Impact of Tablet Size and Shape on the Swallowability in Older Adults
Abstract
1. Introduction
2. Materials and Methods
2.1. Manufacturing of Placebo Tablets
2.2. Swallowability Assessment
2.3. Study Population
2.4. Data Analysis
2.5. Statistical Analysis
3. Results
3.1. Study Population
3.2. Swallowability Assessment
3.2.1. Acceptability of Tablets for Short- and Long-Term Intake
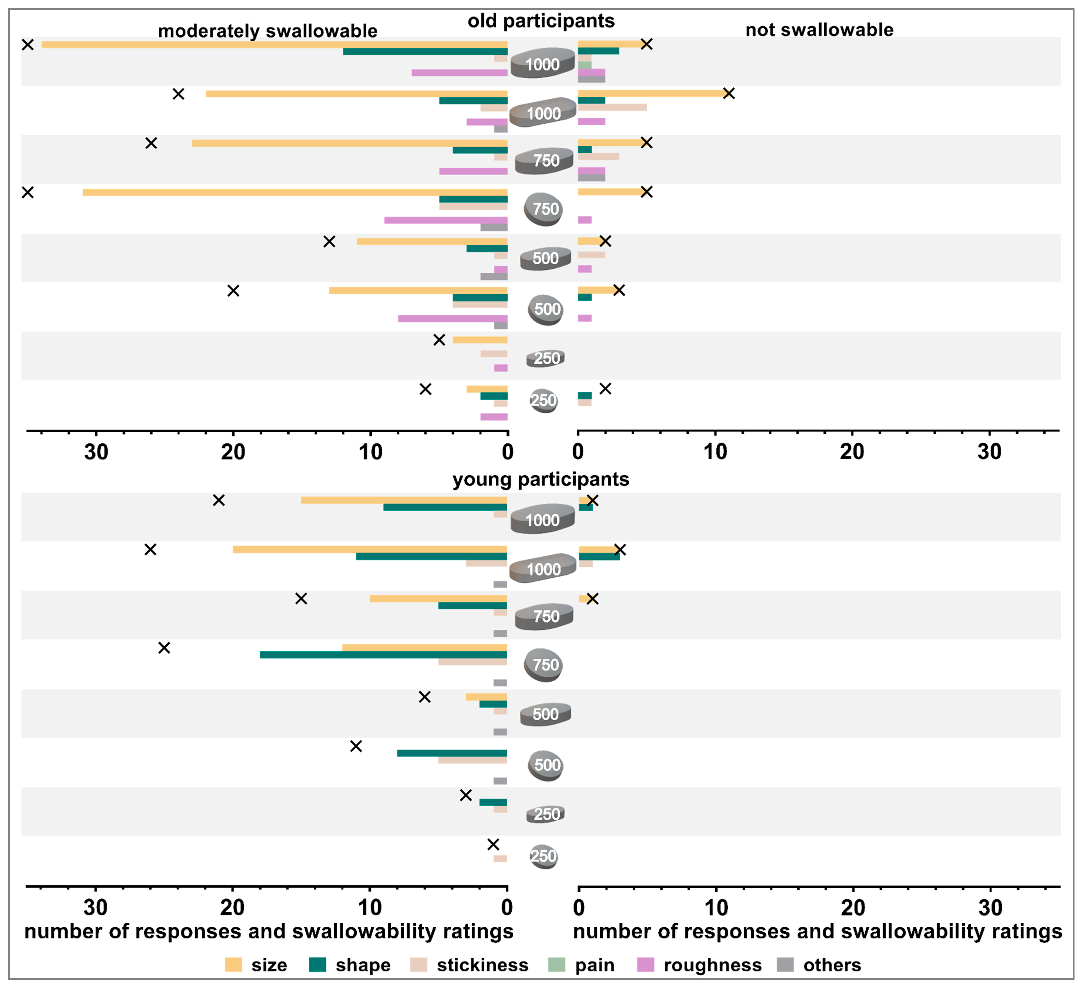
3.2.2. Reasons for Poor Swallowability
3.2.3. Characteristics Describing the Deglutition Process
4. Discussion
5. Conclusions
Supplementary Materials
Author Contributions
Funding
Institutional Review Board Statement
Informed Consent Statement
Acknowledgments
Conflicts of Interest
References
- U.N. World Population Prospects 2022. Available online: https://population.un.org/wpp/Download/Standard/MostUsed/ (accessed on 23 November 2022).
- EMA Reflection Paper on the Pharmaceutical Development of Medicines for Use in the Older Population. Available online: https://www.ema.europa.eu/en/documents/scientific-guideline/reflection-paper-pharmaceutical-development-medicines-use-older-population-first-version_en.pdf (accessed on 2 October 2021).
- EMA Guideline on Pharmaceutical Development of Medicines for Paediatric Use. Available online: https://www.ema.europa.eu/en/documents/scientific-guideline/guideline-pharmaceutical-development-medicines-paediatric-use_en.pdf (accessed on 22 December 2022).
- Stegemann, S.; Ternik, R.L.; Onder, G.; Khan, M.A.; van Riet-Nales, D.A. Defining Patient Centric Pharmaceutical Drug Product Design. Aaps J. 2016, 18, 1047–1055. [Google Scholar] [CrossRef] [PubMed]
- Stegemann, S.; Sheehan, L.; Rossi, A.; Barrett, A.; Paudel, A.; Crean, A.; Ruiz, F.; Bresciani, M.; Liu, F.; Shariff, Z.; et al. Rational and Practical Considerations to Guide a Target Product Profile for Patient-Centric Drug Product Development with Measurable Patient Outcomes—A Proposed Roadmap. Eur. J. Pharm. Biopharm. 2022, 177, 81–88. [Google Scholar] [CrossRef] [PubMed]
- Roller-Wirnsberger, R.; Thurner, B.; Pucher, C.; Lindner, S.; Wirnsberger, G.H. The Clinical and Therapeutic Challenge of Treating Older Patients in Clinical Practice. Br. J. Clin. Pharmacol. 2020, 86, 1904–1911. [Google Scholar] [CrossRef] [PubMed]
- Stegemann, S.; Gosch, M.; Breitkreutz, J. Swallowing Dysfunction and Dysphagia Is an Unrecognized Challenge for Oral Drug Therapy. Int. J. Pharm. 2012, 430, 197–206. [Google Scholar] [CrossRef]
- Liu, F.; Ranmal, S.; Batchelor, H.K.; Orlu-Gul, M.; Ernest, T.B.; Thomas, I.W.; Flanagan, T.; Tuleu, C. Patient-Centered Pharmaceutical Design to Improve Acceptability of Medicines: Similarities and Differences in Paediatric and Geriatric Populations. Drugs 2014, 74, 1871–1889. [Google Scholar] [CrossRef] [PubMed]
- Perrie, Y.; Badhan, R.K.S.; Kirby, D.J.; Lowry, D.; Mohammed, A.R.; Ouyang, D. The Impact of Ageing on the Barriers to Drug Delivery. J. Control. Release 2012, 161, 389–398. [Google Scholar] [CrossRef]
- Ruiz, F.; Vallet, T.; Wojcicki, A.D.; Belissa, É.; Fontan, J.-E.; de Pontual, L.; Nathanson, S.; Chevallier, A.; Laribe-Caget, S.; Boudy, V. Dosage Form Suitability in Vulnerable Populations: A Focus on Paracetamol Acceptability from Infants to Centenarians. PLoS ONE 2019, 14, e0221261. [Google Scholar] [CrossRef]
- Vallet, T.; Michelon, H.; Orlu, M.; Jani, Y.; Leglise, P.; Laribe-Caget, S.; Piccoli, M.; Fur, A.L.; Liu, F.; Ruiz, F.; et al. Acceptability in the Older Population: The Importance of an Appropriate Tablet Size. Pharm 2020, 12, 746. [Google Scholar] [CrossRef]
- Shariff, Z.; Kirby, D.; Missaghi, S.; Rajabi-Siahboomi, A.; Maidment, I. Patient-Centric Medicine Design: Key Characteristics of Oral Solid Dosage Forms That Improve Adherence and Acceptance in Older People. Pharm 2020, 12, 905. [Google Scholar] [CrossRef]
- Notenboom, K.; Leufkens, H.G.; Vromans, H.; Bouvy, M.L. Learning from Patients: Identifying Design Features of Medicines That Cause Medication Use Problems. Int. J. Pharm. 2017, 517, 128–134. [Google Scholar] [CrossRef]
- Andersen, O.; Zweidorff, O.; Hjelde, T.; Rødland, E. Problems When Swallowing Tablets. A Questionnaire Study from General Practice. Tidsskr. Den Nor. Laegeforening Tidsskr. Prakt. Med. 1995, 115, 947–949. [Google Scholar]
- Drumond, N.; Stegemann, S. Better Medicines for Older Patients: Considerations between Patient Characteristics and Solid Oral Dosage Form Designs to Improve Swallowing Experience. Pharm 2020, 13, 32. [Google Scholar] [CrossRef]
- Miura, H.; Kariyasu, M. Effect of Size of Tablets on Easiness of Swallowing and Handling among the Frail Elderly. Nippon Ronen Igakkai Zasshi Jpn. J. Geriatr. 2007, 44, 627–633. [Google Scholar] [CrossRef]
- Liu, F.; Ghaffur, A.; Bains, J.; Hamdy, S. Acceptability of Oral Solid Medicines in Older Adults with and without Dysphagia: A Nested Pilot Validation Questionnaire Based Observational Study. Int. J. Pharm. 2016, 512, 374–381. [Google Scholar] [CrossRef]
- Schiele, J.T.; Quinzler, R.; Klimm, H.-D.; Pruszydlo, M.G.; Haefeli, W.E. Difficulties Swallowing Solid Oral Dosage Forms in a General Practice Population: Prevalence, Causes, and Relationship to Dosage Forms. Eur. J. Clin. Pharmacol. 2013, 69, 937–948. [Google Scholar] [CrossRef] [PubMed]
- Overgaard, A.B.A.; Møller-Sonnergaard, J.; Christrup, L.L.; Højsted, J.; Hansen, R. Patients’ Evaluation of Shape, Size and Colour of Solid Dosage Forms. Pharm. World Sci. 2001, 23, 185–188. [Google Scholar] [CrossRef] [PubMed]
- Walsh, J.; Ranmal, S.R.; Ernest, T.B.; Liu, F. Patient Acceptability, Safety and Access: A Balancing Act for Selecting Age-Appropriate Oral Dosage Forms for Paediatric and Geriatric Populations. Int. J. Pharm. 2018, 536, 547–562. [Google Scholar] [CrossRef] [PubMed]
- Ranmal, S.R.; O’Brien, F.; Lopez, F.; Ruiz, F.; Orlu, M.; Tuleu, C.; Walsh, J.; Liu, F. Methodologies for Assessing the Acceptability of Oral Formulations among Children and Older Adults: A Systematic Review. Drug Discov. Today 2018, 23, 830–847. [Google Scholar] [CrossRef]
- Shariff, Z.B.; Dahmash, D.T.; Kirby, D.J.; Missaghi, S.; Rajabi-Siahboomi, A.; Maidment, I.D. Does the Formulation of Oral Solid Dosage Forms Affect Acceptance and Adherence in Older Patients? A Mixed Methods Systematic Review. J. Am. Med. Dir. Assoc. 2020, 21, 1015–1023.e8. [Google Scholar] [CrossRef] [PubMed]
- Hofmanová, J.K.; Rajabi-Siahboomi, A.; Haque, S.; Mason, J.; Teckoe, J.; To, D.; Batchelor, H.K. Developing Methodology to Evaluate the Oral Sensory Features of Pharmaceutical Tablet Coatings. Int. J. Pharm. 2019, 562, 212–217. [Google Scholar] [CrossRef] [PubMed]
- Bogdahn, M.; Torner, J.; Krause, J.; Grimm, M.; Weitschies, W. Influence of the Geometry of 3D Printed Solid Oral Dosage Forms on Their Swallowability. Eur. J. Pharm. Biopharm. 2021, 167, 65–72. [Google Scholar] [CrossRef] [PubMed]
- Oshima, T.; Hori, S.; Maida, C.; Miyamoto, E. Effect of Size and Shape of Tablets and Capsules on Ease of Grasping and Swallowing (1): Comparison between Elderly and Students. Iryo Yakugaku Jpn. J. Pharm. Health Care Sci. 2006, 32, 842–848. [Google Scholar] [CrossRef]
- Yamamoto, S.; Taniguchi, H.; Hayashi, H.; Hori, K.; Tsujimura, T.; Nakamura, Y.; Sato, H.; Inoue, M. How Do Tablet Properties Influence Swallowing Behaviours? J. Pharm. Pharmacol. 2014, 66, 32–39. [Google Scholar] [CrossRef]
- Schiele, J.T.; Penner, H.; Schneider, H.; Quinzler, R.; Reich, G.; Wezler, N.; Micol, W.; Oster, P.; Haefeli, W.E. Swallowing Tablets and Capsules Increases the Risk of Penetration and Aspiration in Patients with Stroke-Induced Dysphagia. Dysphagia 2015, 30, 571–582. [Google Scholar] [CrossRef]
- Shulman, K.I.; Shedletsky, R.; Silver, I.L. The Challenge of Time: Clock-drawing and Cognitive Function in the Elderly. Int. J. Geriat. Psychiatry 1986, 1, 135–140. [Google Scholar] [CrossRef]
- Folstein, M.F.; Folstein, S.E.; McHugh, P.R. “Mini-Mental State” A Practical Method for Grading the Cognitive State of Patients for the Clinician. J. Psychiatry Res. 1975, 12, 189–198. [Google Scholar] [CrossRef]
- Daniels, S.K.; Ballo, L.A.; Mahoney, M.-C.; Foundas, A.L. Clinical Predictors of Dysphagia and Aspiration Risk: Outcome Measures in Acute Stroke Patients. Arch. Phys. Med. Rehabil. 2000, 81, 1030–1033. [Google Scholar] [CrossRef]
- Daniels, S.K.; Brailey, K.; Priestly, D.H.; Herrington, L.R.; Weisberg, L.A.; Foundas, A.L. Aspiration in Patients with Acute Stroke. Arch. Phys. Med. Rehabil. 1998, 79, 14–19. [Google Scholar] [CrossRef]
- Benjamini, Y.; Hochberg, Y. Controlling the False Discovery Rate: A Practical and Powerful Approach to Multiple Testing. J. R. Stat. Soc. Ser. B Methodol. 1995, 57, 289–300. [Google Scholar] [CrossRef]
- Benjamini, Y.; Yekutieli, D. False Discovery Rate–Adjusted Multiple Confidence Intervals for Selected Parameters. J. Am. Stat. Assoc. 2005, 100, 71–81. [Google Scholar] [CrossRef]
- Swanlund, S.L. Successful Cardiovascular Medication Management Processes as Perceived by Community-Dwelling Adults over Age 74. Appl. Nurs. Res. 2010, 23, 22–29. [Google Scholar] [CrossRef]
- Charlesworth, C.J.; Smit, E.; Lee, D.S.H.; Alramadhan, F.; Odden, M.C. Polypharmacy Among Adults Aged 65 Years and Older in the United States: 1988–2010. J. Gerontol. Ser. 2015, 70, 989–995. [Google Scholar] [CrossRef]
- Schöttker, B.; Saum, K.-U.; Muhlack, D.C.; Hoppe, L.K.; Holleczek, B.; Brenner, H. Polypharmacy and Mortality: New Insights from a Large Cohort of Older Adults by Detection of Effect Modification by Multi-Morbidity and Comprehensive Correction of Confounding by Indication. Eur. J. Clin. Pharmacol. 2017, 73, 1041–1048. [Google Scholar] [CrossRef]
- Gnjidic, D.; Hilmer, S.N.; Blyth, F.M.; Naganathan, V.; Cumming, R.G.; Handelsman, D.J.; McLachlan, A.J.; Abernethy, D.R.; Banks, E.; Couteur, D.G.L. High-Risk Prescribing and Incidence of Frailty Among Older Community-Dwelling Men. Clin. Pharmacol. Ther. 2012, 91, 521–528. [Google Scholar] [CrossRef] [PubMed]
- Barnett, K.; Mercer, S.W.; Norbury, M.; Watt, G.; Wyke, S.; Guthrie, B. Epidemiology of Multimorbidity and Implications for Health Care, Research, and Medical Education: A Cross-Sectional Study. Lancet 2012, 380, 37–43. [Google Scholar] [CrossRef] [PubMed]
- Vallet, T.; Belissa, E.; Laribe-Caget, S.; Chevallier, A.; Chedhomme, F.-X.; Leglise, P.; Piccoli, M.; Michelon, H.; Bloch, V.; Meaume, S.; et al. A Decision Support Tool Facilitating Medicine Design for Optimal Acceptability in The Older Population. Pharm. Res. 2018, 35, 136. [Google Scholar] [CrossRef] [PubMed]
- Jain, S.; Rosenbaum, P.R.; Reiter, J.G.; Ramadan, O.I.; Hill, A.S.; Hashemi, S.; Brown, R.T.; Kelz, R.R.; Fleisher, L.A.; Silber, J.H. Defining Multimorbidity in Older Patients Hospitalized with Medical Conditions. J. Gen. Intern. Med. 2022, 1–10. [Google Scholar] [CrossRef]
- Clavé, P.; Rofes, L.; Carrión, S.; Ortega, O.; Cabré, M.; Serra-Prat, M.; Arreola, V. Pathophysiology, Relevance and Natural History of Oropharyngeal Dysphagia among Older People. Nestlé Nutr. Inst. Work Ser. 2012, 72, 57–66. [Google Scholar] [CrossRef]
- Lau, E.T.L.; Steadman, K.J.; Mak, M.; Cichero, J.A.Y.; Nissen, L.M. Prevalence of Swallowing Difficulties and Medication Modification in Customers of Community Pharmacists. J. Pharm. Pract. Res. 2015, 45, 18–23. [Google Scholar] [CrossRef]
- Souza, L.F.; Nascimento, W.V.; Alves, L.M.T.; Silva, A.C.V.; Cassiani, R.A.; Alves, D.C.; Dantas, R.O. Medication Swallowing Difficulties in People without Dysphagia. Rev. Cefac 2019, 21, e0119. [Google Scholar] [CrossRef]
- FDA Size, Shape, and Other Physical Attributes of Generic Tablets and Capsules. Available online: https://www.fda.gov/files/drugs/published/Size--Shape--and-Other-Physical-Attributes-of-Generic-Tablets-and-Capsules.pdf?next=/answers/six-tips-to-avoid-getting-pill-stuck-in-your-throat/avoid-pill-getting-stuck-in-throat/ (accessed on 20 September 2022).
- Perkins, A.C.; Wilson, C.G.; Blackshaw, P.E.; Vincent, R.M.; Dansereau, R.J.; Juhlin, K.D.; Bekker, P.J.; Spiller, R.C. Impaired Oesophageal Transit of Capsule versus Tablet Formulations in the Elderly. Gut 1994, 35, 1363. [Google Scholar] [CrossRef]
- Franko, D.L.; Shapiro, J.; Gagne, A. Phagophobia: A Form of Psychogenic Dysphagia a New Entity. Ann. Otol. Rhinol. Laryngol. 1997, 106, 286–290. [Google Scholar] [CrossRef] [PubMed]
- FDA Guidance for Industry—Food-Effect Bioavailability and Fed Bioequivalence Studies. Available online: https://www.fda.gov/files/drugs/published/Food-Effect-Bioavailability-and-Fed-Bioequivalence-Studies.pdf (accessed on 20 September 2022).
- Ema Guideline on the Investigation of Bioequivalence. Available online: https://www.ema.europa.eu/en/documents/scientific-guideline/guideline-investigation-bioequivalence-rev1_en.pdf (accessed on 20 September 2022).
- Gallo, S.H.; McClave, S.A.; Makk, L.J.K.; Looney, S.W. Standardization of Clinical Criteria Required for Use of the 12.5 Millimeter Barium Tablet in Evaluating Esophageal Lumenal Patency. Gastrointest. Endosc. 1996, 44, 181–184. [Google Scholar] [CrossRef] [PubMed]
- Smith, C.H.; Logemann, J.A.; Burghardt, W.R.; Zecker, S.G.; Rademaker, A.W. Oral and Oropharyngeal Perceptions of Fluid Viscosity Across the Age Span. Dysphagia 2006, 21, 209–217. [Google Scholar] [CrossRef] [PubMed]
- Ekström, J.; Khosravani, N.; Castagnola, M.; Messana, L. Saliva and the Control of Its Secretion. In Dysphagia, Diagnosis and Treatment; Ekberg, O., Ed.; Medical Radiology: Malmö, Sweden, 2017; ISBN 9783319685717. [Google Scholar]
- Xu, F.; Laguna, L.; Sarkar, A. Aging-related Changes in Quantity and Quality of Saliva: Where Do We Stand in Our Understanding? J. Texture Stud. 2019, 50, 27–35. [Google Scholar] [CrossRef]
- Marvola, M.; Vahervuo, K.; Sothmann, A.; Marttila, E.; Rajaniemi, M. Development of a Method for Study of the Tendency of Drug Products to Adhere to the Esophagus. J. Pharm. Sci. 1982, 71, 975–977. [Google Scholar] [CrossRef]
- McCloskey, A.P.; Penson, P.E.; Tse, Y.; Abdelhafiz, M.A.; Ahmed, S.N.; Lim, E.J. Identifying and Addressing Pill Aversion in Adults without Physiological-related Dysphagia: A Narrative Review. Br. J. Clin. Pharmacol. 2022, 88, 5128–5148. [Google Scholar] [CrossRef]








| Shape | Weight [mg] | Diameter [mm] | Cap Radius [mm] | Thickness [mm] | Min. Cross Sectional Area [mm2] | Group |
|---|---|---|---|---|---|---|
| round | 250 | 9.30 | 11.60 | 3.82 | 29.63 | 1 |
| round | 500 | 11.70 | 14.71 | 4.82 | 47.13 | 2 |
| round | 750 | 13.35 | 16.86 | 5.47 | 60.94 | 2 |
| Shape | Weight [mg] | Length [mm] | Width [mm] | Thickness [mm] | Min. Cross Sectional Area [mm2] | Group |
| oval | 250 | 12.00 | 6.25 | 4.24 | 22.17 | 2 |
| oval | 500 | 15.10 | 7.87 | 5.31 | 35.15 | 1 |
| oval | 750 | 17.30 | 9.02 | 6.12 | 46.12 | 1 |
| oval | 1000 | 19.00 | 9.90 | 6.66 | 55.64 | 2 |
| oblong | 1000 | 20.50 | 8.89 | 6.07 | 44.24 | 1 |
| Old Participants | Young Participants | |
|---|---|---|
| Number of participants | 52 | 52 |
| Female | 67.3% | 55.8% |
| Age (mean ± SD) | 81.3 ± 7.3 years | 23.1 ± 3.8 years |
| 65 to 74 years old | 23.1% | - |
| 75 to 84 years old | 42.3% | - |
| 85 years or older | 34.6% | - |
| BMI 1 (mean ± SD) | 28.5 ± 7.4 kg/m2 | 23.8 ± 3.5 kg/m2 |
| Number of regular medications (mean ± SD) 2 | 9.7 ± 3.1 | 0.3 ± 0.5 |
| Tablet | Proportion of Participants in % | |||||
|---|---|---|---|---|---|---|
| Old Participants | Young Participants | |||||
| No | Yes, Once | Yes, Multiple Times | No | Yes, Once | Yes, Multiple Times | |
| 250 mg round | 32.0 | 17.3 | 50.7 | 81.3 | 6.7 | 12.0 |
| 250 mg oval | 39.5 | 13.6 | 46.9 | 87.7 | 3.7 | 8.6 |
| 500 mg round | 33.3 | 24.7 | 42.0 | 77.8 | 2.5 | 19.8 |
| 500 mg oval | 37.3 | 17.3 | 45.3 | 86.7 | 8.0 | 5.3 |
| 750 mg round | 29.6 | 33.3 | 37.0 | 70.4 | 12.3 | 17.3 |
| 750 mg oval | 28.0 | 18.7 | 53.3 | 80.0 | 8.0 | 12.0 |
| 1000 mg oval | 34.6 | 22.2 | 43.2 | 67.9 | 7.4 | 24.7 |
| 1000 mg oblong | 38.7 | 14.7 | 46.7 | 70.7 | 13.3 | 16.0 |
| Tablet | Proportion of Participants in % | |||||
|---|---|---|---|---|---|---|
| Old Participants | Young Participants | |||||
| No | Yes, during Attempt | Yes, during Deglutition | No | Yes, during Attempt | Yes, during Deglutition | |
| 250 mg round | 96.0 | 0.0 | 4.0 | 88.0 | 0.0 | 12.0 |
| 250 mg oval | 92.6 | 1.2 | 6.2 | 95.1 | 0.0 | 4.9 |
| 500 mg round | 81.5 | 0.0 | 18.5 | 72.8 | 0.0 | 27.2 |
| 500 mg oval | 93.3 | 1.3 | 5.3 | 78.7 | 0.0 | 21.3 |
| 750 mg round | 63.0 | 0.0 | 37.0 | 58.0 | 0.0 | 42.0 |
| 750 mg oval | 85.3 | 5.3 | 9.3 | 68.0 | 1.3 | 30.7 |
| 1000 mg oval | 74.1 | 2.5 | 23.5 | 63.0 | 1.2 | 35.8 |
| 1000 mg oblong | 85.3 | 6.7 | 8.0 | 57.3 | 4.0 | 38.7 |
| Studied Population | Study Type | Tested Dosage Forms | Acceptable SODF Size 1 | |
|---|---|---|---|---|
| Frail older Japanese persons, n = 73 | Deglutition of different tablets | Different tablets (unknown size) 2 | Tablets ≤ 7–8 mm | [16] |
| Older adults, mean age of 74 years, n = 156 | Anticipated swallowability according to visual perception | Tablets: round and elongated shapes of 5–13 mm (d or l); hard gelatin capsules: size 4 to 00 | Older adults with swallowing difficulties (11% of study population): tablet sizes <11–13 mm (d or l) and capsules of size 0 or smaller | [17] |
| Adult patients, mean age of 61.8 ± 15.6 years, n = 1051 | Patients reported swallowing difficulties among their own regular medications. | Retrospective analysis of patients’ regular medications | Round tablets ≤8.1 mm (d) and ≤3.5 mm (h); oval tablets ≤13.2 mm (l), ≤6.6 mm (w), and ≤4.6 mm (h); oblong tablets ≤13.3 mm (l), ≤6.2 mm (w), and ≤4.9 mm (h) | [18] |
| Older adults, mean age 81.3 ± 7.3 years, n = 52 | Deglutition of different tablets | Round tablets: 9.30–13.35 mm (d); oval tablets: 12.00–19.00 mm (l); oblong tablet: 20.50 mm (l) | Well swallowable: oval tablet 12.00 mm (l); Swallowable: round tablets ≤13.35 mm (d), oval tablets ≤19.00 mm (l), oblong tablet 20.50 mm (l) | Present study |
| Younger adults, mean age 23.1 ± 3.8 years, n = 52 | Well swallowable: round tablet 9.30 mm (d), oval tablets ≤15.10 mm (l); Swallowable: round tablets ≤13.35 mm (d), oval tablets ≤19.00 mm (l), oblong tablet 20.50 mm (l) |
Disclaimer/Publisher’s Note: The statements, opinions and data contained in all publications are solely those of the individual author(s) and contributor(s) and not of MDPI and/or the editor(s). MDPI and/or the editor(s) disclaim responsibility for any injury to people or property resulting from any ideas, methods, instructions or products referred to in the content. |
© 2023 by the authors. Licensee MDPI, Basel, Switzerland. This article is an open access article distributed under the terms and conditions of the Creative Commons Attribution (CC BY) license (https://creativecommons.org/licenses/by/4.0/).
Share and Cite
Hummler, H.; Stillhart, C.; Meilicke, L.; Grimm, M.; Krause, E.; Mannaa, M.; Gollasch, M.; Weitschies, W.; Page, S. Impact of Tablet Size and Shape on the Swallowability in Older Adults. Pharmaceutics 2023, 15, 1042. https://doi.org/10.3390/pharmaceutics15041042
Hummler H, Stillhart C, Meilicke L, Grimm M, Krause E, Mannaa M, Gollasch M, Weitschies W, Page S. Impact of Tablet Size and Shape on the Swallowability in Older Adults. Pharmaceutics. 2023; 15(4):1042. https://doi.org/10.3390/pharmaceutics15041042
Chicago/Turabian StyleHummler, Henriette, Cordula Stillhart, Lisa Meilicke, Michael Grimm, Elischa Krause, Marwan Mannaa, Maik Gollasch, Werner Weitschies, and Susanne Page. 2023. "Impact of Tablet Size and Shape on the Swallowability in Older Adults" Pharmaceutics 15, no. 4: 1042. https://doi.org/10.3390/pharmaceutics15041042
APA StyleHummler, H., Stillhart, C., Meilicke, L., Grimm, M., Krause, E., Mannaa, M., Gollasch, M., Weitschies, W., & Page, S. (2023). Impact of Tablet Size and Shape on the Swallowability in Older Adults. Pharmaceutics, 15(4), 1042. https://doi.org/10.3390/pharmaceutics15041042

