Novel Green Crosslinked Salecan Hydrogels and Preliminary Investigation of Their Use in 3D Printing
Abstract
1. Introduction
2. Materials and Methods
2.1. Materials
2.2. The Synthesis of Green Crosslinked Salecan Hydrogels
2.3. Physico-Chemical Characterization of Salecan Hydrogels
2.3.1. Determination of the Crosslinking Degree
2.3.2. Swelling Measurements of Salecan Crosslinked Hydrogels
2.3.3. FTIR Analyses
2.3.4. SEM Analyses
2.3.5. Thermo-Mechanical Analyses
2.3.6. Determination of Antimicrobial Activity
2.3.7. The Rheology Behavior of the Salecan-Citric Acid Hydrogel Printing Inks
2.3.8. 3D Printing of the Salecan-Citric acid Hydrogel Inks
3. Results and Discussion
3.1. Synthesis and Characterization of Citrate-Based Salecan Biopolymer
3.1.1. The Crosslinking Reaction and the Determination of Crosslinking Degree
3.1.2. Swelling Properties of Salecan Crosslinked Hydrogels
3.1.3. Morphological Observations of the Crosslinked Biopolymeric Materials
3.1.4. FTIR Analyses
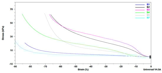
3.1.5. Thermomechanical Analyses of Salecan Crosslinked Materials
3.1.6. Antimicrobial Activity of Green Crosslinked Salecan Hydrogels
3.2. Preliminary Investigation of Salecan Hydrogels for 3D Printing Purposes
3.2.1. The Rheology of Salecan-Based Hydrogels Used Further as Printing Inks
3.2.2. Preliminary Investigation on the Printability of Salecan Hydrogels
3.2.3. The Appearance of the 3D Printed Salecan-Based Structures and Their Morphology
4. Conclusions
Supplementary Materials
Author Contributions
Funding
Data Availability Statement
Acknowledgments
Conflicts of Interest
References
- Mohammed, A.S.A.; Naveed, M.; Jost, N. Polysaccharides; Classification, Chemical Properties, and Future Perspective Applications in Fields of Pharmacology and Biological Medicine (A Review of Current Applications and Upcoming Potentialities). J. Polym. Environ. 2021, 29, 2359–2371. [Google Scholar] [CrossRef]
- Ullah, S.; Khalil, A.A.; Shaukat, F.; Song, Y. Sources, Extraction and Biomedical Properties of Polysaccharides. Foods 2019, 8, 304. [Google Scholar] [CrossRef] [PubMed]
- Polysaccharides: Structure and Solubility. IntechOpen. Available online: https://www.intechopen.com/chapters/57644 (accessed on 18 November 2022).
- Chen, Y.; Xu, H.; Zhou, M.; Wang, Y.; Wang, S.; Zhang, J. Salecan Enhances the Activities of β-1,3-Glucanase and Decreases the Biomass of Soil-Borne Fungi. PLoS ONE 2015, 10, e0134799. [Google Scholar] [CrossRef] [PubMed]
- Xiu, A.; Kong, Y.; Zhou, M.; Zhu, B.; Wang, S.; Zhang, J. The Chemical and Digestive Properties of a Soluble Glucan from Agrobacterium sp. ZX09. Carbohydr. Polym. 2010, 82, 623–628. [Google Scholar] [CrossRef]
- Zhang, Y.; Xia, L.; Pang, W.; Wang, T.; Chen, P.; Zhu, B.; Zhang, J. A Novel Soluble β-1,3-D-Glucan Salecan Reduces Adiposity and Improves Glucose Tolerance in High-Fat Diet-Fed Mice. Br. J. Nutr. 2013, 109, 254–262. [Google Scholar] [CrossRef] [PubMed]
- Sun, Q.; Li, M.; Yang, X.; Xu, X.; Wang, J.; Zhang, J. Dietary Salecan Reverts Partially the Metabolic Gene Expressions and NMR-Based Metabolomic Profiles from High-Fat-Diet-Induced Obese Rats. J. Nutr. Biochem. 2017, 47, 53–62. [Google Scholar] [CrossRef] [PubMed]
- Xu, X.; Ding, Y.; Yang, Y.; Gao, Y.; Sun, Q.; Liu, J.; Yang, X.; Wang, J.; Zhang, J. β-Glucan Salecan Improves Exercise Performance and Displays Anti-Fatigue Effects through Regulating Energy Metabolism and Oxidative Stress in Mice. Nutrients 2018, 10, 858. [Google Scholar] [CrossRef]
- Zhou, M.; Jia, P.; Chen, J.; Xiu, A.; Zhao, Y.; Zhan, Y.; Chen, P.; Zhang, J. Laxative Effects of Salecan on Normal and Two Models of Experimental Constipated Mice. BMC Gastroenterol. 2013, 13, 52. [Google Scholar] [CrossRef]
- Xiu, A.; Zhan, Y.; Zhou, M.; Zhu, B.; Wang, S.; Jia, A.; Dong, W.; Cai, C.; Zhang, J. Results of a 90-Day Safety Assessment Study in Mice Fed a Glucan Produced by Agrobacterium sp. ZX09. Food Chem. Toxicol. 2011, 49, 2377–2384. [Google Scholar] [CrossRef]
- Zhou, M.; Pu, C.; Xia, L.; Yu, X.; Zhu, B.; Cheng, R.; Xu, L.; Zhang, J. Salecan Diet Increases Short Chain Fatty Acids and Enriches Beneficial Microbiota in the Mouse Cecum. Carbohydr. Polym. 2014, 102, 772–779. [Google Scholar] [CrossRef]
- Fu, R.; Li, J.; Zhang, T.; Zhu, T.; Cheng, R.; Wang, S.; Zhang, J. Salecan Stabilizes the Microstructure and Improves the Rheological Performance of Yogurt. Food Hydrocoll. 2018, 81, 474–480. [Google Scholar] [CrossRef]
- Xiu, A.; Zhou, M.; Zhu, B.; Wang, S.; Zhang, J. Rheological Properties of Salecan as a New Source of Thickening Agent. Food Hydrocoll. 2011, 25, 1719–1725. [Google Scholar] [CrossRef]
- Hu, X.; Feng, L.; Wei, W.; Xie, A.; Wang, S.; Zhang, J.; Dong, W. Synthesis and Characterization of a Novel Semi-IPN Hydrogel Based on Salecan and Poly(N,N-Dimethylacrylamide-Co-2-Hydroxyethyl Methacrylate). Carbohydr. Polym. 2014, 105, 135–144. [Google Scholar] [CrossRef]
- Wei, W.; Hu, X.; Qi, X.; Yu, H.; Liu, Y.; Li, J.; Zhang, J.; Dong, W. A Novel Thermo-Responsive Hydrogel Based on Salecan and Poly(N-Isopropylacrylamide): Synthesis and Characterization. Colloids Surf. B Biointerfaces 2015, 125, 1–11. [Google Scholar] [CrossRef] [PubMed]
- Qi, X.; Hu, X.; Wei, W.; Yu, H.; Li, J.; Zhang, J.; Dong, W. Investigation of Salecan/Poly(Vinyl Alcohol) Hydrogels Prepared by Freeze/Thaw Method. Carbohydr. Polym. 2015, 118, 60–69. [Google Scholar] [CrossRef]
- Qi, X.; Wei, W.; Li, J.; Zuo, G.; Pan, X.; Su, T.; Zhang, J.; Dong, W. Salecan-Based pH-Sensitive Hydrogels for Insulin Delivery. Mol. Pharm. 2017, 14, 431–440. [Google Scholar] [CrossRef]
- Wei, W.; Qi, X.; Li, J.; Zhong, Y.; Zuo, G.; Pan, X.; Su, T.; Zhang, J.; Dong, W. Synthesis and Characterization of a Novel Cationic Hydrogel Base on Salecan-g-PMAPTAC. Int. J. Biol. Macromol. 2017, 101, 474–480. [Google Scholar] [CrossRef]
- Qi, X.; Wei, W.; Li, J.; Su, T.; Pan, X.; Zuo, G.; Zhang, J.; Dong, W. Design of Salecan-Containing Semi-IPN Hydrogel for Amoxicillin Delivery. Mater. Sci. Eng. C 2017, 75, 487–494. [Google Scholar] [CrossRef]
- Hu, X.; Wang, Y.; Zhang, L.; Xu, M.; Dong, W.; Zhang, J. Redox/PH Dual Stimuli-Responsive Degradable Salecan-g-SS-Poly(IA-Co-HEMA) Hydrogel for Release of Doxorubicin. Carbohydr. Polym. 2017, 155, 242–251. [Google Scholar] [CrossRef]
- Hu, X.; Wang, Y.; Zhang, L.; Xu, M.; Zhang, J.; Dong, W. Design of a pH-Sensitive Magnetic Composite Hydrogel Based on Salecan Graft Copolymer and Fe3O4@SiO2 Nanoparticles as Drug Carrier. Int. J. Biol. Macromol. 2018, 107, 1811–1820. [Google Scholar] [CrossRef]
- Qi, X.; Su, T.; Tong, X.; Xiong, W.; Zeng, Q.; Qian, Y.; Zhou, Z.; Wu, X.; Li, Z.; Shen, L.; et al. Facile Formation of Salecan/Agarose Hydrogels with Tunable Structural Properties for Cell Culture. Carbohydr. Polym. 2019, 224, 115208. [Google Scholar] [CrossRef] [PubMed]
- Fan, Z.; Cheng, P.; Wang, D.; Zhao, Y.; Wang, Z.; Han, J. Design and Investigation of Salecan/Chitosan Hydrogel Formulations with Improved Antibacterial Performance and 3D Cell Culture Function. J. Biomater. Sci. Polym. Ed. 2020, 31, 2268–2284. [Google Scholar] [CrossRef] [PubMed]
- Hu, X.; Wang, Y.; Zhang, L.; Xu, M. Formation of Self-Assembled Polyelectrolyte Complex Hydrogel Derived from Salecan and Chitosan for Sustained Release of Vitamin C. Carbohydr. Polym. 2020, 234, 115920. [Google Scholar] [CrossRef] [PubMed]
- Fan, Z.; Cheng, P.; Yin, G.; Wang, Z.; Han, J. In Situ Forming Oxidized Salecan/Gelatin Injectable Hydrogels for Vancomycin Delivery and 3D Cell Culture. J. Biomater. Sci. Polym. Ed. 2020, 31, 762–780. [Google Scholar] [CrossRef]
- Qi, X.; Su, T.; Zhang, M.; Tong, X.; Pan, W.; Zeng, Q.; Zhou, Z.; Shen, L.; He, X.; Shen, J. Macroporous Hydrogel Scaffolds with Tunable Physicochemical Properties for Tissue Engineering Constructed Using Renewable Polysaccharides. ACS Appl. Mater. Interfaces 2020, 12, 13256–13264. [Google Scholar] [CrossRef]
- Understanding the Rheological Properties of a Novel Composite Salecan/Gellan Hydrogels—ScienceDirect. Available online: https://www.sciencedirect.com/science/article/pii/S0268005X21005786 (accessed on 21 November 2022).
- Gan, J.; Sun, L.; Guan, C.; Ren, T.; Zhang, Q.; Pan, S.; Zhang, Q.; Chen, H. Preparation and Properties of Salecan-Soy Protein Isolate Composite Hydrogel Induced by Thermal Treatment and Transglutaminase. Int. J. Mol. Sci. 2022, 23, 9383. [Google Scholar] [CrossRef]
- Zhang, Q.; Ren, T.; Gan, J.; Sun, L.; Guan, C.; Zhang, Q.; Pan, S.; Chen, H. Synthesis and Rheological Characterization of a Novel Salecan Hydrogel. Pharmaceutics 2022, 14, 1492. [Google Scholar] [CrossRef]
- Hu, X.; Yan, L.; Wang, Y.; Xu, M. Ion-Imprinted Sponge Produced by Ice Template-Assisted Freeze Drying of Salecan and Graphene Oxide Nanosheets for Highly Selective Adsorption of Mercury (II) Ion. Carbohydr. Polym. 2021, 258, 117622. [Google Scholar] [CrossRef]
- Su, T.; Qi, X.; Zuo, G.; Pan, X.; Zhang, J.; Han, Z.; Dong, W. Polysaccharide Metallohydrogel Obtained from Salecan and Trivalent Chromium: Synthesis and Characterization. Carbohydr. Polym. 2018, 181, 285–291. [Google Scholar] [CrossRef]
- Gerezgiher, A.G.; Szabó, T. Crosslinking of Starch Using Citric Acid. J. Phys. Conf. Ser. 2022, 2315, 012036. [Google Scholar] [CrossRef]
- Singh, P.; Baisthakur, P.; Yemul, O.S. Synthesis, Characterization and Application of Crosslinked Alginate as Green Packaging Material. Heliyon 2020, 6, e03026. [Google Scholar] [CrossRef] [PubMed]
- Kanafi, N.M.; Rahman, N.A.; Rosdi, N.H. Citric Acid Cross-Linking of Highly Porous Carboxymethyl Cellulose/Poly(Ethylene Oxide) Composite Hydrogel Films for Controlled Release Applications. Mater. Today Proc. 2019, 7, 721–731. [Google Scholar] [CrossRef]
- Zhuang, L.; Zhi, X.; Du, B.; Yuan, S. Preparation of Elastic and Antibacterial Chitosan—Citric Membranes with High Oxygen Barrier Ability by in Situ Cross-Linking. ACS Omega 2020, 5, 1086–1097. [Google Scholar] [CrossRef] [PubMed]
- Zhang, A.; Han, Y.; Zhou, Z. Characterization of Citric Acid Crosslinked Chitosan/Gelatin Composite Film with Enterocin CHQS and Red Cabbage Pigment. Food Hydrocoll. 2023, 135, 108144. [Google Scholar] [CrossRef]
- Chang, A.; Ye, Z.; Ye, Z.; Deng, J.; Lin, J.; Wu, C.; Zhu, H. Citric Acid Crosslinked Sphingan WL Gum Hydrogel Films Supported Ciprofloxacin for Potential Wound Dressing Application. Carbohydr. Polym. 2022, 291, 119520. [Google Scholar] [CrossRef] [PubMed]
- Chen, H.; Li, B.; Feng, B.; Wang, H.; Yuan, H.; Xu, Z. Tetracycline Hydrochloride Loaded Citric Acid Functionalized Chitosan Hydrogel for Wound Healing. RSC Adv. 2019, 9, 19523–19530. [Google Scholar] [CrossRef] [PubMed]
- Kenawy, E.-R.S.; Kamoun, E.A.; Eldin, M.S.; Soliman, H.M.A.; EL-Moslamy, S.H.; El-Fakharany, E.M.; Shokr, A.M. Electrospun PVA—Dextran Nanofibrous Scaffolds for Acceleration of Topical Wound Healing: Nanofiber Optimization, Characterization and In Vitro Assessment. Arab. J. Sci. Eng. 2022. [Google Scholar] [CrossRef]
- Qi, X.; Chen, M.; Qian, Y.; Liu, M.; Li, Z.; Shen, L.; Qin, T.; Zhao, S.; Zeng, Q.; Shen, J. Construction of Macroporous Salecan Polysaccharide-Based Adsorbents for Wastewater Remediation. Int. J. Biol. Macromol. 2019, 132, 429–438. [Google Scholar] [CrossRef]
- Hu, X.; Yan, L.; Wang, Y.; Xu, M. Microwave-Assisted Synthesis of Nutgall Tannic Acid—Based Salecan Polysaccharide Hydrogel for Tunable Release of β-Lactoglobulin. Int. J. Biol. Macromol. 2020, 161, 1431–1439. [Google Scholar] [CrossRef]
- Patel, J.B. (Ed.) Performance Standards for Antimicrobial Disk Susceptibility Test: Approved Standards, 12th ed.; Committee for Clinical Laboratory Standards: Wayne, PA, USA, 2015; ISBN 978-1-56238-985-7. [Google Scholar]
- Mali, K.K. Development of Vancomycin-Loaded Polysaccharide-Based Hydrogel Wound Dressings: In Vitro and In Vivo Evaluation. Asian J. Pharm. (AJP) 2018, 12, 2321. [Google Scholar] [CrossRef]
- Quadrado, R.F.N.; Fajardo, A.R. Microparticles Based on Carboxymethyl Starch/Chitosan Polyelectrolyte Complex as Vehicles for Drug Delivery Systems. Arab. J. Chem. 2020, 13, 2183–2194. [Google Scholar] [CrossRef]
- Ianchis, R.; Ninciuleanu, C.; Gifu, I.; Alexandrescu, E.; Somoghi, R.; Gabor, A.; Preda, S.; Nistor, C.; Nitu, S.; Petcu, C.; et al. Novel Hydrogel-Advanced Modified Clay Nanocomposites as Possible Vehicles for Drug Delivery and Controlled Release. Nanomaterials 2017, 7, 443. [Google Scholar] [CrossRef] [PubMed]
- Florian, P.E.; Icriverzi, M.; Ninciuleanu, C.M.; Alexandrescu, E.; Trica, B.; Preda, S.; Ianchis, R.; Roseanu, A. Salecan-Clay Based Polymer Nanocomposites for Chemotherapeutic Drug Delivery Systems; Characterization and In Vitro Biocompatibility Studies. Materials 2020, 13, 5389. [Google Scholar] [CrossRef] [PubMed]
- Hernandez, J.L.; Woodrow, K.A. Medical Applications of Porous Biomaterials: Features of Porosity and Tissue-Specific Implications for Biocompatibility. Adv. Healthc. Mater. 2022, 11, 2102087. [Google Scholar] [CrossRef] [PubMed]
- Franke, D.; Gerlach, G. Studies on Porosity in Poly(<I>N</I>-Isopropylacrylamide) Hydrogels for Fast-Responsive Piezoresistive Microsensors. J. Sens. Sens. Syst. 2021, 10, 93–100. [Google Scholar] [CrossRef]
- Santos, R.V.; Mendes, M.A.A.; Alexandre, C.; Carrott, M.R.; Rodrigues, A.; Ferreira, A.F. Assessment of Biomass and Biochar of Maritime Pine as a Porous Medium for Water Retention in Soils. Energies 2022, 15, 5882. [Google Scholar] [CrossRef]
- Adjuik, T.A.; Nokes, S.E.; Montross, M.D.; Wendroth, O. The Impacts of Bio-Based and Synthetic Hydrogels on Soil Hydraulic Properties: A Review. Polymers 2022, 14, 4721. [Google Scholar] [CrossRef]
- Nataraj, D.; Reddy, R.; Reddy, N. Crosslinking Electrospun Poly (Vinyl) Alcohol Fibers with Citric Acid to Impart Aqueous Stability for Medical Applications. Eur. Polym. J. 2020, 124, 109484. [Google Scholar] [CrossRef]
- Hua, K.; Xu, X.; Luo, Z.; Fang, D.; Bao, R.; Yi, J. Effective Removal of Mercury Ions in Aqueous Solutions: A Review. Curr. Nanosci. 2020, 16, 363–375. [Google Scholar] [CrossRef]
- Ninciuleanu, C.M.; Ianchiş, R.; Alexandrescu, E.; Mihăescu, C.I.; Scomoroşcenco, C.; Nistor, C.L.; Preda, S.; Petcu, C.; Teodorescu, M. The Effects of Monomer, Crosslinking Agent, and Filler Concentrations on the Viscoelastic and Swelling Properties of Poly(Methacrylic Acid) Hydrogels: A Comparison. Materials 2021, 14, 2305. [Google Scholar] [CrossRef]
- Ninciuleanu, C.M.; Ianchiș, R.; Alexandrescu, E.; Mihăescu, C.I.; Burlacu, S.; Trică, B.; Nistor, C.L.; Preda, S.; Scomoroscenco, C.; Gîfu, C.; et al. Adjusting Some Properties of Poly(Methacrylic Acid) (Nano)Composite Hydrogels by Means of Silicon-Containing Inorganic Fillers. Int. J. Mol. Sci. 2022, 23, 10320. [Google Scholar] [CrossRef] [PubMed]
- Yu, K.; Xin, A.; Du, H.; Li, Y.; Wang, Q. Additive Manufacturing of Self-Healing Elastomers. NPG Asia Mater 2019, 11, 1–11. [Google Scholar] [CrossRef]
- Shao, H.; Zhang, H.; Tian, Y.; Song, Z.; Lai, P.F.H.; Ai, L. Composition and Rheological Properties of Polysaccharide Extracted from Tamarind (Tamarindus indica L.) Seed. Molecules 2019, 24, 1218. [Google Scholar] [CrossRef] [PubMed]
- Gloria, A.; Russo, T.; D’Amora, U.; Santin, M.; De Santis, R.; Ambrosio, L. Customised Multiphasic Nucleus/Annulus Scaffold for Intervertebral Disc Repair/Regeneration. Connect. Tissue Res. 2020, 61, 152–162. [Google Scholar] [CrossRef]











| Sample Name | Composition | Salecan (g) | Medium (mL) | CA Concentration (%) |
|---|---|---|---|---|
| S0 | S10% | 1 | 10 | - |
| S1 | S5-AC15 | 0.5 | 10 | 15 |
| S2 | S7.5-AC15 | 0.75 | 10 | 15 |
| S3 | S10-AC15 | 1 | 10 | 15 |
| S4 | S10-AC10 | 1 | 10 | 10 |
| S5 | S10-AC5 | 1 | 10 | 5 |
| S6 | S7.5-AC5 | 0.75 | 10 | 5 |
| S7 | S5-AC5 | 0.5 | 10 | 5 |
| S8 | S5-AC10 | 0.5 | 10 | 10 |
| S9 | S7.5-AC10 | 0.75 | 10 | 10 |
| Sample Name | Concentration × 10−3 (mg/mL) | CD (%) | STD |
|---|---|---|---|
| S1 | 0.023 | 91 | ±0.03 |
| S2 | 0.028 | 93 | ±0.02 |
| S3 | 0.021 | 95 | ±0.04 |
| S4 | 0.025 | 94 | ±0.03 |
| S5 | 0.034 | 93 | ±0.02 |
| S6 | 0.016 | 95 | ±0.04 |
| S7 | 0.009 | 96 | ±0.03 |
| S8 | 0.012 | 95 | ±0.04 |
| S9 | 0.017 | 95 | ±0.02 |
| Sample | E. coli ATCC 11229 (Gram Negative) | S. aureus ATCC 29213 (Gram Positive) | ||||
|---|---|---|---|---|---|---|
| Evaluation | Inhibition Zone (mm) | SD (Standard Deviation) for Three Determinations | Evaluation | Inhibition Zone (mm) | SD (Standard Deviation) for Three Determinations | |
| S1 | + | 30 | 0.1 | + | 35 | 0.2 |
| S2 | + | 35.5 | 0.1 | + | 33 | 0.2 |
| S3 | + | 27.5 | 0.2 | + | 29.5 | 0.1 |
| S4 | + | 26 | 0.1 | + | 27.5 | 0.1 |
| S5 | + | 22.5 | 0.1 | + | 25 | 0.2 |
| S6 | + | 19 | 0.2 | + | 21 | 0.1 |
| S7 | + | 22 | 0.1 | + | 18 | 0.1 |
| S8 | + | 17 | 0.1 | + | 21 | 0.1 |
| S9 | + | 29 | 0.2 | + | 27.5 | 0.1 |
Disclaimer/Publisher’s Note: The statements, opinions and data contained in all publications are solely those of the individual author(s) and contributor(s) and not of MDPI and/or the editor(s). MDPI and/or the editor(s) disclaim responsibility for any injury to people or property resulting from any ideas, methods, instructions or products referred to in the content. |
© 2023 by the authors. Licensee MDPI, Basel, Switzerland. This article is an open access article distributed under the terms and conditions of the Creative Commons Attribution (CC BY) license (https://creativecommons.org/licenses/by/4.0/).
Share and Cite
Ianchis, R.; Alexa, R.L.; Gifu, I.C.; Marin, M.M.; Alexandrescu, E.; Constantinescu, R.; Serafim, A.; Nistor, C.L.; Petcu, C. Novel Green Crosslinked Salecan Hydrogels and Preliminary Investigation of Their Use in 3D Printing. Pharmaceutics 2023, 15, 373. https://doi.org/10.3390/pharmaceutics15020373
Ianchis R, Alexa RL, Gifu IC, Marin MM, Alexandrescu E, Constantinescu R, Serafim A, Nistor CL, Petcu C. Novel Green Crosslinked Salecan Hydrogels and Preliminary Investigation of Their Use in 3D Printing. Pharmaceutics. 2023; 15(2):373. https://doi.org/10.3390/pharmaceutics15020373
Chicago/Turabian StyleIanchis, Raluca, Rebeca Leu Alexa, Ioana Catalina Gifu, Maria Minodora Marin, Elvira Alexandrescu, Roxana Constantinescu, Andrada Serafim, Cristina Lavinia Nistor, and Cristian Petcu. 2023. "Novel Green Crosslinked Salecan Hydrogels and Preliminary Investigation of Their Use in 3D Printing" Pharmaceutics 15, no. 2: 373. https://doi.org/10.3390/pharmaceutics15020373
APA StyleIanchis, R., Alexa, R. L., Gifu, I. C., Marin, M. M., Alexandrescu, E., Constantinescu, R., Serafim, A., Nistor, C. L., & Petcu, C. (2023). Novel Green Crosslinked Salecan Hydrogels and Preliminary Investigation of Their Use in 3D Printing. Pharmaceutics, 15(2), 373. https://doi.org/10.3390/pharmaceutics15020373

