Screening of Fenofibrate-Simvastatin Solid Dispersions in the Development of Fixed-Dose Formulations for the Treatment of Lipid Disorders
Abstract
:1. Introduction
2. Materials and Methods
2.1. Materials
2.2. Fenofibrate-Simvastatin Solid Dispersions Preparation
2.3. Drug Content
2.4. Scanning Electron Microscopy
2.5. Thermal Analysis
2.6. X-ray Powder Diffraction
2.7. Fourier-Transform Infrared Spectroscopy
2.8. Contact Angle
2.9. Dissolution Tests
2.9.1. Intrinsic Dissolution Rate Method
2.9.2. Paddle Method
2.10. High-Performance Liquid Chromatography
3. Results and Discussion
3.1. Phase Transitions Studies
3.2. Phase Composition Analysis by X-ray Powder Diffraction
3.3. Infrared Spectroscopy Analysis
3.4. Shape Morphology
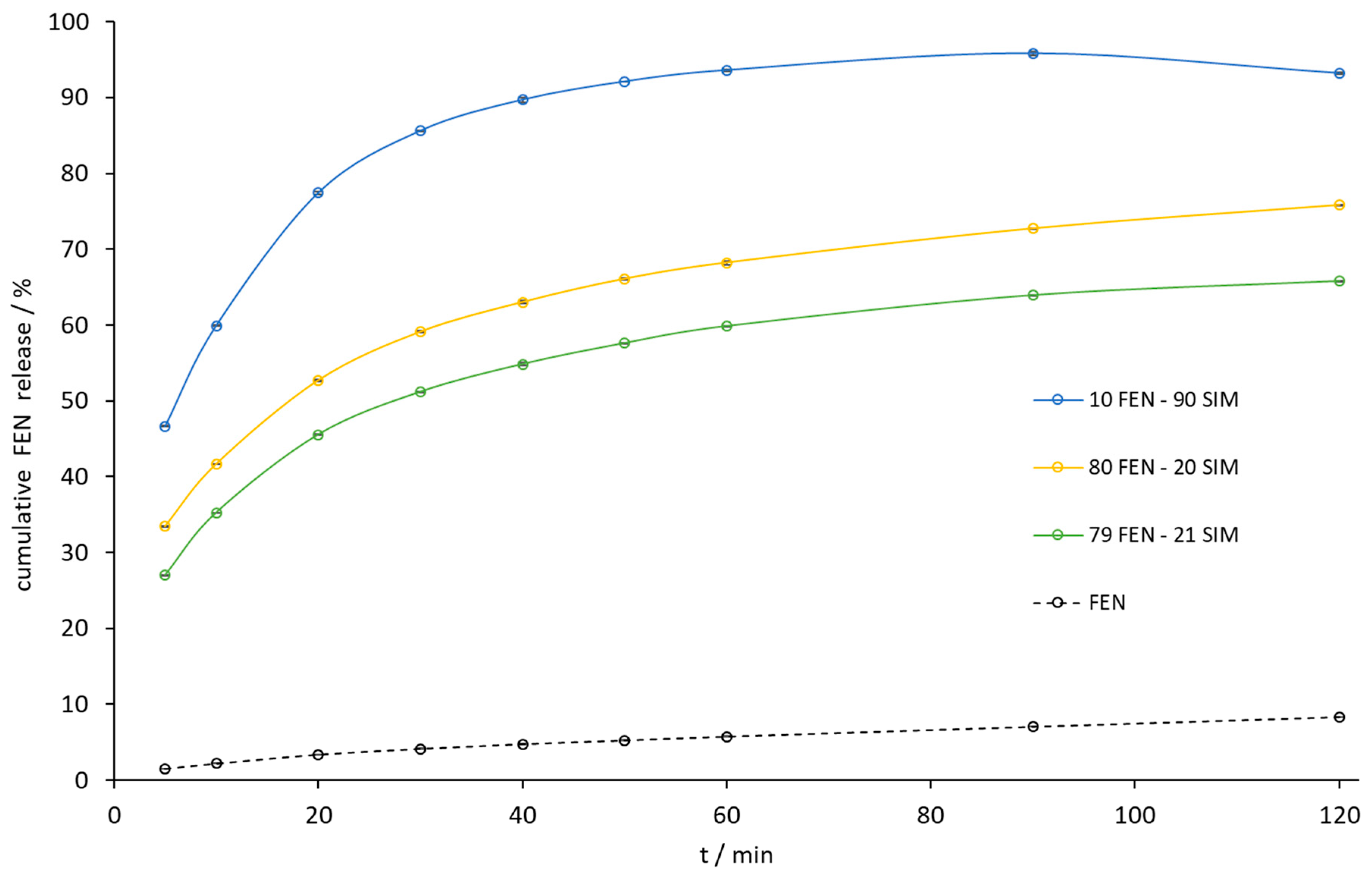
3.5. Dissolution Studies
3.6. Contact Angle
4. Conclusions
Author Contributions
Funding
Institutional Review Board Statement
Informed Consent Statement
Data Availability Statement
Conflicts of Interest
References
- Godman, B.; McCabe, H.; Leong, T.D.; Mueller, D.; Martin, A.P.; Hoxha, I.; Mwita, J.C.; Rwegerera, G.M.; Massele, A.; de Oliveira Costa, J. Fixed dose drug combinations—Are they pharmacoeconomically sound? Findings and implications especially for lower- and middle-income countries. Expert Rev. Pharmacoecon. Outcomes Res. 2020, 20, 1–26. [Google Scholar] [CrossRef] [PubMed]
- Sarzani, R.; Laureti, G.; Gezzi, A.; Spannella, F.; Giulietti, F. Single-pill fixed-dose drug combinations to reduce blood pressure: The right pill for the right patient. Ther. Adv. Chronic Dis. 2022, 13, 20406223221102754. [Google Scholar] [CrossRef]
- Janczura, M.; Sip, S.; Cielecka-Piontek, J. The Development of Innovative Dosage Forms of the Fixed-Dose Combination of Active Pharmaceutical Ingredients. Pharmaceutics 2022, 14, 834. [Google Scholar] [CrossRef]
- Bangalore, S.; Kamalakkannanm, G.; Parkarm, S.; Messerlim, F.H. Fixed-Dose Combinations Improve Medication Compliance: A Meta-Analysis. Am. J. Med. 2007, 120, 713–719. [Google Scholar] [CrossRef] [PubMed]
- Chen, C.-Y.; Lee, C.-W.; Chien, S.-C.; Su, M.-I.; Lin, S.-I.; Cheng, C.-W.; Hung, T.-C.; Yeh, H.-I. Dyslipidemia management for elderly people with metabolic syndrome: A mini-review. Int. J. Gerontol. 2018, 12, 7–11. [Google Scholar] [CrossRef]
- Staels, B.; Dallongeville, J.; Auwerx, J.; Schoonjans, K.; Leitersdorf, E.; Fruchart, J.C. Mechanism of action of fibrates on lipid and lipoprotein metabolism. Circulation 1998, 98, 2088–2093. [Google Scholar] [CrossRef]
- Wadhera, R.K.; Steen, D.L.; Khan, I.; Giugliano, R.P.; Foody, J.M. A review of low-density lipoprotein cholesterol, treatment strategies, and its impact on cardiovascular disease morbidity and mortality. J. Clin. Lipidol. 2016, 10, 472–489. [Google Scholar] [CrossRef]
- Gotto, A.M., Jr. High-density lipoprotein cholesterol and triglycerides as therapeutic targets for preventing and treating coronary artery disease. Am. Heart J. 2002, 144, S33–S42. [Google Scholar] [CrossRef]
- Jacobson, T.A.; Zimmerman, F.H. Fibrates in combination with statins in the management of dyslipidemia. J. Clin. Hypertens. 2006, 8, 35–41. [Google Scholar] [CrossRef]
- Chatzizisis, Y.S.; Koskinas, K.C.; Misirli, G.; Vaklavas, C.; Hatzitolios, A.; Giannoglou, G.D. Risk factors and drug interactions predisposing to statin-induced myopathy: Implications for risk assessment, prevention and treatment. Drug Saf. 2010, 33, 171–187. [Google Scholar] [CrossRef]
- Dragsbæk, K.; Neergaard, J.S.; Laursen, J.M.; Hansen, H.B.; Christiansen, C.; Beck-Nielsen, H.D.; Karsdal, M.A.; Brix, S.; Henriksen, K. Metabolic syndrome and subsequent risk of type 2 diabetes and cardiovascular disease in elderly women: Challenging the current definition. Medicine 2016, 95, e4806. [Google Scholar] [CrossRef] [PubMed]
- Filippatos, T.D.; Elisaf, M.S. Safety considerations with fenofibrate/simvastatin combination. Expert Opin. Drug Saf. 2015, 14, 1481–1493. [Google Scholar] [CrossRef] [PubMed]
- Kei, A.A.; Filippatos, T.D.; Elisaf, M.S. The safety of ezetimibe and simvastatin combination for the treatment of hypercholesterolemia. Expert Opin. Drug Saf. 2016, 15, 559–569. [Google Scholar] [CrossRef] [PubMed]
- Montecucco, F.; Mach, F. Statins, ACE inhibitors and ARBs in cardiovascular disease. Best Pract. Res. Clin. Endocrinol. Metab. 2009, 23, 389–400. [Google Scholar] [CrossRef]
- Mach, F.; Baigent, C.; Catapano, A.L.; Koskinas, K.C.; Casula, M.; Badimon, L.; Chapman, M.J.; De Backer, G.G.; Delgado, V.; Ference, B.A.; et al. ESC Scientific Document Group, 2019 ESC/EAS Guidelines for the management of dyslipidaemias: Lipid modification to reduce cardiovascular risk: The Task Force for the management of dyslipidaemias of the European Society of Cardiology (ESC) and European Atherosclerosis Society (EAS). Eur. Heart J. 2020, 41, 111–188. [Google Scholar] [CrossRef]
- Farnier, M. Pravastatin and fenofibrate in combination (Pravafenix(®)) for the treatment of high-risk patients with mixed hyperlipidemia. Expert Rev. Cardiovasc. Ther. 2012, 10, 565–575. [Google Scholar] [CrossRef]
- Foucher, C.; Aubonnet, P.; Reichert, P.; Berli, M.; Schaeffer, A.; Calvo Vargas, C.G.; Lochocka, A.; Belenky, D.; Koch, H.F. Cholib study Investigators. New Fixed-Dose Combinations of Fenofibrate/Simvastatin Therapy Significantly Improve the Lipid Profile of High-Risk Patients with Mixed Dyslipidemia Versus Monotherapies. Cardiovasc. Ther. 2015, 33, 329–337. [Google Scholar] [CrossRef]
- European Medicines Agency. Cholib—EPAR Summary for the Public. Available online: https://www.ema.europa.eu/en/medicines/human/EPAR/cholib (accessed on 15 December 2022).
- Knapik-Kowalczuk, J.; Kramarczyk, D.; Jurkiewicz, K.; Chmiel, K.; Paluch, M. Ternary Eutectic Ezetimibe–Simvastatin–Fenofibrate System and the Physical Stability of Its Amorphous Form. Mol. Pharm. 2021, 18, 3588–3600. [Google Scholar] [CrossRef] [PubMed]
- Bazzo, G.C.; Pezzini, B.R.; Stulzer, H.K. Eutectic mixtures as an approach to enhance solubility, dissolution rate and oral bioavailability of poorly water-soluble drugs. Int. J. Pharm. 2020, 588, 119741. [Google Scholar] [CrossRef]
- Granero, G.E.; Ramachandran, C.; Amidon, G.L. Dissolution and solubility behavior of fenofibrate in sodium lauryl sulfate solutions. Drug Dev. Ind. Pharm. 2005, 31, 917–922. [Google Scholar] [CrossRef]
- Jiang, T.; Han, N.; Zhao, B.; Xie, Y.; Wang, S. Enhanced dissolution rate and oral bioavailability of simvastatin nanocrystal prepared by sonoprecipitation. Drug. Dev. Ind. Pharm. 2012, 38, 1230–1239. [Google Scholar] [CrossRef] [PubMed]
- Law, D.; Wang, W.; Schmitt, E.A.; Qiu, Y.; Krill, S.L.; Fort, J.J. Properties of rapidly dissolving eutectic mixtures of poly(ethylene glycol) and fenofibrate: The eutectic microstructure. J. Pharm. Sci. 2003, 92, 505–515. [Google Scholar] [CrossRef] [PubMed]
- Murtaza, G. Solubility enhancement of simvastatin: A review. Acta Pol. Pharm. 2012, 69, 581–590. [Google Scholar] [PubMed]
- Heinz, A.; Gordon, K.C.; McGoverin, C.M.; Rades, T.; Strachan, C.J. Understanding the solid state forms of fenofibrate—A spectroscopic and computational study. Eur. J. Pharm. Biopharm. 2009, 71, 100–108. [Google Scholar] [CrossRef]
- Aceves-Hernández, J.M.; Hinojosa-Torres, J.; Nicolás-Vázquez, I.; Ruvalcaba, R.M.; García, R.M.L. Solubility of simvastatin: A theoretical and experimental study. J. Mol. Struct. 2011, 995, 41–50. [Google Scholar] [CrossRef]
- Tipduangta, P.; Takieddin, K.; László, F.; Belton, P.; Qi, S.A. New Low Melting-Point Polymorph of Fenofibrate Prepared via Talc Induced Heterogeneous Nucleation. Cryst. Growth Design 2015, 15, 5011–5020. [Google Scholar] [CrossRef]
- Ledeţi, I.; Vlase, G.; Vlase, T.; Şuta, L.M.; Todea, A.; Fuliaş, A. Selection of solid-state excipients for simvastatin dosage forms through thermal and nonthermal techniques. J. Therm. Anal. Calorim. 2015, 121, 1093–1102. [Google Scholar] [CrossRef]
- U.S. Pharmacopeia. Simvastatin Tablets. Available online: http://www.pharmacopeia.cn/v29240/usp29nf24s0_m75460.html (accessed on 15 December 2022).
- Anumolu, P.D.; Gurrala, S.; Venkata Satya, S.C.; Polisetty, S.V.; Ravindran, A.; Achanta, R. Development of a Discriminative and Biorelevant Dissolution Test Method for Atorvastatin/Fenofibrate Combination with Appliance of Derivative Spectrophotometry. Turk. J. Pharm. Sci. 2019, 16, 62–68. [Google Scholar] [CrossRef]














| Sample Name | Composition/wt% | API Content/% | ||
|---|---|---|---|---|
| FEN | SIM | FEN | SIM | |
| 97 FEN–3 SIM | 97.0 | 3.0 | 100.55 ± 0.20 | 123.20 ± 0.44 |
| 95 FEN–5 SIM | 95.0 | 5.0 | 100.58 ± 0.12 | 121.19 ± 0.18 |
| 93 FEN–7 SIM | 93.0 | 7.0 | 95.38 ± 0.06 | 105.91 ± 0.10 |
| 90 FEN–10 SIM | 90.0 | 10.0 | 99.06 ± 0.04 | 105.00 ± 0.19 |
| 80 FEN–20 SIM | 80.0 | 20.0 | 99.33 ± 0.08 | 103.61 ± 0.17 |
| 75 FEN–25 SIM | 75.0 | 25.0 | 99.09 ± 0.12 | 100.74 ± 0.09 |
| 70 FEN–30 SIM | 70.0 | 30.0 | 99.26 ± 0.17 | 99.40 ± 0.11 |
| 60 FEN–40 SIM | 60.0 | 40.0 | 100.21 ± 0.12 | 99.83 ± 0.05 |
| 50 FEN–50 SIM | 50.0 | 50.0 | 99.84 ± 0.05 | 99.51 ± 0.10 |
| 40 FEN–60 SIM | 40.0 | 60.0 | 102.89 ± 0.24 | 99.43 ± 0.14 |
| 30 FEN–70 SIM | 30.0 | 70.0 | 101.29 ± 0.06 | 100.38 ± 0.03 |
| 20 FEN–80 SIM | 20.0 | 80.0 | 99.33 ± 0.08 | 99.54 ± 0.08 |
| 10 FEN–90 SIM | 10.0 | 90.0 | 99.98 ± 0.34 | 100.49 ± 0.24 |
| Sample Name | Composition/wt% | Eutectic Invariant | Liquidus Temperature/°C | ||
|---|---|---|---|---|---|
| FEN | SIM | Temperature/°C | ΔH/J g−1 | ||
| FEN | 100.0 | 0.0 | - | - | 80.1 ± 0.0 |
| 97 FEN–3 SIM | 97.0 | 3.0 | 74.1 ± 0.2 | 7.8 ± 1.0 | 79.5 ± 0.1 |
| 95 FEN–5 SIM | 95.0 | 5.0 | 74.3 ± 0.1 | 16.0 ± 0.3 | 78.8 ± 0.0 |
| 93 FEN–7 SIM | 93.0 | 7.0 | 74.7 ± 0.1 | 24.7 ± 2.0 | 78.3 ± 0.1 |
| 90 FEN–10 SIM | 90.0 | 10.0 | 74.9 ± 0.1 | 38.0 ± 1.1 | 77.6 ± 0.0 |
| 80 FEN–20 SIM | 80.0 | 20.0 | 75.0 ± 0.1 | - | - |
| 75 FEN–25 SIM | 75.0 | 25.0 | 75.1 ± 0.1 | - | - |
| 70 FEN–30 SIM | 70.0 | 30.0 | 75.1 ± 0.4 | 74.5 ± 3.6 | 91.0 ± 0.5 |
| 60 FEN–40 SIM | 60.0 | 40.0 | 75.3 ± 0.3 | 65.4 ± 0.3 | 100.4 ± 0.2 |
| 50 FEN–50 SIM | 50.0 | 50.0 | 75.2 ± 0.4 | 54.1 ± 0.2 | 109.2 ± 0.2 |
| 40 FEN–60 SIM | 40.0 | 60.0 | 74.3 ± 0.1 | 42.7 ± 0.7 | 116.1 ± 0.2 |
| 30 FEN–70 SIM | 30.0 | 70.0 | 74.7 ± 0.2 | 32.1 ± 0.9 | 121.9 ± 0.1 |
| 20 FEN–80 SIM | 20.0 | 80.0 | 75.1 ± 0.2 | 21.2 ± 0.1 | 128.5 ± 0.2 |
| 10 FEN–90 SIM | 10.0 | 90.0 | 75.0 ± 0.2 | 10.6 ± 0.1 | 134.6 ± 0.1 |
| SIM | 0.0 | 100.0 | 139.2 ± 0.3 | ||
Disclaimer/Publisher’s Note: The statements, opinions and data contained in all publications are solely those of the individual author(s) and contributor(s) and not of MDPI and/or the editor(s). MDPI and/or the editor(s) disclaim responsibility for any injury to people or property resulting from any ideas, methods, instructions or products referred to in the content. |
© 2023 by the authors. Licensee MDPI, Basel, Switzerland. This article is an open access article distributed under the terms and conditions of the Creative Commons Attribution (CC BY) license (https://creativecommons.org/licenses/by/4.0/).
Share and Cite
Górniak, A.; Czapor-Irzabek, H.; Złocińska, A.; Gawin-Mikołajewicz, A.; Karolewicz, B. Screening of Fenofibrate-Simvastatin Solid Dispersions in the Development of Fixed-Dose Formulations for the Treatment of Lipid Disorders. Pharmaceutics 2023, 15, 603. https://doi.org/10.3390/pharmaceutics15020603
Górniak A, Czapor-Irzabek H, Złocińska A, Gawin-Mikołajewicz A, Karolewicz B. Screening of Fenofibrate-Simvastatin Solid Dispersions in the Development of Fixed-Dose Formulations for the Treatment of Lipid Disorders. Pharmaceutics. 2023; 15(2):603. https://doi.org/10.3390/pharmaceutics15020603
Chicago/Turabian StyleGórniak, Agata, Hanna Czapor-Irzabek, Adrianna Złocińska, Agnieszka Gawin-Mikołajewicz, and Bożena Karolewicz. 2023. "Screening of Fenofibrate-Simvastatin Solid Dispersions in the Development of Fixed-Dose Formulations for the Treatment of Lipid Disorders" Pharmaceutics 15, no. 2: 603. https://doi.org/10.3390/pharmaceutics15020603
APA StyleGórniak, A., Czapor-Irzabek, H., Złocińska, A., Gawin-Mikołajewicz, A., & Karolewicz, B. (2023). Screening of Fenofibrate-Simvastatin Solid Dispersions in the Development of Fixed-Dose Formulations for the Treatment of Lipid Disorders. Pharmaceutics, 15(2), 603. https://doi.org/10.3390/pharmaceutics15020603

