Casein-Based Nanoparticles: A Potential Tool for the Delivery of Daunorubicin in Acute Lymphocytic Leukemia
Abstract
1. Introduction
2. Materials and Methods
2.1. Preparation of DRB-Loaded Casein Nanoparticles
2.2. Characterization of the Obtained DRB-Loaded Nanoparticles
2.2.1. Production Yields, Drug Loading, and Entrapment Efficiency
2.2.2. Particle Size Analysis, Size Distribution, and Zeta Potential
2.2.3. Scanning Electron Microscopy
2.2.4. Thermogravimetry Differential Thermal Analysis (TG/DTA)
2.2.5. X-ray Diffraction (XRD)
2.2.6. Fourier Transform Infrared Spectroscopy (FTIR)
2.3. In Vitro Drug Release
2.4. In Vitro Cytotoxicity
2.4.1. Cell Culture
2.4.2. MTT Assay
2.4.3. Analysis of Mitochondrial Function
2.5. In Vitro Fluorescence Microscopy
2.6. Statistical Analysis
3. Results and Discussion
3.1. Synthesis and Characterisation of DRB-Loaded Casein Nanoparticles
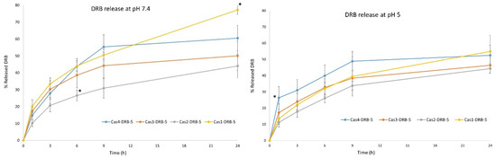
3.2. In Vitro Drug Release
3.3. In Vitro Cytotoxiciny
3.3.1. MTT Test for Cell Viability
3.3.2. Seahorse Assay
3.3.3. In Vitro Fluorescence Microscopy
4. Conclusions
Author Contributions
Funding
Institutional Review Board Statement
Informed Consent Statement
Data Availability Statement
Acknowledgments
Conflicts of Interest
References
- Elbialy, N.S.; Fathy, M.M.; Khalil, W.M. Doxorubicin loaded magnetic gold nanoparticles for in vivo targeted drug delivery. Int. J. Pharm. 2015, 490, 190–199. [Google Scholar] [CrossRef]
- Caley, A.; Jones, R. Principles of cancer treatment by chemotherapy. Surgery 2012, 30, 186–190. [Google Scholar] [CrossRef]
- Tewabe, A.; Abate, A.; Tamrie, M.; Seyfu, A.; Abdela Siraj, E. Targeted Drug Delivery—From Magic Bullet to Nano-medicine: Principles, Challenges, and Future Perspectives. J. Multidiscip. Healthc. 2021, 14, 1711–1724. [Google Scholar] [CrossRef] [PubMed]
- Attia, M.F.; Anton, N.; Wallyn, J.; Omran, Z.; Vandamme, T.F. An overview of active and passive targeting strategies to improve the nanocarriers efficiency to tumour sites. J. Pharm. Pharmacol. 2019, 71, 1185–1198. [Google Scholar] [CrossRef]
- Sundar, S.; Kundu, J.; Kundu, S.C. Biopolymeric nanoparticles. STAM 2010, 11, 13. [Google Scholar] [CrossRef] [PubMed]
- Couvreur, P.; Gref, R.; Andrieux, K.; Malvy, C. Nanotechnology for drug delivery: Application to cancer and autoimmune diseases. Prog. Solid State Chem. 2016, 34, 231–235. [Google Scholar] [CrossRef]
- Jacob, J.; Haponiuk, J.; Thomas, S.; Gopi, S. Biopolymer based nanomaterials in drug delivery systems: A review. Mater. Today Chem. 2018, 9, 43–55. [Google Scholar] [CrossRef]
- Hong, S.; Choi, D.W.; Kim, H.N.; Park, C.G.; Lee, W.; Park, H.H. Protein-Based Nanoparticles as Drug Delivery Systems. Pharmaceutics 2020, 12, 604. [Google Scholar] [CrossRef]
- Liu, Q.; Sun, Y.; Cheng, J.; Guo, M. Development of whey protein nanoparticles as carriers to deliver soy isoflavones. Lebensm. Wiss. Technol. 2022, 155, 112953. [Google Scholar] [CrossRef]
- Elzoghby, A.O.; Elgohary, M.M.; Kamel, N.M. Implications of protein- and Peptide-based nanoparticles as potential vehicles for anticancer drugs. Adv. Protein. Chem. Struct. Biol. 2015, 98, 169–221. [Google Scholar]
- Elzoghby, A.O.; El-Fotoh, W.S.; Elgindy, N.A. Casein-based formulations as promising controlled release drug delivery systems. J. Control. Release 2011, 153, 206–216. [Google Scholar] [CrossRef] [PubMed]
- Liu, Y.; Guo, R. pH-dependent structures and properties of casein micelles. Biophys. Chem. 2008, 136, 67–73. [Google Scholar] [CrossRef] [PubMed]
- Liu, Z.; Juliano, P.; Williams, R.P.; Niere, J.; Augustin, M.A. Ultrasound effects on the assembly of casein micelles in reconstitutedskim milk. J. Dairy Res. 2014, 81, 146–155. [Google Scholar] [CrossRef]
- Liu, C.; Yao, W.; Zhang, L.; Qian, H.; Wu, W.; Jiang, X. Cell-penetrating hollow spheres based on milk protein. Chem. Commun. 2010, 46, 7566–7568. [Google Scholar] [CrossRef] [PubMed]
- Bachar, M.; Mandelbaum, A.; Portnaya, I.; Perlstein, H.; Even-Chen, S.; Barenholz, Y.; Danino, D. Development and characterization of a novel drug nanocarrier for oral delivery, based on self-assembled β-casein micelles. J. Control. Release 2012, 160, 164–171. [Google Scholar] [CrossRef]
- Elzoghby, A.O.; Helmy, M.W.; Samy, W.M.; Elgindy, N.A. Novel ionically crosslinked casein nanoparticles for flutamide delivery: Formulation, characterization, and in vivo pharmacokinetics. Int. J. Nanomed. 2013, 8, 1721–1732. [Google Scholar] [CrossRef]
- Elzoghby, A.O.; Saad, N.I.; Helmy, M.W.; Samy, W.M.; Elgindy, N.A. Ionically-crosslinked milk protein nanoparticles as flutamide carriers for effective anticancer activity in prostate cancer-bearing rats. Eur. J. Pharm. Biopharm. 2013, 85 Pt A, 444–451. [Google Scholar] [CrossRef]
- Narayanan, S.; Pavithran, M.; Viswanath, A.; Narayanan, D.; Mohan, C.C.; Manzoor, K.; Menon, D. Sequentially releasing dual-drug-loaded PLGA-casein core/shell nanomedicine: Design, synthesis, biocompatibility and pharmacokinetics. Acta Biomater. 2014, 10, 2112–2124. [Google Scholar] [CrossRef]
- Shapira, A.; Assaraf, Y.G.; Epstein, D.; Livney, Y.D. Beta-casein nanoparticles as an oral delivery system for chemotherapeutic drugs: Impact of drug structure and properties on co-assembly. Pharm. Res. 2010, 27, 2175–2186. [Google Scholar] [CrossRef]
- Shapira, A.; Davidson, I.; Avni, N.; Assaraf, Y.; Livney, Y.D. β-Casein nanoparticle-based oral drug delivery system for potential treatment of gastric carcinoma: Stability, target-activated release and cytotoxicity. Eur. J. Pharm. Biopharm. 2012, 80, 298–305. [Google Scholar] [CrossRef]
- Shapira, A.; Markman, G.; Assaraf, Y.G.; Livney, Y.D. β-casein–based nanovehicles for oral delivery of chemotherapeutic drugs: Drug-protein interactions and mitoxantrone loading capacity. Nanomed. NBM 2010, 6, 547–555. [Google Scholar] [CrossRef] [PubMed]
- Elzoghby, A.; Helmy, M.; Samy, W.; Elgindy, N. Spray-dried casein-based micelles as a vehicle for solubilization and controlled delivery of flutamide: Formulation, characterization, and in vivo pharmacokinetics. Eur. J. Pharm. Biopharm. 2013, 84, 487–496. [Google Scholar] [CrossRef] [PubMed]
- Pan, K.; Zhong, Q.; Baek, S.J. Enhanced dispersibility and bioactivity of curcumin by encapsulation in casein nanocapsules. J. Agric. Food Chem. 2013, 61, 6036–6043. [Google Scholar] [CrossRef]
- Razmi, M.; Divsalar, A.; Saboury, A.A.; Izadi, Z.; Haertlé, T.; Mansuri-Torshizi, H. Beta-casein and its complexes with chitosan as nanovehicles for delivery of a platinum anticancer drug. Colloids Surf. B 2013, 112, 362–367. [Google Scholar] [CrossRef]
- Zhen, X.; Wang, X.; Xie, C.; Wu, W.; Jiang, X. Cellular uptake, antitumor response and tumor penetration of cisplatin-loaded milk protein nanoparticles. Biomaterials 2013, 34, 1372–1382. [Google Scholar] [CrossRef] [PubMed]
- Xue, J.; Tan, C.; Zhang, X.; Feng, B.; Xia, S. Fabrication of epigallocatechin-3-gallate nanocarrier based on glycosylated casein: Stability and interaction mechanism. J. Agric. Food Chem. 2014, 62, 4677–4684. [Google Scholar] [CrossRef]
- Available online: www.buchi.com/en/products/instruments/nano-spray-dryer-b-90-hp (accessed on 29 July 2022).
- Marante, T.; Viegas, C.; Duarte, I.; Macedo, A.S.; Fonte, P. An overview on spray-drying of protein-loaded polymeric nanoparticles for dry powder inhalation. Pharmaceutics 2020, 12, 1032. [Google Scholar] [CrossRef]
- Moslehi, M.; Mortazavi, S.; Azadi, A.; Fateh, S.; Hamidi, M.; Foroutan, S.M. Preparation, optimization and characterization of chitosan-coated liposomes for solubility enhancement of furosemide: A model BCS IV Drug. IJPR 2020, 19, 366–382. [Google Scholar]
- Gu, B.; Linehan, B.; Tseng, Y.C. Optimization of the Büchi B-90 spray drying process using central composite design for preparation of solid dispersions. Int. J. Pharm. 2015, 491, 208–217. [Google Scholar] [CrossRef]
- Bürki, K.; Jeon, I.; Arpagaus, C.; Betz, G. New insights into respirable protein powder preparation using a nano spray dryer. Int. J. Pharm. 2011, 408, 248–256. [Google Scholar] [CrossRef]
- Simeonova, M.; Ivanova, G.; Enchev, V.; Markova, N.; Kamburov, M.; Petkov, C.; Devery, A.; O’Connor, R.; Brougham, D. Physicochemical characterization and in vitro behavior of daunorubicin-loaded poly(butylcyanoacrylate) nanoparticles. Acta Biomater. 2009, 5, 2109–2121. [Google Scholar] [CrossRef]
- Wang, J.; Chen, B.; Chen, J.; Cai, X.; Xia, G.; Liu, R.; Chen, P.; Zhang, Y.; Wang, X. Synthesis and antitumor efficacy of daunorubicin-loaded magnetic nanoparticles. Int. J. Nanomed. 2011, 6, 203–211. [Google Scholar]
- Lotfi, K.; Zackrisson, A.L.; Peterson, C. Comparison of idarubicin and daunorubicin regarding intracellular uptake, induction of apoptosis, and resistance. Cancer Lett. 2002, 178, 141–149. [Google Scholar] [CrossRef]
- Available online: www.agilent.com/cs/library/usermanuals/public/XFp_Cell_Mito_Stress_Test_Kit_User_Guide.pdf (accessed on 1 July 2022).
- Available online: www.agilent.com/en/product/cell-analysis/real-time-cell-metabolic-analysis/xf-software/seahorse-xf-cell-mito-stress-test-report-generators-740899?fbclid=IwAR2K0AdgiaVBUtrcWsfD0MagKj4KGCIzKUG-Nr9VgEKOedjB8TZyZWVdX6g (accessed on 1 September 2022).
- Rose, D.; Tessier, H. Effect of Various Salts on the Coagulation of Casein. J. Dairy Sci. 1959, 42, 989–997. [Google Scholar] [CrossRef]
- Sinaga, H.; Bansal, N.; Bhandari, B. Effects of milk pH alteration on casein micelle size and gelation properties of milk. Int. J. Food Prop. 2017, 20, 179–197. [Google Scholar] [CrossRef]
- Madan, J.R.; Ansari, I.N.; Dua, K.; Awasthi, R. Formulation and In Vitro Evaluation of Casein Nanoparticles as Carrier for Celecoxib. Adv. Pharm. Bull. 2020, 10, 408–417. [Google Scholar] [CrossRef] [PubMed]
- Iskandar, F.; Gradon, L.; Okuyama, K. Control of the morphology of nanostructured particles prepared by the spray drying of a nanoparticle sol. J. Colloid Interface Sci. 2003, 265, 296–303. [Google Scholar] [CrossRef] [PubMed]
- Puthli, S.; Vavia, P. Gamma irradiated micro system for long-term parenteral contraception: Alternative to synthetic polymers. Eur. J. Pharm. Sci. 2008, 35, 307–317. [Google Scholar] [CrossRef]
- Xu, D.; Wang, X.; Ding, L. Spectroscopic studies on the interaction of γ-cyclodextrin–daunorubicin inclusion complex with herring sperm DNA. Carbohydr. Polym. 2011, 83, 1257–1262. [Google Scholar] [CrossRef]
- Bloom, H.; Briggs, L.H.; Cleverley, B. Physical properties of anthraquinone and its derivatives. Part 1. Infrared spectra. J. Chem. Soc. 1959, 178–185. [Google Scholar] [CrossRef]
- Rehan, F.; Ahemad, N.; Islam, R.A.; Gupta, M.; Gan, S.H.; Chowdhury, E.H. Optimization and formulation of nanostructured and self-assembled caseinate micelles for enhanced cytotoxic effects of paclitaxel on breast cancer cells. Pharmaceutics 2020, 12, 984. [Google Scholar] [CrossRef]
- Coskun, A.E.I.; Sağlam, D.; Venema, P.; van der Linden, E.; Scholten, E. Preparation, structure and stability of sodium caseinate and gelatin micro-particles. Food Hydrocoll. 2015, 45, 291–300. [Google Scholar] [CrossRef]
- Ghorbani Gorji, S.; Ghorbani Gorji, E.; Mohammadifar, M.A. Effect of pH on turbidity, size, viscosity and the shape of sodium caseinate aggregates with light scattering and rheometry. J. Food Sci. Technol. 2015, 52, 1820–1824. [Google Scholar] [CrossRef] [PubMed]
- Schulte, J.; Stöckermann, M.; Gebhardt, R. Influence of pH on the stability and structure of single casein microparticles. Food Hydrocoll. 2020, 105, 105741. [Google Scholar] [CrossRef]
- Gu, T.; Yao, C.; Zhang, K.; Li, C.; Ding, L.; Huang, Y.; Wu, M.; Wang, Y. Toxic effects of zinc oxide nanoparticles combined with vitamin C and casein phosphopeptides on gastric epithelium cells and the intestinal absorption of mice. RSC Adv. 2018, 8, 26078–26088. [Google Scholar] [CrossRef] [PubMed]
- Gandhi, S.; Roy, I. Doxorubicin-loaded casein nanoparticles for drug delivery: Preparation, characterization and in vitro evaluation. Int. J. Biol. Macromol. 2019, 121, 6–12. [Google Scholar] [CrossRef] [PubMed]
- Firouzi Niaki, E.; Van Acker, T.; Imre, L.; Nánási, P., Jr.; Tarapcsák, S.; Bacsó, Z.; Vanhaecke, F.; Szabó, G. Interactions of Cisplatin and Daunorubicin at the Chromatin Level. Sci. Rep. 2020, 10, 1107. [Google Scholar] [CrossRef]
- Semwal, R.; Joshi, S.K.; Semwal, R.B.; Semwal, D.K. Recent Developments and Potential for Clinical Use of Casein as a Drug Carrier. Curr. Drug Deliv. 2023, 20, 250–260. [Google Scholar] [CrossRef] [PubMed]
- Głąb, T.K.; Boratyński, J. Potential of Casein as a Carrier for Biologically Active Agents. Top. Curr. Chem. 2017, 375, 71. [Google Scholar] [CrossRef]
- Forssen, E.A.; Malé-Brune, R.; Adler-Moore, J.P.; Lee, M.J.; Schmidt, P.G.; Krasieva, T.B.; Shimizu, S.; Tromberg, B.J. Fluorescence imaging studies for the disposition of daunorubicin liposomes (DaunoXome) within tumor tissue. Cancer Res. 1996, 56, 2066–2075. [Google Scholar]











| Sample Code | Sodium Caseinate (%) | Daunorubicin HCL (mg) | Polymer:Drug Ratio |
|---|---|---|---|
| Cas4-DRB-5 | 2.0 | 5.0 | 100:1 |
| Cas3-DRB-5 | 1.5 | 5.0 | 75:1 |
| Cas2-DRB-5 | 1.0 | 5.0 | 50:1 |
| Cas1-DRB-5 | 0.5 | 5.0 | 25:1 |
| Sample Code | Particle Size ± SD (nm) | PDI ± SD | ζ ± SD (mV) | DL ± SD (%) | EE ± SD (%) | Yield ± SD (%) |
|---|---|---|---|---|---|---|
| Cas4-DRB-5 | 167 ± 38 | 29.10 ± 3.88 | −33.21 ± 3.98 | 2.14 ± 0.07 | 42.80 ± 0.32 | 37.67 ± 1.32 |
| Cas3-DRB-5 | 162 ± 37 | 25.06 ± 4.02 | −25.53 ± 5.64 | 2.38 ± 0.06 | 47.60 ± 0.09 | 46.91 ± 1.27 |
| Cas2-DRB-5 | 142 ± 13 | 27.4 ± 3.43 | −21.52 ± 3.41 | 2.97 ± 0.07 | 59.04 ± 0.22 | 79.63 ± 1.45 |
| Cas1-DRB-5 | 127 ± 42 | 7.65 ± 2.02 | −18.63 ± 3.37 | 3.09 ± 0.11 | 61.80 ± 0.16 | 81.12 ± 1.58 |
Disclaimer/Publisher’s Note: The statements, opinions and data contained in all publications are solely those of the individual author(s) and contributor(s) and not of MDPI and/or the editor(s). MDPI and/or the editor(s) disclaim responsibility for any injury to people or property resulting from any ideas, methods, instructions or products referred to in the content. |
© 2023 by the authors. Licensee MDPI, Basel, Switzerland. This article is an open access article distributed under the terms and conditions of the Creative Commons Attribution (CC BY) license (https://creativecommons.org/licenses/by/4.0/).
Share and Cite
Zahariev, N.; Draganova, M.; Zagorchev, P.; Pilicheva, B. Casein-Based Nanoparticles: A Potential Tool for the Delivery of Daunorubicin in Acute Lymphocytic Leukemia. Pharmaceutics 2023, 15, 471. https://doi.org/10.3390/pharmaceutics15020471
Zahariev N, Draganova M, Zagorchev P, Pilicheva B. Casein-Based Nanoparticles: A Potential Tool for the Delivery of Daunorubicin in Acute Lymphocytic Leukemia. Pharmaceutics. 2023; 15(2):471. https://doi.org/10.3390/pharmaceutics15020471
Chicago/Turabian StyleZahariev, Nikolay, Milena Draganova, Plamen Zagorchev, and Bissera Pilicheva. 2023. "Casein-Based Nanoparticles: A Potential Tool for the Delivery of Daunorubicin in Acute Lymphocytic Leukemia" Pharmaceutics 15, no. 2: 471. https://doi.org/10.3390/pharmaceutics15020471
APA StyleZahariev, N., Draganova, M., Zagorchev, P., & Pilicheva, B. (2023). Casein-Based Nanoparticles: A Potential Tool for the Delivery of Daunorubicin in Acute Lymphocytic Leukemia. Pharmaceutics, 15(2), 471. https://doi.org/10.3390/pharmaceutics15020471

