Therapeutic Drug Monitoring (TDM) Implementation in Public Hospitals in Greece in 2003 and 2021: A Comparative Analysis of TDM Evolution over the Years
Abstract
:1. Introduction
2. Materials and Methods
2.1. Study Design
2.2. Questionnaire
2.3. Statistical Analysis
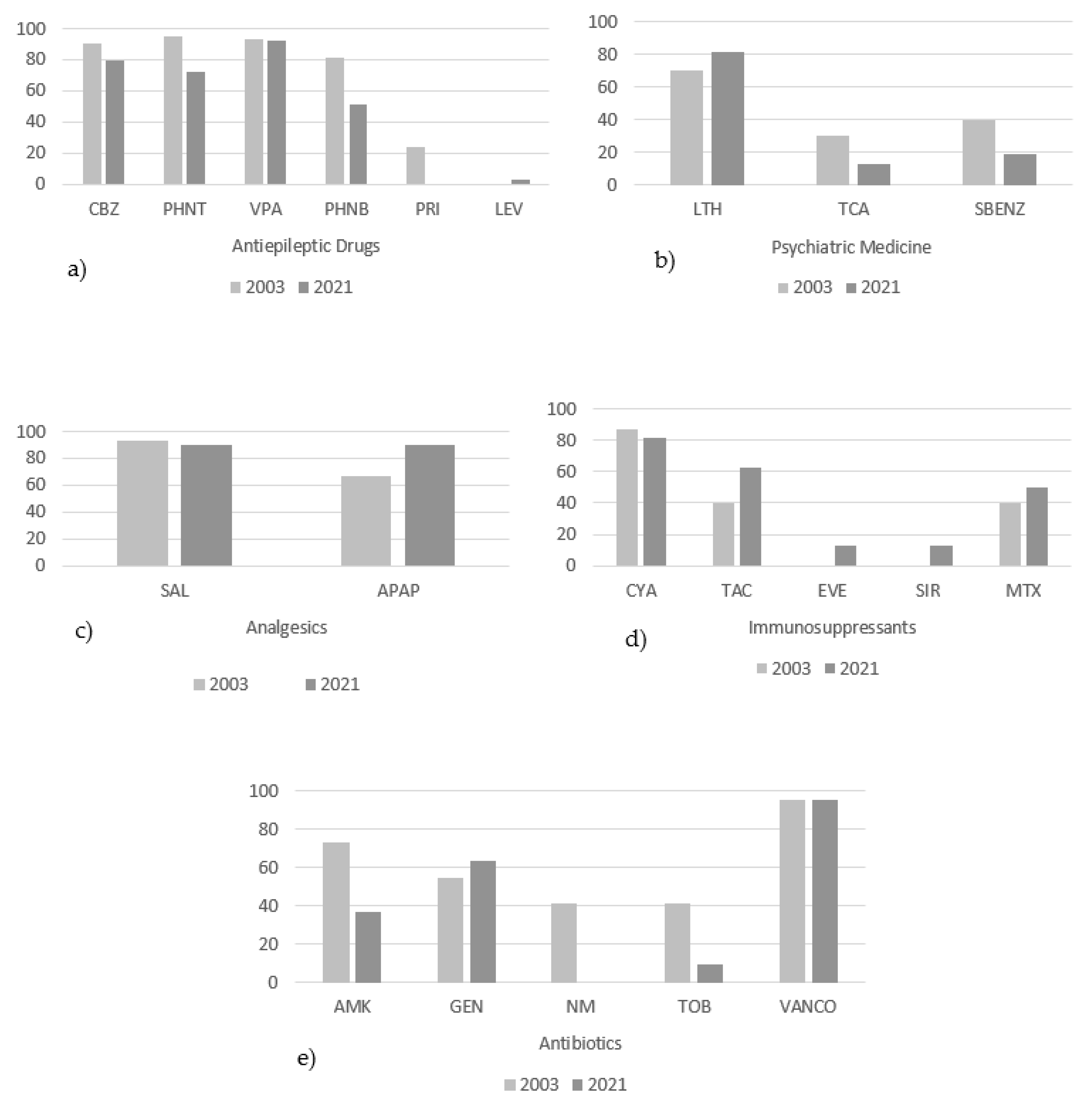
3. Results
3.1. Drug Monitoring
Hospitals Performing TDM in Both 2003 and 2021
3.2. Toxicological Analysis for Substances of Abuse
3.3. Characteristics of TDM Implementation
3.4. Pharmacogenomics
4. Discussion
5. Conclusions
Author Contributions
Funding
Institutional Review Board Statement
Informed Consent Statement
Data Availability Statement
Conflicts of Interest
References
- Finney, D.J. The Design and Logic of a Monitor of Drug Use. J. Chronic Dis. 1965, 18, 77–98. [Google Scholar] [CrossRef]
- Hiemke, C.; Bergemann, N.; Clement, H.W.; Conca, A.; Deckert, J.; Domschke, K.; Eckermann, G.; Egberts, K.; Gerlach, M.; Greiner, C.; et al. Consensus Guidelines for Therapeutic Drug Monitoring in Neuropsychopharmacology: Update 2017. Pharmacopsychiatry 2018, 51, 9–62. [Google Scholar] [CrossRef]
- Grześk, G.; Stolarek, W.; Kasprzak, M.; Krzyżanowski, M.; Szadujkis-Szadurska, K.; Wiciński, M.; Grześk, E. Therapeutic Drug Monitoring of Digoxin-20 Years of Experience. Pharmacol. Rep. 2018, 70, 184–189. [Google Scholar] [CrossRef]
- Mueller-Schoell, A.; Groenland, S.L.; Scherf-Clavel, O.; van Dyk, M.; Huisinga, W.; Michelet, R.; Jaehde, U.; Steeghs, N.; Huitema, A.D.R.; Kloft, C. Therapeutic Drug Monitoring of Oral Targeted Antineoplastic Drugs. Eur. J. Clin. Pharmacol. 2021, 77, 441–464. [Google Scholar] [CrossRef]
- Brunet, M.; van Gelder, T.; Åsberg, A.; Haufroid, V.; Hesselink, D.A.; Langman, L.; Lemaitre, F.; Marquet, P.; Seger, C.; Shipkova, M.; et al. Therapeutic Drug Monitoring of Tacrolimus-Personalized Therapy: Second Consensus Report. Ther. Drug Monit. 2019, 41, 261–307. [Google Scholar] [CrossRef]
- Bergan, S.; Brunet, M.; Hesselink, D.A.; Johnson-Davis, K.L.; Kunicki, P.K.; Lemaitre, F.; Marquet, P.; Molinaro, M.; Noceti, O.; Pattanaik, S.; et al. Personalized Therapy for Mycophenolate: Consensus Report by the International Association of Therapeutic Drug Monitoring and Clinical Toxicology. Ther. Drug Monit. 2021, 43, 150–200. [Google Scholar] [CrossRef]
- Ghiculesco, R. Abnormal Laboratory Results: Therapeutic Drug Monitoring: Which Drugs, Why, When and How to Do It. Aust. Prescr. 2008, 31, 42–44. [Google Scholar] [CrossRef]
- Pennazio, F.; Brasso, C.; Villari, V.; Rocca, P. Current Status of Therapeutic Drug Monitoring in Mental Health Treatment: A Review. Pharmaceutics 2022, 14, 2674. [Google Scholar] [CrossRef]
- Abdul-Aziz, M.H.; Alffenaar, J.-W.C.; Bassetti, M.; Bracht, H.; Dimopoulos, G.; Marriott, D.; Neely, M.N.; Paiva, J.-A.; Pea, F.; Sjovall, F.; et al. Antimicrobial Therapeutic Drug Monitoring in Critically Ill Adult Patients: A Position Paper#. Intensive Care Med. 2020, 46, 1127–1153. [Google Scholar] [CrossRef]
- Zhang, C.; Lei, J.; Liu, Y.; Wang, Y.; Huang, L.; Feng, Y. Therapeutic Drug Monitoring and Pharmacogenetic Testing in Northern China. Front. Pharmacol. 2021, 12, 754380. [Google Scholar] [CrossRef]
- Dasgupta, A. Introduction to Therapeutic Drug Monitoring. In Therapeutic Drug Monitoring; Elsevier: Amsterdam, The Netherlands, 2012; pp. 1–29. [Google Scholar] [CrossRef]
- Meneghello, A.; Tartaggia, S.; Alvau, M.D.; Polo, F.; Toffoli, G. Biosensing Technologies for Therapeutic Drug Monitoring. CMC 2018, 25, 4354–4377. [Google Scholar] [CrossRef] [PubMed]
- Zhang, Y.; Zhang, R. Recent Advances in Analytical Methods for the Therapeutic Drug Monitoring of Immunosuppressive Drugs. Drug Test. Anal. 2018, 10, 81–94. [Google Scholar] [CrossRef] [PubMed]
- Miura, M.; Takahashi, N. Routine Therapeutic Drug Monitoring of Tyrosine Kinase Inhibitors by HPLC–UV or LC–MS/MS Methods. Drug Metab. Pharmacokinet. 2016, 31, 12–20. [Google Scholar] [CrossRef]
- Ates, H.C.; Roberts, J.A.; Lipman, J.; Cass, A.E.G.; Urban, G.A.; Dincer, C. On-Site Therapeutic Drug Monitoring. Trends Biotechnol. 2020, 38, 1262–1277. [Google Scholar] [CrossRef]
- Holford, N.; Ma, G.; Metz, D. TDM Is Dead. Long Live TCI! Br. J. Clin. Pharmacol. 2022, 88, 1406–1413. [Google Scholar] [CrossRef]
- International Association of Therapeutic Drug Monitoring and Clinical Toxicology (IATDMCT) Executive Committee. Definitions of TDM & CT. Available online: https://iatdmct.org/about-us/about-association/about-definitions-tdm-ct.html (accessed on 9 March 2023).
- Gómez-Arango, C.; Gorostiza, I.; Úcar, E.; García-Vivar, M.L.; Pérez, C.E.; De Dios, J.R.; Alvarez, B.; Ruibal-Escribano, A.; Stoye, C.; Vasques, M.; et al. Cost-Effectiveness of Therapeutic Drug Monitoring-Guided Adalimumab Therapy in Rheumatic Diseases: A Prospective, Pragmatic Trial. Rheumatol. Ther. 2021, 8, 1323–1339. [Google Scholar] [CrossRef]
- Marquez-Megias, S.; Nalda-Molina, R.; Sanz-Valero, J.; Más-Serrano, P.; Diaz-Gonzalez, M.; Candela-Boix, M.R.; Ramon-Lopez, A. Cost-Effectiveness of Therapeutic Drug Monitoring of Anti-TNF Therapy in Inflammatory Bowel Disease: A Systematic Review. Pharmaceutics 2022, 14, 1009. [Google Scholar] [CrossRef]
- Ab Rahman, A.F.; Ahmed Abdelrahim, H.E.; Mohamed Ibrahim, M.I. A Survey of Therapeutic Drug Monitoring Services in Malaysia. Saudi Pharm. J. 2013, 21, 19–24. [Google Scholar] [CrossRef]
- Udomkarnjananun, S.; Francke, M.I.; De Winter, B.C.M.; Mulder, M.B.; Baan, C.C.; Metselaar, H.J.; den Hoed, C.M.; Hesselink, D.A. Therapeutic Drug Monitoring of Immunosuppressive Drugs in Hepatology and Gastroenterology. Best Pract. Res. Clin. Gastroenterol. 2021, 54–55, 101756. [Google Scholar] [CrossRef]
- John, J.; Loo, A.; Mazur, S.; Walsh, T.J. Therapeutic Drug Monitoring of Systemic Antifungal Agents: A Pragmatic Approach for Adult and Pediatric Patients. Expert Opin. Drug Metab. Toxicol. 2019, 15, 881–895. [Google Scholar] [CrossRef]
- Stockmann, C.; Roberts, J.K.; Yu, T.; Constance, J.E.; Knibbe, C.A.; Spigarelli, M.G.; Sherwin, C.M. Vancomycin Pharmacokinetic Models: Informing the Clinical Management of Drug-Resistant Bacterial Infections. Expert Rev. Anti-Infect. Ther. 2014, 12, 1371–1388. [Google Scholar] [CrossRef] [PubMed]
- Johannessen Landmark, C.; Eyal, S.; Burns, M.L.; Franco, V.; Johannessen, S.I. Pharmacological Aspects of Antiseizure Medications: From Basic Mechanisms to Clinical Considerations of Drug Interactions and Use of Therapeutic Drug Monitoring. Epileptic Disord. 2023. [Google Scholar] [CrossRef] [PubMed]
- Johannessen Landmark, C.; Johannessen, S.I.; Patsalos, P.N. Therapeutic Drug Monitoring of Antiepileptic Drugs: Current Status and Future Prospects. Expert Opin. Drug Metab. Toxicol. 2020, 16, 227–238. [Google Scholar] [CrossRef]
- Patsalos, P.N.; Spencer, E.P.; Berry, D.J. Therapeutic Drug Monitoring of Antiepileptic Drugs in Epilepsy: A 2018 Update. Ther. Drug Monit. 2018, 40, 526. [Google Scholar] [CrossRef]
- Verdier, M.-C.; Tribut, O.; Bentué-Ferrer, D. Therapeutic drug monitoring of stiripentol. Therapie 2012, 67, 157–160. [Google Scholar] [CrossRef]
- Liebchen, U.; Paal, M.; Scharf, C.; Schroeder, I.; Grabein, B.; Zander, J.; Siebers, C.; Zoller, M. The ONTAI Study–A Survey on Antimicrobial Dosing and the Practice of Therapeutic Drug Monitoring in German Intensive Care Units. J. Crit. Care 2020, 60, 260–266. [Google Scholar] [CrossRef]
- Ye, Z.-K.; Li, C.; Zhai, S.-D. Guidelines for Therapeutic Drug Monitoring of Vancomycin: A Systematic Review. PLoS ONE 2014, 9, e99044. [Google Scholar] [CrossRef]
- Imani, S.; Buscher, H.; Marriott, D.; Gentili, S.; Sandaradura, I. Too Much of a Good Thing: A Retrospective Study of β-Lactam Concentration-Toxicity Relationships. J. Antimicrob. Chemother. 2017, 72, 2891–2897. [Google Scholar] [CrossRef]
- Wong, G.; Briscoe, S.; McWhinney, B.; Ally, M.; Ungerer, J.; Lipman, J.; Roberts, J.A. Therapeutic Drug Monitoring of β-Lactam Antibiotics in the Critically Ill: Direct Measurement of Unbound Drug Concentrations to Achieve Appropriate Drug Exposures. J. Antimicrob. Chemother. 2018, 73, 3087–3094. [Google Scholar] [CrossRef]
- Caro, Y.S.; Cámara, M.S.; De Zan, M.M. A Review of Bioanalytical Methods for the Therapeutic Drug Monitoring of β-Lactam Antibiotics in Critically Ill Patients: Evaluation of the Approaches Used to Develop and Validate Quality Attributes. Talanta 2020, 210, 120619. [Google Scholar] [CrossRef]
- Koup, J.R.; Schentag, J.J.; Vance, J.W.; Kuritzky, P.M.; Pyszczynski, D.R.; Jusko, W.J. System for Clinical Pharmacokinetic Monitoring of Theophylline Therapy. Am. J. Hosp. Pharm. 1976, 33, 949–956. [Google Scholar] [PubMed]
- Henderson, A.; Wright, D.M.; Pond, S.M. Management of Theophylline Overdose Patients in the Intensive Care Unit. Anaesth. Intensive Care 1992, 20, 56–62. [Google Scholar] [CrossRef] [PubMed]
- Pashazadeh-Panahi, P.; Hasanzadeh, M. Digoxin as a Glycosylated Steroid-like Therapeutic Drug: Recent Advances in the Clinical Pharmacology and Bioassays of Pharmaceutical Compounds. Biomed. Pharmacother. 2020, 123, 109813. [Google Scholar] [CrossRef]
- Kirchhof, P.; Benussi, S.; Kotecha, D.; Ahlsson, A.; Atar, D.; Casadei, B.; Castella, M.; Diener, H.-C.; Heidbuchel, H.; Hendriks, J.; et al. 2016 ESC Guidelines for the Management of Atrial Fibrillation Developed in Collaboration with EACTS. Eur. Heart J. 2016, 37, 2893–2962. [Google Scholar] [CrossRef] [PubMed]
- Haynes, K.; Heitjan, D.; Kanetsky, P.; Hennessy, S. Declining Public Health Burden of Digoxin Toxicity From 1991 to 2004. Clin. Pharmacol. Ther. 2008, 84, 90–94. [Google Scholar] [CrossRef] [PubMed]
- Charfi, R.; Ben Sassi, M.; Gaies, E.; Jebabli, N.; Daghfous, R.; Trabelsi, S. Digoxin Therapeutic Drug Monitoring: Age Influence and Adverse Events. Tunis. Med. 2020, 98, 35–40. [Google Scholar]
- Feuerstein, J.D.; Nguyen, G.C.; Kupfer, S.S.; Falck-Ytter, Y.; Singh, S.; Gerson, L.; Hirano, I.; Nguyen, G.C.; Rubenstein, J.H.; Smalley, W.E.; et al. American Gastroenterological Association Institute Guideline on Therapeutic Drug Monitoring in Inflammatory Bowel Disease. Gastroenterology 2017, 153, 827–834. [Google Scholar] [CrossRef]
- Punyawudho, B.; Singkham, N.; Thammajaruk, N.; Dalodom, T.; Kerr, S.J.; Burger, D.M.; Ruxrungtham, K. Therapeutic Drug Monitoring of Antiretroviral Drugs in HIV-Infected Patients. Expert Rev. Clin. Pharmacol. 2016, 9, 1583–1595. [Google Scholar] [CrossRef]
- Donnerer, J.; Haas, B.J.; Kessler, H.H. Single-Measurement Therapeutic Drug Monitoring of the HIV/AIDS Drugs Abacavir, Zidovudine, Lamivudine, Efavirenz, Nevirapine, Lopinavir and Nelfinavir. Pharmacology 2008, 82, 287–292. [Google Scholar] [CrossRef]
- Rakhmanina, N.Y.; van den Anker, J.N.; Soldin, S.J.; van Schaik, R.H.; Mordwinkin, N.; Neely, M.N. Can TDM Improve Pharmacotherapy of HIV Infection in Adolescents? Ther. Drug Monit. 2010, 32, 273–281. [Google Scholar] [CrossRef]
- Fletcher, C.V.; Anderson, P.L.; Kakuda, T.N.; Schacker, T.W.; Henry, K.; Gross, C.R.; Brundage, R.C. Concentration-Controlled Compared with Conventional Antiretroviral Therapy for HIV Infection. AIDS 2002, 16, 551–560. [Google Scholar] [CrossRef] [PubMed]
- Pesce, A.; West, C. Drugs-of-Abuse Testing and Therapeutic-Drug Monitoring. MLO Med. Lab. Obs. 2011, 43, 42, 44, 46. [Google Scholar] [PubMed]
- Levine, B.; Jufer-Phipps, R. Abused and Designer Drugs and How They Escape Detection. In Handbook of Drug Monitoring Methods: Therapeutics and Drugs of Abuse; Dasgupta, A., Ed.; Humana Press: Totowa, NJ, USA, 2008; pp. 365–377. [Google Scholar] [CrossRef]
- Morris, R.G. Delivery of Therapeutic Drug Monitoring Services: Survey of Australasian Clinical Pharmacology Laboratories. Ther. Drug Monit. 1998, 20, 598. [Google Scholar] [CrossRef] [PubMed]
- Gross, A.S. Best Practice in Therapeutic Drug Monitoring. Br. J. Clin. Pharmacol. 1998, 46, 95–99. [Google Scholar] [CrossRef]
- Saint-Marcoux, F.; Sauvage, F.-L.; Marquet, P. Current Role of LC-MS in Therapeutic Drug Monitoring. Anal. Bioanal. Chem. 2007, 388, 1327–1349. [Google Scholar] [CrossRef]
- Fernández, E.L.; Parés, L.; Ajuria, I.; Bandres, F.; Castanyer, B.; Campos, F.; Farré, C.; Pou, L.; Queraltó, J.M.; To-Figueras, J. State of the Art in Therapeutic Drug Monitoring. Clin. Chem. Lab. Med. 2010, 48, 437–446. [Google Scholar] [CrossRef]
- Van Nuland, M.; Venekamp, N.; de Vries, N.; de Jong, K.A.M.; Rosing, H.; Beijnen, J.H. Development and Validation of an UPLC-MS/MS Method for the Therapeutic Drug Monitoring of Oral Anti-Hormonal Drugs in Oncology. J. Chromatogr. B 2019, 1106–1107, 26–34. [Google Scholar] [CrossRef]
- Li, X.S.; Li, S.; Wynveen, P.; Mork, K.; Kellermann, G. Development and Validation of a Specific and Sensitive LC-MS/MS Method for Quantification of Urinary Catecholamines and Application in Biological Variation Studies. Anal. Bioanal. Chem. 2014, 406, 7287–7297. [Google Scholar] [CrossRef]
- Christians, U.; Vinks, A.A.; Langman, L.J.; Clarke, W.; Wallemacq, P.; van Gelder, T.; Renjen, V.; Marquet, P.; Meyer, E.J. Impact of Laboratory Practices on Interlaboratory Variability in Therapeutic Drug Monitoring of Immunosuppressive Drugs. Ther. Drug Monit. 2015, 37, 718. [Google Scholar] [CrossRef]
- Adaway, J.E.; Keevil, B.G.; Owen, L.J. Liquid Chromatography Tandem Mass Spectrometry in the Clinical Laboratory. Ann. Clin. Biochem. 2015, 52, 18–38. [Google Scholar] [CrossRef]
- Sehrawat, K.S.; Patnaik, R.; Naik, S.; Chauhan, P.; Saha, A. Measurement of Tacrolimus: A Review of Laboratory Methods. Ann. Rom. Soc. Cell Biol. 2021, 25, 3323–3331. [Google Scholar]
- Mula, J.; Chiara, F.; Manca, A.; Palermiti, A.; Maiese, D.; Cusato, J.; Simiele, M.; De Rosa, F.G.; Di Perri, G.; De Nicolò, A.; et al. Analytical Validation of a Novel UHPLC-MS/MS Method for 19 Antibiotics Quantification in Plasma: Implementation in a LC-MS/MS Kit. Biomed. Pharmacother. 2023, 163, 114790. [Google Scholar] [CrossRef] [PubMed]
- Manolopoulos, V.G. Pharmacogenomics and Adverse Drug Reactions in Diagnostic and Clinical Practice. Clin. Chem. Lab. Med. 2007, 45, 801–814. [Google Scholar] [CrossRef] [PubMed]
- Squassina, A.; Manchia, M.; Manolopoulos, V.G.; Artac, M.; Lappa-Manakou, C.; Karkabouna, S.; Mitropoulos, K.; Del Zompo, M.; Patrinos, G.P. Realities and Expectations of Pharmacogenomics and Personalized Medicine: Impact of Translating Genetic Knowledge into Clinical Practice. Pharmacogenomics 2010, 11, 1149–1167. [Google Scholar] [CrossRef] [PubMed]
- Kabbani, D.; Akika, R.; Wahid, A.; Daly, A.K.; Cascorbi, I.; Zgheib, N.K. Pharmacogenomics in Practice: A Review and Implementation Guide. Front. Pharmacol. 2023, 14, 1189976. [Google Scholar] [CrossRef]
- Albers, L.J.; Ozdemir, V. Pharmacogenomic-Guided Rational Therapeutic Drug Monitoring: Conceptual Framework and Application Platforms for Atypical Antipsychotics. Curr. Med. Chem. 2004, 11, 297–312. [Google Scholar] [CrossRef]
- Brown, J.T.; Bishop, J.R.; Schneiderhan, M.E. Using Pharmacogenomics and Therapeutic Drug Monitoring to Guide Drug Selection and Dosing in Outpatient Mental Health Comprehensive Medication Management. Ment. Health Clin. 2020, 10, 254–258. [Google Scholar] [CrossRef]






| Year 2003 | Year 2021 | |
|---|---|---|
| Greek hospitals included in analysis (n) | 113 | 98 |
| Performing TDM (n, %) | 64 (56.6) | 51 (52.0) |
| Greek hospitals included in analysis (n) | 112 | 97 |
| Performing Toxicological Analyses (n, %) Yes | 9 (8) | 6 (6.2) |
| Drugs | 2003 (n = 64) | 2021 (n = 50) | p-Value * | ||
|---|---|---|---|---|---|
| N | % | Ν | % | ||
| Carbamazepine | 38 | 59.4% | 31 | 62.0% | 0.265 |
| Phenytoin | 40 | 62.5% | 28 | 56.0% | 0.050 † |
| Valproic Acid | 39 | 60.9% | 36 | 72.0% | 0.728 |
| Phenobarbital | 34 | 53.1% | 20 | 40.0% | 0.016 † |
| Lithium | 14 | 21.9% | 13 | 26.0% | 0.999 |
| Tricyclic Antidepressants | 6 | 9.4% | 2 | 4.0% | 0.125 |
| Aminoglycosides | 3 | 4.7% | 0 | 0 | - |
| Amikacin | 16 | 25.0% | 8 | 16.0% | 0.057 |
| Gentamycin | 12 | 18.8% | 14 | 28.0% | 0.815 |
| Tobramycin | 9 | 14.1% | 2 | 4.0% | 0.065 |
| Vancomycin | 21 | 32.8% | 21 | 42.0% | - |
| Digoxin | 52 | 81.3% | 37 | 74.0% | 0.038 † |
| Cyclosporine | 13 | 20.3% | 13 | 26.0% | - |
| Tacrolimus | 6 | 9.4% | 10 | 20.0% | 0.289 |
| Theophylline | 26 | 40.6% | 7 | 14.0% | <0.001 ‡ |
| Salicylate | 14 | 21.9% | 9 | 18.0% | 0.302 |
| Acetaminophen | 10 | 15.6% | 9 | 18.0% | - |
| Cortisol | 5 | 7.8% | 1 | 2.0% | 0.125 |
| Benzodiazepines Serum | 8 | 12.5% | 3 | 6% | 0.125 |
| Methotrexate | 6 | 9.4% | 8 | 16% | 0.687 |
| Insulin | 2 | 3.1% | 0 | 0 | - |
| Primidone | 10 | 15.6% | 0 | 0 | - |
| Topiramate | 1 | 1.6% | 0 | 0 | - |
| Procainamide | 1 | 1.6% | 0 | 0 | - |
| Netilmicin | 9 | 14.1% | 0 | 0 | - |
| Everolimus | 0 | 0 | 2 | 4% | - |
| Sirolimus | 0 | 0 | 2 | 4% | - |
| Teicoplanin | 1 | 1.6% | 0 | 0 | - |
| Levetiracetam | 0 | 0 | 1 | 2.0% | - |
| Digitoxin | 1 | 1.6% | 0 | 0 | - |
| Amiodarone | 1 | 1.6% | 0 | 0 | - |
| Quinidine | 1 | 1.6% | 0 | 0 | - |
| Ethosuximide | 3 | 4.7% | 0 | 0 | - |
| 2003 (n = 64) | 2021 (n = 50) | ||||
|---|---|---|---|---|---|
| Total | Mean (SD) | Total | Mean (SD) | d (%) | |
| Digoxin | 38,439 | 600.6 (1080) | 6440 | 128.8 (155.2) | −31,999 (83.2) |
| Valproic Acid | 17,992 | 281.1 (431.5) | 12,998 | 260.0 (342.5) | −4994 (27.8) |
| Cyclosporine | 15,263 | 238.5 (856.1) | 7500 | 150.0 (475.8) | −7763 (50.9) |
| Phenytoin | 13,113 | 204.9 (334.3) | 4709 | 94.2 (175.2) | −8404 (64.1) |
| Carbamazepine | 11,374 | 177.7 (278.4) | 2035 | 40.7 (53.5) | −9339 (82.1) |
| Tacrolimus | 9470 | 148.0 (535.7) | 7755 | 155.1 (711.5) | −1715 (18.1) |
| Amikacin | 6314 | 98.7 (303.5) | 3399 | 68.0 (354.7) | −2915 (46.2) |
| Phenobarbital | 6292 | 98.3 (238.5) | 1508 | 30.2 (57.3) | −4784 (76) |
| Theophylline | 5276 | 82.4 (186.3) | 419 | 8.4 (32.3) | −4857 (92.1) |
| Salicylate | 3289 | 51.4 (209) | 1058 | 21.2 (74.3) | −2231 (67.8) |
| Benzodiazepines | 2690 | 42.0 (198.3) | 646 | 12.9 (84.8) | −2044 (76) |
| Lithium | 2506 | 39.2 (160) | 1163 | 23.3 (57.2) | −1343 (53.6) |
| Methotrexate | 1743 | 27.2 (114.9) | 1407 | 28.1 (81.2) | −336 (19.3) |
| Tricyclic Antidepressants | 1651 | 25.8 (141.2) | 715 | 14.3 (71.3) | −936 (56.7) |
| Cortisol | 1605 | 25.1 (115.8) | 1 | 0 | −1604 (99.9) |
| Netilmicin | 916 | 14.3 (40.8) | 0 | 0 | −916 (100) |
| Tobramycin | 915 | 14.3 (51) | 63 | 1.3 (6.7) | −852 (93.1) |
| Primidone | 419 | 6.5 (26.5) | 0 | 0 | −419 (100) |
| Aminoglycosides | 270 | 4.2 (19.4) | 0 | 0 | −270 (100) |
| Amiodarone | 140 | 2.2 (17.5) | 0 | 0 | −140 (100) |
| Ethosuximide | 135 | 2.1 (12.8) | 0 | 0 | −135 (100) |
| Quinidine | 100 | 1.6 (12.5) | 0 | 0 | −100 (100) |
| Procainamide | 70 | 1.1 (8.8) | 0 | 0 | −70 (100) |
| Teicoplanin | 30 | 0.5 (3.8) | 0 | 0 | −30 (100) |
| Digitoxin | 30 | 0.5 (3.8) | 0 | 0 | −30 (100) |
| Topiramate | 10 | 0.2 (1.3) | 0 | 0 | −10 (100) |
| Insulin | 6 | 0.1 (0.6) | 0 | 0 | −6 (100) |
| Vancomycin | 8507 | 132.9 (438.6) | 29,459 | 589.2 (1433.8) | +20,952 (71.1) |
| Gentamycin | 3997 | 62.5 (273.4) | 6503 | 130.1 (332) | +2506 (38.5) |
| Acetaminophen | 751 | 11.7 (36.1) | 1145 | 22.9 (76.3) | +394 (34.4) |
| Everolimus | 0 | 0 | 850 | 17.0 (87.8) | +850 (100) |
| Sirolimus | 0 | 0 | 287 | 5.7 (30.6) | +287 (100) |
| Levetiracetam | 0 | 0 | 5 | 0.1 (0.7) | +5 (100) |
| Drugs | 2003 (n = 35) | 2021 (n = 35) | p-Value * | d (%) |
|---|---|---|---|---|
| Carbamazepine | 198.8 (46.6) | 46.6 (10.1) | <0.001 ⁑ | −76.4 |
| Phenytoin | 253.6 (59) | 120 (34.3) | 0.001 ⁑ | −52.8 |
| Valproic Acid | 315.2 (64.2) | 313.3 (66.2) | 0.981 | −0.6 |
| Phenobarbital | 97.9 (30.8) | 36.7 (11) | 0.069 | −62.2 |
| Lithium | 22.6 (11.1) | 28.3 (11.1) | 0.625 | −25.2 |
| Tricyclic Antidepressants | 16.3 (10.2) | 20.4 (14.3) | 0.686 | +25.2 |
| Amikacin | 147.3 (65.2) | 91.1 (71.4) | 0.033 † | −38 |
| Gentamycin | 107.2 (61.6) | 143.4 (61.2) | 0.438 | +33.8 |
| Tobramycin | 16 (7) | 0.57 (0.6) | 0.017 † | −96.2 |
| Vancomycin | 206.1 (96.1) | 789.1 (282.8) | 0.012 † | +282.9 |
| Digoxin | 783.2 (226.70) | 165.9 (28.9) | <0.001 ⁑ | −78.8 |
| Cyclosporine | 337.2 (170.3) | 179.6 (92.6) | 0.311 | −46.6 |
| Tacrolimus | 122.3 (66.8) | 214.2 (143.1) | 0.484 | +75.1 |
| Theophylline | 71.5 (28.7) | 11.9 (6.4) | 0.004 ‡ | −83.3 |
| Salicylate | 45.7 (18.4) | 29.3 (14.8) | 0.414 | −35.9 |
| Acetaminophen | 18.7 (7.9) | 31.5 (15.2) | 0.209 | +68.5 |
| Cortisol | 41.4 (26) | 0.03 (0.03) | 0.068 | −99.9 |
| Benzodiazepines serum | 34.9 (19.9) | 17.9 (17.1) | 0.249 | −48.7 |
| Methotrexate | 29.2 (16.7) | 37.7 (16.1) | 0.735 | +29.1 |
| 2003 | 2021 | |
|---|---|---|
| n = 113 | n = 98 | |
| N (%) | N (%) | |
| Laboratory Type | ||
| Biochemistry | 42 (37.2) | 40 (40.8) |
| Microbiology | 13 (11.5) | 4 (4.1) |
| Pharmacology | 6 (5.3) | 3 (3.1) |
| Biopathology | 2 (1.8) | - |
| Toxicology | 1 (0.9) | 1 (1) |
| Immunology | - | 3 (3.1) |
| Hormonology | 1 (0.9) | |
| External Lab/Other Hospital | 20 (17.7) | 17 (17.3) |
| N/A | 28 (24.8) | 30 (30.6) |
| Laboratory staff a | n = 242 | n = 260 |
| Physicians | 69 (28.5) | 56 (21.5) |
| Pharmacists | 14 (5.8) | 1 (0.4) |
| Chemists | 30 (12.4) | 44 (16.9) |
| Biologists | 13 (5.4) | 37 (14.2) |
| Biochemists | 8 (3.3) | 16 (6.15) |
| Lab Technicians | 108 (44.6) | 106 (61.5) |
Disclaimer/Publisher’s Note: The statements, opinions and data contained in all publications are solely those of the individual author(s) and contributor(s) and not of MDPI and/or the editor(s). MDPI and/or the editor(s) disclaim responsibility for any injury to people or property resulting from any ideas, methods, instructions or products referred to in the content. |
© 2023 by the authors. Licensee MDPI, Basel, Switzerland. This article is an open access article distributed under the terms and conditions of the Creative Commons Attribution (CC BY) license (https://creativecommons.org/licenses/by/4.0/).
Share and Cite
Voulgaridou, G.; Paraskeva, T.; Ragia, G.; Atzemian, N.; Portokallidou, K.; Kolios, G.; Arvanitidis, K.; Manolopoulos, V.G. Therapeutic Drug Monitoring (TDM) Implementation in Public Hospitals in Greece in 2003 and 2021: A Comparative Analysis of TDM Evolution over the Years. Pharmaceutics 2023, 15, 2181. https://doi.org/10.3390/pharmaceutics15092181
Voulgaridou G, Paraskeva T, Ragia G, Atzemian N, Portokallidou K, Kolios G, Arvanitidis K, Manolopoulos VG. Therapeutic Drug Monitoring (TDM) Implementation in Public Hospitals in Greece in 2003 and 2021: A Comparative Analysis of TDM Evolution over the Years. Pharmaceutics. 2023; 15(9):2181. https://doi.org/10.3390/pharmaceutics15092181
Chicago/Turabian StyleVoulgaridou, Gavriela, Theodora Paraskeva, Georgia Ragia, Natalia Atzemian, Konstantina Portokallidou, George Kolios, Konstantinos Arvanitidis, and Vangelis G. Manolopoulos. 2023. "Therapeutic Drug Monitoring (TDM) Implementation in Public Hospitals in Greece in 2003 and 2021: A Comparative Analysis of TDM Evolution over the Years" Pharmaceutics 15, no. 9: 2181. https://doi.org/10.3390/pharmaceutics15092181
APA StyleVoulgaridou, G., Paraskeva, T., Ragia, G., Atzemian, N., Portokallidou, K., Kolios, G., Arvanitidis, K., & Manolopoulos, V. G. (2023). Therapeutic Drug Monitoring (TDM) Implementation in Public Hospitals in Greece in 2003 and 2021: A Comparative Analysis of TDM Evolution over the Years. Pharmaceutics, 15(9), 2181. https://doi.org/10.3390/pharmaceutics15092181

