |
| Nrf2 |
AAGCAGCATAGAGCAGGACA GTTGCCCACTTCTTTTTCCA | [27] |
| BAX |
CACCAGCTCTGAACAGATCATGA TCAGCCCATCTTCTTCCAGATGGT | [29] |
| Bcl-2 |
CACCCCTGGCATCTTCTCCTT AGCGTCTTCAGAGACAGCCAG | [29] |
| β-actin |
GTG GGA ATT CGT CAG AAG GAC TCC TAT GTG GAA GTC TAG AGC AAC ATA GCA CAG CTT CTC | [30] |
2.4.8. Histopathological Examination
2.4.9. Immunohistochemical Examination
2.5. Statistical Analyses
3. Results
3.1. Pharmacokinetic Analysis
3.2. In Vivo Study
3.2.1. Biochemical Markers
Effect of Orli-Nanocrystals on Cardiac Enzymes
Effect of Orli-Nanocrystals on Oxidative Stress and Antioxidant Biomarkers in Cardiac Tissue
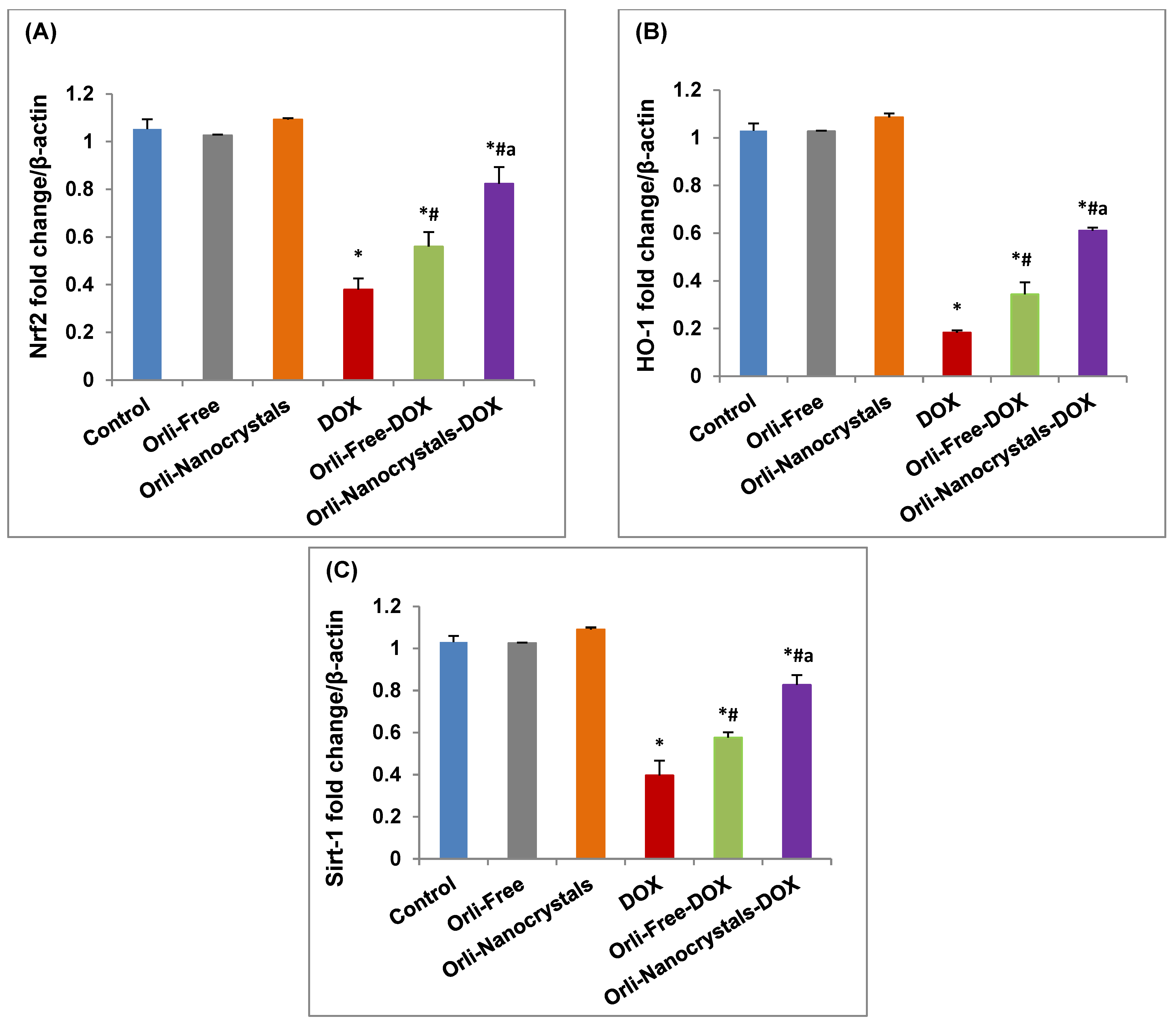
Effect of Orli-Nanocrystals on TNF-α, HO-1, and Nrf2 Content in Cardiac Tissue
3.2.2. mRNA Expression Markers
Effect of Orli-Nanocrystals on mRNA Expression of Inflammation Genes (NF-κB and TNF-α)
Effect of Orli-Nanocrystals on mRNA Expression of Apoptotic Genes (BAX and Bcl-2)
Effect of Orli-Nanocrystals on mRNA Expression of Nrf2, HO-1, and Sirt-1 Genes
3.2.3. Histological and Immunohistochemical Analysis
Effect of Orli-Nanocrystals on Cardiac Histopathological Changes
Effect of Orli-Nanocrystals on Cardiac NF-κB, BAX, Bcl2, and Sirt-1 Immunoexpression Levels
4. Discussion
5. Conclusions
Author Contributions
Funding
Institutional Review Board Statement
Informed Consent Statement
Data Availability Statement
Acknowledgments
Conflicts of Interest
References
- Qiu, Y.; Jiang, P.; Huang, Y. Anthracycline-induced cardiotoxicity: Mechanisms, monitoring, and prevention. Front. Cardiovasc. Med. 2023, 10, 1242596. [Google Scholar] [CrossRef] [PubMed]
- Wenningmann, N.; Knapp, M.; Ande, A.; Vaidya, T.R.; Ait-Oudhia, S. Insights into Doxorubicin-Induced Cardiotoxicity: Molecular Mechanisms, Preventive Strategies, and Early Monitoring. Mol. Pharmacol. 2019, 96, 219–232. [Google Scholar] [CrossRef] [PubMed]
- Rawat, P.S.; Jaiswal, A.; Khurana, A.; Bhatti, J.S.; Navik, U. Doxorubicin-Induced Cardiotoxicity: An Update on the Molecular Mechanism and Novel Therapeutic Strategies for Effective Management. Biomed. Pharmacother. 2021, 139, 111708. [Google Scholar] [CrossRef]
- Kujawska-Luczak, M.; Szulinska, M.; Skrypnik, D.; Musialik, K.; Swora-Cwynar, E.; Kregielska-Narozna, M.; Markuszewski, L.; Grzymislawska, M.; Bogdanski, P. The influence of orlistat, metformin, and diet on serum levels of insulin-like growth factor-1 in obese women with and without insulin resistance. J. Physiol. Pharmacol. 2018, 69, 737–745. [Google Scholar] [CrossRef] [PubMed]
- Zhou, X.; Chang, T.L.; Chen, S.; Liu, T.; Wang, H.; Liang, J.F. Polydopamine-Decorated Orlistat-Loaded Hollow Capsules with an Enhanced Cytotoxicity against Cancer Cell Lines. Mol. Pharm. 2019, 16, 2511–2521. [Google Scholar] [CrossRef]
- Rodriguez, A.J.; Scott, D.; Ebeling, P. Effect of weight loss induced by energy restriction on measures of arterial compliance: A systematic review and meta-analysis. Atherosclerosis 2016, 252, 201–202. [Google Scholar] [CrossRef]
- Booth, H.P.; Khan, O.; Fildes, A.; Prevost, A.T.; Reddy, M.; Charlton, J.; Gulliford, M.C.; King’s Bariatric Surgery Study Group. Changing Epidemiology of Bariatric Surgery in the UK: Cohort Study Using Primary Care Electronic Health Records. Obes. Surg. 2016, 26, 1900–1905. [Google Scholar] [CrossRef] [PubMed]
- Bakris, G.; Calhoun, D.; Egan, B.; Hellmann, C.; Dolker, M.; Kingma, I. Orlistat and resistant hypertension investigators. Orlistat improves blood pressure control in obese subjects with treated but inadequately controlled hypertension. J. Hypertens. 2002, 20, 2257–2267. [Google Scholar] [CrossRef]
- Rössner, S.; Sjöström, L.; Noack, R.; Meinders, A.E.; Noseda, G. Weight loss, weight maintenance, and improved cardiovascular risk factors after 2 years treatment with orlistat for obesity. European Orlistat Obesity Study Group. Obes. Res. 2000, 8, 49–61. [Google Scholar] [CrossRef]
- Ardissino, M.; Vincent, M.; Hines, O.; Amin, R.; Eichhorn, C.; Tang, A.R.; Collins, P.; Moussa, O.; Purkayastha, S. Long-term cardiovascular outcomes after orlistat therapy in patients with obesity: A nationwide, propensity-score matched cohort study. Eur. Heart. J. Cardiovasc. Pharmacother. 2022, 8, 179–186. [Google Scholar] [CrossRef]
- Dolenc, A.; Govedarica, B.; Dreu, R.; Kocbek, P.; Srčič, S.; Kristl, J. Nanosized Particles of Orlistat with Enhanced in Vitro Dissolution Rate and Lipase Inhibition. Int. J. Pharm. 2010, 396, 149–155. [Google Scholar] [CrossRef] [PubMed]
- Alamoudi, J.A.; El-Masry, T.A.; Nasr, M.; Ibrahim, I.T.; Ibrahim, H.A.; Saad, H.M.; El-Nagar, M.M.F.; Alshawwa, S.Z.; Alrashidi, A.; El Zahaby, E.I. Fabrication of Nanocrystals for Enhanced Distribution of a Fatty Acid Synthase Inhibitor (Orlistat) as a Promising Method to Relieve Solid Ehrlich Carcinoma-Induced Hepatic Damage in Mice. Pharmaceuticals 2024, 17, 96. [Google Scholar] [CrossRef] [PubMed]
- Rafique, S.; Das, N.G.; Das, S.K. Nanoemulsions: An Emerging Technology in Drug Delivery. In Emerging Technologies for Nanoparticle Manufacturing; Patel, J.K., Pathak, Y.V., Eds.; Springer: Cham, Switzerland, 2021. [Google Scholar] [CrossRef]
- Rossier, B.; Jordan, O.; Allémann, E.; Rodríguez-Nogales, C. Nanocrystals and nanosuspensions: An exploration from classic formulations to advanced drug delivery systems. Drug. Deliv. Transl. Res. 2024. [Google Scholar] [CrossRef] [PubMed]
- Gao, L.; Liu, G.; Ma, J.; Wang, X.; Zhou, L.; Li, X.; Wang, F. Application of drug nanocrystal technologies on oral drug delivery of poorly soluble drugs. Pharma. Res. 2013, 30, 307–324. [Google Scholar] [CrossRef]
- Yue, P.F.; Liu, Y.; Xie, J.; Chen, Y.C.; Yang, M. Review and prospect on preparation technology of drug nanocrystals in the past thirty years. Acta. Pharma. Sinica 2018, 529–537. [Google Scholar] [CrossRef]
- Ran, Q.; Wang, M.; Kuang, W.; Ouyang, J.; Han, D.; Gao, Z.; Gong, J. Advances of Combinative Nanocrystal Preparation Technology for Improving the Insoluble Drug Solubility and Bioavailability. Crystals 2022, 12, 1200. [Google Scholar] [CrossRef]
- Ye, J. General AUC Calculated Based on the Trapezoidal Rule. 2005. Available online: https://www.lexjansen.com/pharmasug-cn/2016/DS/PharmaSUG-China-2016-DS02.pdf (accessed on 16 August 2024).
- Stevens, A.J.; Martin, S.W.; Brennan, B.S.; McLachlan, A.; Gifford, L.A.; Rowlandm, M.H.J. Regional Drug Delivery II: Relationship between drug targeting index and pharmacokinetic parameters for three non-steroidal of antiinflammatory drugs using rats air pouch model of inflammation. Pharm. Res. 1995, 12, 198. [Google Scholar] [CrossRef]
- Ahmed, I.S.; Rashed, H.M.; Fayez, H.; Farouk, F.; Shamma, R.N. Nanoparticle-Mediated Dual Targeting: An Approach for Enhanced Baicalin Delivery to the Liver. Pharmaceutics 2020, 12, 107. [Google Scholar] [CrossRef] [PubMed]
- Sayyed, M.E.; El-Motaleb, M.A.; Ibrahim, I.T.; Rashed, H.M.; El-Nabarawi, M.A.; Ahmed, M.A. Preparation, Characterization, and In Vivo Biodistribution Study of Intranasal 131I-Clonazepam-Loaded Phospholipid Magnesome as a Promising Brain Delivery System: Biodistribution and Pharmacokinetic Behavior of Intranasal 131I-Clonazepam Loaded Phospholip. Eur. J. Pharm. Sci. 2022, 169, 106089. [Google Scholar] [CrossRef]
- Saleh, A.; ElFayoumi, H.M.; Youns, M.; Barakat, W. Rutin and Orlistat Produce Antitumor Effects via Antioxidant and Apoptotic Actions. Naunyn-Schmiedeberg’s Arch. Pharmacol. 2019, 392, 165–175. [Google Scholar] [CrossRef]
- Ibrahim, K.M.; Mantawy, E.M.; Elanany, M.M.; Abdelgawad, H.S.; Khalifa, N.M.; Hussien, R.H.; El-Agroudy, N.N.; El-demerdash, E. Protection from Doxorubicin-Induced Nephrotoxicity by Clindamycin: Novel Antioxidant, Anti-Inflammatory and Anti-Apoptotic Roles. Naunyn-Schmiedeberg’s Arch. Pharmacol. 2020, 393, 739–748. [Google Scholar] [CrossRef] [PubMed]
- Livak, K.J.; Schmittgen, T.D. Analysis of Relative Gene Expression Data Using Real-Time Quantitative PCR and the 2-ΔΔCT Method. Methods 2001, 25, 402–408. [Google Scholar] [CrossRef] [PubMed]
- Kermanian, F.; Soleimani, M.; Ebrahimzadeh, A.; Haghir, H.; Mehdizadeh, M. Effects of Adenosine A2a Receptor Agonist and Antagonist on Hippocampal Nuclear Factor-KB Expression Preceded by MDMA Toxicity. Metab. Brain Dis. 2013, 28, 45–52. [Google Scholar] [CrossRef]
- Braidy, N.; Poljak, A.; Grant, R.; Jayasena, T.; Mansour, H.; Chan-Ling, T.; Smythe, G.; Sachdev, P.; Guillemin, G.J. Differential Expression of Sirtuins in the Aging Rat Brain. Front. Cell. Neurosci. 2015, 9, 00167. [Google Scholar] [CrossRef] [PubMed]
- Sharawy, M.H.; El-Kashef, D.H.; Shaaban, A.A.; El-Agamy, D.S. Anti-Fibrotic Activity of Sitagliptin against Concanavalin A-induced Hepatic Fibrosis. Role of Nrf2 Activation/NF-ΚB Inhibition. Int. Immunopharmacol. 2021, 100, 108088. [Google Scholar] [CrossRef]
- Khan, H.A.; Abdelhalim, M.A.K.; Alhomida, A.S.; Al Ayed, M.S. Transient Increase in IL-1β, IL-6 and TNF-α Gene Expression in Rat Liver Exposed to Gold Nanoparticles. Genet. Mol. Res. 2013, 12, 5851–5857. [Google Scholar] [CrossRef]
- Kinouchi, S. Changes in Apoptosis-Related Genes (Bcl-2, Bax) in the Urethras of Old Female Rats Following Estrogen Replacement. Yonago Acta Med. 2003, 46, 109–115. [Google Scholar]
- Sisto, F.; Miluzio, A.; Leopardi, O.; Mirra, M.; Boelaert, J.R.; Taramelli, D. Differential Cytokine Pattern in the Spleens and Livers of BALB/c Mice Infected with Penicillium Marneffei: Protective Role of Gamma Interferon. Infect. Immun. 2003, 71, 465–473. [Google Scholar] [CrossRef]
- Feldman, T.; Wolfe, D. Histopathology Methods and Protocols. Methods Mol. Biol. 2014, 1180, 283–291. [Google Scholar] [CrossRef]
- Li, X. Doxorubicin-mediated cardiac dysfunction: Revisiting molecular interactions, pharmacological compounds, and (nano) theranostic platforms. Environ. Res. 2023, 234, 116504. [Google Scholar] [CrossRef]
- Dorostkar, H.; Haghiralsadat, B.F.; Hemati, M.; Safari, F.; Hassanpour, A.; Naghib, S.M.; Roozbahani, M.H.; Mozafari, M.R.; Moradi, A. Reduction of Doxorubicin-Induced Cardiotoxicity by Co-Administration of Smart Liposomal Doxorubicin and Free Quercetin: In Vitro and In Vivo Studies. Pharmaceutics 2023, 15, 1920. [Google Scholar] [CrossRef] [PubMed]
- Sharifiaghdam, Z.; Amini, S.M.; Dalouchi, F.; Behrooz, A.B.; Azizi, Y. Apigenin-coated gold nanoparticles as a cardioprotective strategy against doxorubicin-induced cardiotoxicity in male rats via reducing apoptosis. Heliyon 2023, 9, e14024. [Google Scholar] [CrossRef]
- Fan, C.; Joshi, J.; Li, F.; Xu, B.; Khan, M.; Yang, J.; Zhu, W. Nanoparticle-Mediated Drug Delivery for Treatment of Ischemic Heart Disease. Front. Bioeng. Biotechnol. 2020, 8, 687. [Google Scholar] [CrossRef] [PubMed]
- Bulbake, U.; Doppalapudi, S.; Kommineni, N.; Khan, W. Liposomal Formulations in Clinical Use: An Updated Review. Pharmaceutics 2017, 9, 12. [Google Scholar] [CrossRef]
- Waterhouse, D.N.; Tardi, P.G.; Mayer, L.D.; Bally, M.B. A comparison of liposomal formulations of doxorubicin with drug administered in free form: Changing toxicity profiles. Drug Saf. 2001, 24, 903–920. [Google Scholar] [CrossRef] [PubMed]
- Gabizon, A.; Shmeeda, H.; Barenholz, Y. Pharmacokinetics of Pegylated Liposomal Doxorubicin. Clin. Pharmacokinet. 2003, 42, 419–436. [Google Scholar] [CrossRef]
- Aloss, K.; Hamar, P. Recent Preclinical and Clinical Progress in Liposomal Doxorubicin. Pharmaceutics 2023, 15, 893. [Google Scholar] [CrossRef]
- Martín Giménez, V.M.; Kassuha, D.E.; Manucha, W. Nanomedicine applied to cardiovascular diseases: Latest developments. Ther. Adv. Cardiovasc. Dis. 2017, 11, 133–142. [Google Scholar] [CrossRef]
- George, T.A.; Hsu, C.C.; Meeson, A.; Lundy, D.J. Nanocarrier-Based Targeted Therapies for Myocardial Infarction. Pharmaceutics 2022, 14, 930. [Google Scholar] [CrossRef]
- Moutabian, H.; Ghahramani-Asl, R.; Mortezazadeh, T.; Laripour, R.; Narmani, A.; Zamani, H.; Ataei, G.; Bagheri, H.; Farhood, B.; Sathyapalan, T.; et al. The cardioprotective effects of nano-curcumin against doxorubicin-induced cardiotoxicity: A systematic review. BioFactors 2022, 48, 597–610. [Google Scholar] [CrossRef]
- Hao, X.; Zhu, X.; Tian, H.; Lai, G.; Zhang, W.; Zhou, H.; Liu, S. Pharmacological effect and mechanism of orlistat in anti-tumor therapy: A review. Medicine 2023, 102, e34671. [Google Scholar] [CrossRef] [PubMed]
- Wang, Y.; Li, M.; Xu, L.; Liu, J.; Wang, D.; Li, Q.; Wang, L.; Li, P.; Chen, S.; Liu, T. Expression of Bcl-2 and MicroRNAs in Cardiac Tissues of Patients with Dilated Cardiomyopathy. Mol. Med. Rep. 2017, 15, 359–365. [Google Scholar] [CrossRef] [PubMed]
- Al-Kuraishy, H.M.; Al-Gareeb, A.I. Effect of Orlistat Alone or in Combination with Garcinia Cambogia on Visceral Adiposity Index in Obese Patients. J. Intercult. Ethnopharmacol. 2016, 5, 408–414. [Google Scholar] [CrossRef]
- Othman, Z.A.; Zakaria, Z.; Suleiman, J.B.; Mustaffa, K.M.F.; Jalil, N.A.C.; Wan Ghazali, W.S.; Zulkipli, N.N.; Mohamed, M. Orlistat Mitigates Oxidative Stress-Linked Myocardial Damage via NF-κβ- and Caspase-Dependent Activities in Obese Rats. Int. J. Mol. Sci. 2022, 23, 10266. [Google Scholar] [CrossRef] [PubMed]
- Patel, A.; Patel, K.; Patel, V.; Rajput, M.S.; Patel, R.; Rajput, A. Nanocrystals: An emerging paradigm for cancer therapeutics. Futur. J. Pharm. Sci. 2024, 10, 4. [Google Scholar] [CrossRef]
- Abaszadeh, F.; Ashoub, M.H.; Amiri, M. Nanoemulsions Challenges and Future Prospects as a Drug Delivery System. In Current Trends in Green Nano-Emulsions; Husen, A., Bachheti, R.K., Bachheti, A., Eds.; Smart Nanomaterials Technology; Springer: Singapore, 2023. [Google Scholar] [CrossRef]
- Kumar, M.; Bishnoi, R.S.; Shukla, A.K.; Jain, C.P. Techniques for Formulation of Nanoemulsion Drug Delivery System: A Review. Prev. Nutr. Food. Sci. 2019, 24, 225–234. [Google Scholar] [CrossRef]
- Salatin, S.; Maleki Dizaj, S.; Yari Khosroushahi, A. Effect of the Surface Modification, Size, and Shape on Cellular Uptake of Nanoparticles. Cell Biol. Int. 2015, 39, 881–890. [Google Scholar] [CrossRef]
- Payghan, S.; Payghan, V.; Nangare, K.; Dahiwade, L.; Khavane, K.; Phalke, R. Preparation and Characterization of Orlistat Bionanocomposites Using Natural Carriers. Turkish J. Pharm. Sci. 2022, 19, 168–179. [Google Scholar] [CrossRef]
- Al Shoyaib, A.; Archie, S.R.; Karamyan, V.T. Intraperitoneal Route of Drug Administration: Should it Be Used in Experimental Animal Studies? Pharm Res. 2019, 37, 12. [Google Scholar] [CrossRef]
- Jeong, S.H.; Jang, J.H.; Lee, Y.B. Pharmacokinetic Comparison of Three Different Administration Routes for Topotecan Hydrochloride in Rats. Pharmaceuticals 2020, 13, 231. [Google Scholar] [CrossRef]
- Ghigo, A.; Li, M.; Hirsch, E. New Signal Transduction Paradigms in Anthracycline-Induced Cardiotoxicity. Biochim. Biophys. Acta-Mol. Cell Res. 2016, 1863, 1916–1925. [Google Scholar] [CrossRef] [PubMed]
- Qin, L.; Zhao, Y.; Zhang, B.; Li, Y. Amentoflavone Improves Cardiovascular Dysfunction and Metabolic Abnormalities in High Fructose and Fat Diet-Fed Rats. Food Funct. 2018, 9, 243–252. [Google Scholar] [CrossRef] [PubMed]
- Tan, G.; Lou, Z.; Liao, W.; Zhu, Z.; Dong, X.; Zhang, W.; Li, W.; Chai, Y. Potential Biomarkers in Mouse Myocardium of Doxorubicin-Induced Cardiomyopathy: A Metabonomic Method and Its Application. PLoS ONE 2011, 6, e0027683. [Google Scholar] [CrossRef] [PubMed]
- Ye, J.; Wang, Y.; Xu, Y.; Wang, Z.; Liu, L.; Wang, M.; Ye, D.; Zhang, J.; Yang, Z.; Lin, Y.; et al. Interleukin-22 Deficiency Alleviates Doxorubicin-Induced Oxidative Stress and Cardiac Injury via the P38 MAPK/Macrophage/Fizz3 Axis in Mice. Redox Biol. 2020, 36, 101636. [Google Scholar] [CrossRef] [PubMed]
- Ye, P.; Li, W.L.; Bao, L.T.; Ke, W. Mulberrin Confers Protection against Doxorubicin-Induced Cardiotoxicity via Regulating AKT Signaling Pathways in Mice. Oxid. Med. Cell. Longev. 2022, 2022, 2967142. [Google Scholar] [CrossRef] [PubMed]
- Wigner, P.; Zielinski, K.; Labieniec-Watala, M.; Marczak, A.; Szwed, M. Doxorubicin–Transferrin Conjugate Alters Mitochondrial Homeostasis and Energy Metabolism in Human Breast Cancer Cells. Sci. Rep. 2021, 11, 4544. [Google Scholar] [CrossRef]
- Kong, C.Y.; Guo, Z.; Song, P.; Zhang, X.; Yuan, Y.P.; Teng, T.; Yan, L.; Tang, Q.Z. Underlying the Mechanisms of Doxorubicin-Induced Acute Cardiotoxicity: Oxidative Stress and Cell Death. Int. J. Biol. Sci. 2022, 18, 760–770. [Google Scholar] [CrossRef]
- Shi, S.; Chen, Y.; Luo, Z.; Nie, G.; Dai, Y. Role of Oxidative Stress and Inflammation-Related Signaling Pathways in Doxorubicin-Induced Cardiomyopathy. Cell Commun. Signal. 2023, 21, 61. [Google Scholar] [CrossRef]
- Alherz, F.A.; El-Masry, T.A.; Negm, W.A.; El-Kadem, A.H. Potential Cardioprotective Effects of Amentoflavone in Doxorubicin-Induced Cardiotoxicity in Mice. Biomed. Pharmacother. 2022, 154, 113643. [Google Scholar] [CrossRef]
- Vitale, R.; Marzocco, S.; Popolo, A. Role of Oxidative Stress and Inflammation in Doxorubicin-Induced Cardiotoxicity: A Brief Account. Int. J. Mol. Sci. 2024, 25, 7477. [Google Scholar] [CrossRef]
- Deng, S.; Kruger, A.; Kleschyov, A.L.; Kalinowski, L.; Daiber, A.; Wojnowski, L. Gp91phox-Containing NAD(P)H Oxidase Increases Superoxide Formation by Doxorubicin and NADPH. Free Radic. Biol. Med. 2007, 42, 466–473. [Google Scholar] [CrossRef] [PubMed]
- Nithipongvanitch, R.; Ittarat, W.; Cole, M.P.; Tangpong, J.; St. Clair, D.K.; Oberley, T.D. Mitochondrial and Nuclear P53 Localization in Cardiomyocytes: Redox Modulation by Doxorubicin (Adriamycin)? Antioxid. Redox Signal. 2007, 9, 1001–1008. [Google Scholar] [CrossRef] [PubMed]
- Wang, H.; Wang, H.; Zhou, X.M.; Wu, L.Y.; Liu, G.J.; Xu, W.D.; Zhang, X.S.; Gao, Y.Y.; Tao, T.; Zhou, Y.; et al. Aucubin Alleviates Oxidative Stress and Inflammation via Nrf2-Mediated Signaling Activity in Experimental Traumatic Brain Injury. J. Neuroinflammation 2020, 17, 188. [Google Scholar] [CrossRef] [PubMed]
- Tian, W.; De La Vega, M.R.; Schmidlin, C.J.; Ooi, A.; Zhang, D.D. Kelch-like ECH-Associated Protein 1 (KEAP1) Differentially Regulates Nuclear Factor Erythroid-2-Related Factors 1 and 2 (NRF1 and NRF2). J. Biol. Chem. 2018, 293, 2029–2040. [Google Scholar] [CrossRef] [PubMed]
- Niture, S.K.; Kaspar, J.W.; Shen, J.; Jaiswal, A.K. Nrf2 Signaling and Cell Survival. Toxicol. Appl. Pharmacol. 2010, 244, 37–42. [Google Scholar] [CrossRef]
- Li, S.; Wang, W.; Niu, T.; Wang, H.; Li, B.; Shao, L.; Lai, Y.; Li, H.; Janicki, J.S.; Wang, X.L.; et al. Nrf2 Deficiency Exaggerates Doxorubicin-Induced Cardiotoxicity and Cardiac Dysfunction. Oxid. Med. Cell. Longev. 2014, 2014, 748524. [Google Scholar] [CrossRef]
- Jia, Z.; Nallasamy, P.; Liu, D.; Shah, H.; Li, J.Z.; Chitrakar, R.; Si, H.; McCormick, J.; Zhu, H.; Zhen, W.; et al. Luteolin Protects against Vascular Inflammation in Mice and TNF-Alpha-Induced Monocyte Adhesion to Endothelial Cells via Suppressing IKBα/NF-ΚB Signaling Pathway. J. Nutr. Biochem. 2015, 26, 293–302. [Google Scholar] [CrossRef]
- Eid, B.G.; El-Shitany, N.A. Captopril Downregulates Expression of Bax/Cytochrome C/Caspase-3 Apoptotic Pathway, Reduces Inflammation, and Oxidative Stress in Cisplatin-Induced Acute Hepatic Injury. Biomed. Pharmacother. 2021, 139, 111670. [Google Scholar] [CrossRef]
- Alcendor, R.R.; Gao, S.; Zhai, P.; Zablocki, D.; Holle, E.; Yu, X.; Tian, B.; Wagner, T.; Vatner, S.F.; Sadoshima, J. Sirt1 Regulates Aging and Resistance to Oxidative Stress in the Heart. Circ. Res. 2007, 100, 1512–1521. [Google Scholar] [CrossRef]
- Sundaresan, N.R.; Pillai, V.B.; Gupta, M.P. Emerging Roles of SIRT1 Deacetylase in Regulating Cardiomyocyte Survival and Hypertrophy. J. Mol. Cell. Cardiol. 2011, 51, 614–618. [Google Scholar] [CrossRef]
- Winnik, S.; Auwerx, J.; Sinclair, D.A.; Matter, C.M. Protective Effects of Sirtuins in Cardiovascular Diseases: From Bench to Bedside. Eur. Heart J. 2015, 36, 3404–3412. [Google Scholar] [CrossRef] [PubMed]
- Lu, T.M.; Tsai, J.Y.; Chen, Y.C.; Huang, C.Y.; Hsu, H.L.; Weng, C.F.; Shih, C.C.; Hsu, C.P. Downregulation of Sirt1 as Aging Change in Advanced Heart Failure. J. Biomed. Sci. 2014, 21, 57. [Google Scholar] [CrossRef] [PubMed]
- Panes, J.D.; Godoy, P.A.; Silva-Grecchi, T.; Celis, M.T.; Ramirez-Molina, O.; Gavilan, J.; Muñoz-Montecino, C.; Castro, P.A.; Moraga-Cid, G.; Yévenes, G.E.; et al. Changes in PGC-1α/SIRT1 Signaling Impact on Mitochondrial Homeostasis in Amyloid-Beta Peptide Toxicity Model. Front. Pharmacol. 2020, 11, 00709. [Google Scholar] [CrossRef] [PubMed]

















| Physicochemical Property | ||||
|---|---|---|---|---|
| Particle size (nm) | 329.59 ± 120.75 | |||
| Zeta potential (mV) | −27.04 | |||
| PDI | 0.277 | |||
| Aqueous solubility (µg/mL) | 363.5 ± 43.37 | |||
| Solubility in 0.1 N HCl (µg/mL) | 457.6 ± 90.35 | |||
| %Q60 (Mean ± SD, n = 3) | 99.68.0 ± 19.43 | |||
| %DE60 min | 66.18 | |||
| %dose/g heart | ||||
| Time | 0.5 | 1 | 2 | 4 |
| 99mTcOrli | 3.00 ± 0.30 | 3.50 ± 0.30 * | 2.10 ± 0.20 * | 1.30 ± 0.04 * |
| 99TcOrli-Nanocrystals | 5.60 ± 0.30 | 4.10 ± 0.30 * | 3.30 ± 0.20 * | 3.00 ± 0.40 * |
| Cmax (%dose/g Heart Tissue) | Tmax (h) | ) (%dose/g Heart Tissue. h) | (%dose/g Blood. h) | DTE | RTE | |
|---|---|---|---|---|---|---|
| 99mTcOrli | 3.5 ± 0.3 | 1 | 8.52 ± 0.5 | 8.13 ± 0.3 | 1.05 ± 0.02 | 1.61 ± 0.06 |
| 99mTcOrli- Nanocrystals | 5.6 ± 0.3 * | 0.5 | 13.73 ± 0.34 * | 20.85 ± 0.75 | 0.66 ± 0.03 * | |
| DTI | ||||||
| Time (h) | 0.5 | 1 | 2 | 4 | ||
| 1.82 ± 0.11 | 1.18 ± 0.014 | 1.66 ± 0.12 | 2.30 ± 0.2 | |||
| Group | LDH (U/L) | CK-MB (U/L) |
|---|---|---|
| Control | 141.73 ± 3.62 | 89.93 ± 0.83 |
| Orli-Free | 143.11 ± 4.64 | 88.98 ± 0.71 |
| Orli-Nanocrystals | 143.33 ± 2.98 | 88.14 ± 0.76 |
| DOX | 916.69 ± 63.55 * | 705.81 ± 19.39 * |
| Orli-Free-DOX | 596.41 ± 14.41 *# | 480.09 ± 5.63 *# |
| Orli-Nanocrystals-DOX | 355.7 ± 321.42 *#a | 277.66 ± 5.43 *#a |
Disclaimer/Publisher’s Note: The statements, opinions and data contained in all publications are solely those of the individual author(s) and contributor(s) and not of MDPI and/or the editor(s). MDPI and/or the editor(s) disclaim responsibility for any injury to people or property resulting from any ideas, methods, instructions or products referred to in the content. |
© 2024 by the authors. Licensee MDPI, Basel, Switzerland. This article is an open access article distributed under the terms and conditions of the Creative Commons Attribution (CC BY) license (https://creativecommons.org/licenses/by/4.0/).
Share and Cite
Alsunbul, M.; El-Masry, T.A.; El Zahaby, E.I.; Gaballa, M.M.S.; El-Nagar, M.M.F. Potential Protective Effect of Orlistat: A Formulation of Nanocrystals Targeting Inflammation, Oxidative Stress, and Apoptosis in an Experimental Model of Doxorubicin-Induced Cardiotoxicity. Pharmaceutics 2024, 16, 1356. https://doi.org/10.3390/pharmaceutics16111356
Alsunbul M, El-Masry TA, El Zahaby EI, Gaballa MMS, El-Nagar MMF. Potential Protective Effect of Orlistat: A Formulation of Nanocrystals Targeting Inflammation, Oxidative Stress, and Apoptosis in an Experimental Model of Doxorubicin-Induced Cardiotoxicity. Pharmaceutics. 2024; 16(11):1356. https://doi.org/10.3390/pharmaceutics16111356
Chicago/Turabian StyleAlsunbul, Maha, Thanaa A. El-Masry, Enas I. El Zahaby, Mohamed M. S. Gaballa, and Maysa M. F. El-Nagar. 2024. "Potential Protective Effect of Orlistat: A Formulation of Nanocrystals Targeting Inflammation, Oxidative Stress, and Apoptosis in an Experimental Model of Doxorubicin-Induced Cardiotoxicity" Pharmaceutics 16, no. 11: 1356. https://doi.org/10.3390/pharmaceutics16111356
APA StyleAlsunbul, M., El-Masry, T. A., El Zahaby, E. I., Gaballa, M. M. S., & El-Nagar, M. M. F. (2024). Potential Protective Effect of Orlistat: A Formulation of Nanocrystals Targeting Inflammation, Oxidative Stress, and Apoptosis in an Experimental Model of Doxorubicin-Induced Cardiotoxicity. Pharmaceutics, 16(11), 1356. https://doi.org/10.3390/pharmaceutics16111356

