Effect of Basic Amino Acids on Folic Acid Solubility
Abstract
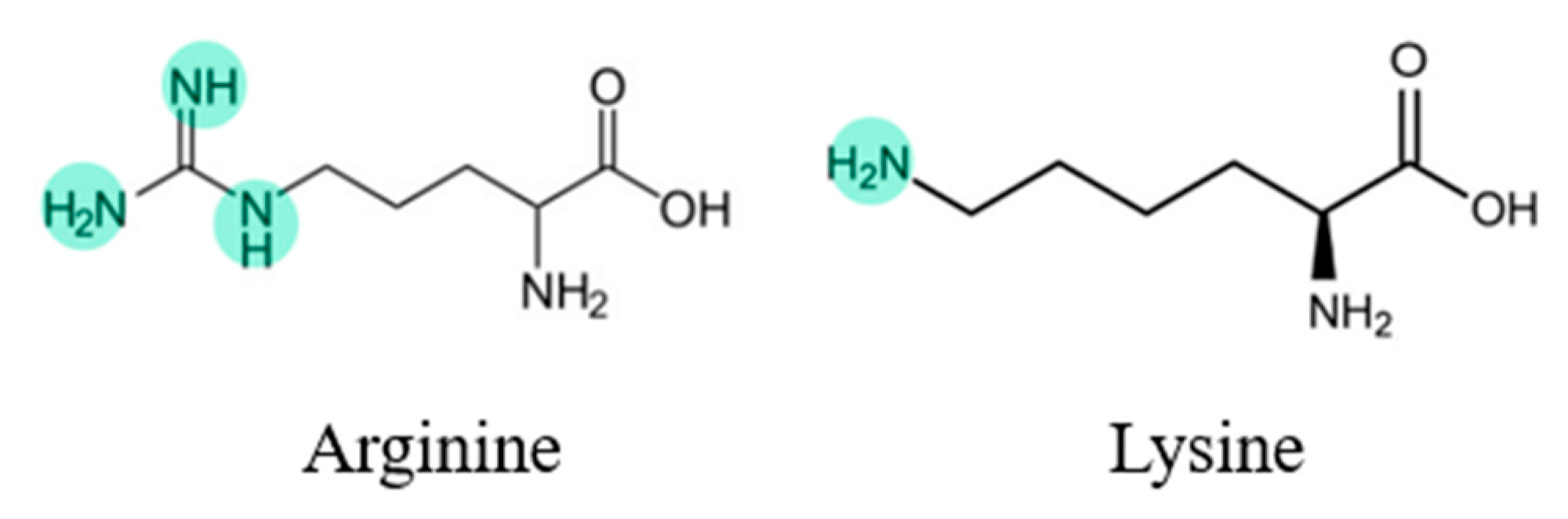
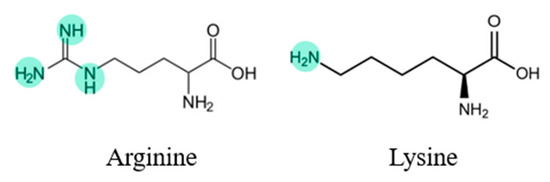
:1. Introduction
2. Materials and Methods
2.1. Conductimetric and Potentiometric Titration of Folic Acid with Amino Acid for Composition-Solubility Optimization
2.2. Preparation of Binary Formulations of FA:AA
- (1)
- Physical mixture (CPM), mixing the two pure crystalline components without further process;
- (2)
- Amorphous salt formation by solvent evaporation (ASE) in which a physical mixture of the two pure crystalline components was dissolved in water and then dried under a vacuum oven overnight.
- (3)
- Amorphous by ball milling (BM), in which the two pure crystalline components were intimately mixed to obtain a fine powder.
2.3. Structural Characterization by Powder X-ray Diffraction (PXRD)
2.4. Intermolecular Interactions by Fourier-Transform Infrared Spectroscopy (FTIR)
2.5. Solubility Measurements
2.6. Thermal Stability of the Formulations by Simultaneous Thermal Analysis
2.7. SEM Inspection of the Binary System’s Morphology
3. Results
3.1. Conductimetric and Potentiometric Titrations
3.2. Structural Characterization by X-ray Diffraction (XRD)
3.3. Intermolecular Interactions Results
3.4. Solubility Results
3.5. Thermal Properties of the FA Formulations
3.6. Morphological Inspection of the FA-AA Systems
4. Conclusions
Author Contributions
Funding
Institutional Review Board Statement
Informed Consent Statement
Data Availability Statement
Acknowledgments
Conflicts of Interest
References
- Naninck, E.F.G.; Stijger, P.C.; Brouwer-Brolsma, E.M. The Importance of Maternal Folate Status for Brain Development and Function of Offspring. Adv. Nutr. 2019, 10, 502–519. [Google Scholar] [CrossRef]
- Batinić, P.M.; Đorđević, V.B.; Stevanović, S.I.; Balanč, B.D.; Marković, S.B.; Luković, N.D.; Mijin, D.Ž.; Bugarski, B.M. Formulation and Characterization of Novel Liposomes Containing Histidine for Encapsulation of a Poorly Soluble Vitamin. J. Drug Deliv. Sci. Technol. 2020, 59, 101920. [Google Scholar] [CrossRef]
- Higdon, J. (Instituto L.P. Folato | Linus Pauling Institute | Oregon State University). Available online: https://lpi.oregonstate.edu/es/mic/vitaminas/folato#determinacion-IDR (accessed on 19 April 2022).
- Braga, D.; Chelazzi, L.; Grepioni, F.; Maschio, L.; Nanna, S.; Taddei, P. Folic Acid in the Solid State: A Synergistic Computational, Spectroscopic, and Structural Approach. Cryst. Growth Des. 2016, 16, 2218–2224. [Google Scholar] [CrossRef]
- Lionaki, E.; Ploumi, C.; Tavernarakis, N. One-Carbon Metabolism: Pulling the Strings behind Aging and Neurodegeneration. Cells 2022, 11, 214. [Google Scholar] [CrossRef]
- Virdi, S.; Jadavji, N.M. The Impact of Maternal Folates on Brain Development and Function after Birth. Metabolites 2022, 12, 876. [Google Scholar] [CrossRef]
- Wu, S.; Feng, P.; Li, W.; Zhuo, S.; Lu, W.; Chen, P.; Sui, Y.; Fang, S.; Yang, Z.; Ye, Y. Dietary Folate, Vitamin B6, and Vitamin B12 and Risk of Cardiovascular Diseases among Individuals with Type 2 Diabetes: A Case-Control Study. Ann. Nutr. Metab. 2023, 79, 5–15. [Google Scholar] [CrossRef] [PubMed]
- Hofsäss, M.A.; de Souza, J.; Silva-Barcellos, N.M.; Bellavinha, K.R.; Abrahamsson, B.; Cristofoletti, R.; Groot, D.W.; Parr, A.; Langguth, P.; Polli, J.E.; et al. Biowaiver Monographs for Immediate-Release Solid Oral Dosage Forms: Folic Acid. J. Pharm. Sci. 2017, 106, 3421–3430. [Google Scholar] [CrossRef]
- Instituto Mexicano del Seguro Social Guía de Práctica Clínica. Control Prenatal Con Atención Centrada En La Paciente. In Guía de Evidencias y Recomendaciones; Instituto Mexicano del Seguro Social (IMSS): Torreón, México, 2017; Volume 104. Available online: https://www.imss.gob.mx/sites/all/statics/guiasclinicas/028GER.pdf (accessed on 11 June 2022).
- Folate and Folic Acid on the Nutrition and Supplement Facts Labels | FDA. Available online: https://www.fda.gov/food/new-nutrition-facts-label/folate-and-folic-acid-nutrition-and-supplement-facts-labels (accessed on 11 June 2022).
- Brito, A.; HertrAmpf, E.; OlivAres, M.; GAitán, D.; SáncHez, H.; Allen, L.H.; Uauy, R. Folatos y Vitamina B12 En La Salud Humana. Rev. Med. Chile 2012, 140, 1464–1475. [Google Scholar] [CrossRef] [PubMed]
- Czeizel, A.E.; Dudás, I.; Vereczkey, A.; Bánhidy, F. Folate Deficiency and Folic Acid Supplementation: The Prevention of Neural-Tube Defects and Congenital Heart Defects. Nutrients 2013, 5, 4760–4775. [Google Scholar] [CrossRef]
- Verwei, M.; Van Den Berg, H.; Havenaar, R.; Groten, J.P. Effect of Folate-Binding Protein on Intestinal Transport of Folic Acid and 5-Methyltetrahydrofolate across Caco-2 Cells. Eur. J. Nutr. 2005, 44, 242–249. [Google Scholar] [CrossRef]
- O’Neil, M.J. The Merck Index: An Encyclopedia of Chemicals, Drugs, and Biologicals, 14th ed.; Merck and Co., Inc.: Whitehouse Station, NJ, USA, 2001. [Google Scholar]
- Fogacci, S.; Fogacci, F.; Cicero, A.F.G. Nutraceuticals and Hypertensive Disorders in Pregnancy: The Available Clinical Evidence. Nutrients 2020, 12, 378. [Google Scholar] [CrossRef] [PubMed]
- Savjani, K.T.; Gajjar, A.K.; Savjani, J.K. Drug Solubility: Importance and Enhancement Techniques. ISRN Pharm. 2012, 2012, 195727. [Google Scholar] [CrossRef] [PubMed]
- Younis, I.R.; Stamatakis, M.K.; Callery, P.S.; Meyer-Stout, P.J. Influence of PH on the Dissolution of Folic Acid Supplements. Int. J. Pharm. 2009, 367, 97–102. [Google Scholar] [CrossRef] [PubMed]
- Giebe, K.; Counts, C.; O’Shea, C. Comparison of Prenate Advance(TM) with Other Prescription Prenatal Vitamins: A Folic Acid Dissolution Study. Adv. Ther. 2000, 17, 179–183. [Google Scholar] [CrossRef]
- Cerreia Vioglio, P.; Chierotti, M.R.; Gobetto, R. Pharmaceutical Aspects of Salt and Cocrystal Forms of APIs and Characterization Challenges. Adv. Drug Deliv. Rev. 2017, 117, 86–110. [Google Scholar] [CrossRef]
- Elder, D.P.; Holm, R.; De Diego, H.L. Use of Pharmaceutical Salts and Cocrystals to Address the Issue of Poor Solubility. Int. J. Pharm. 2013, 453, 88–100. [Google Scholar] [CrossRef]
- Guillory, J.K. Journal of Medicinal Chemistry; American Chemical Society (ACS): Washington, DC, USA, 2003; Volume 46. [Google Scholar]
- Sarma, B.; Chen, J.; Hsi, H.Y.; Myerson, A.S. Solid Forms of Pharmaceuticals: Polymorphs, Salts and Cocrystals. Korean J. Chem. Eng. 2011, 28, 315–322. [Google Scholar] [CrossRef]
- Kasten, G.; Lobo, L.; Dengale, S.; Grohganz, H.; Rades, T.; Löbmann, K. In Vitro and in Vivo Comparison between Crystalline and Co-Amorphous Salts of Naproxen-Arginine. Eur. J. Pharm. Biopharm. 2018, 132, 192–199. [Google Scholar] [CrossRef]
- Babu, N.J.; Nangia, A. Solubility Advantage of Amorphous Drugs and Pharmaceutical Cocrystals. Cryst. Growth Des. 2011, 11, 2662–2679. [Google Scholar] [CrossRef]
- Morales, P.E.; Cruz, J.; Martinez, C.; Videa, M.; Martinez, L.M.; Eugenia Morales, P.; Cruz, J.; Martínez, C.; Videa, M.; María Martínez, L. Nano and Micro Dispersions of Two-Phase Amorphous-Amorphous Drug Formulations as Strategy to Enhance Solubility of Pharmaceuticals. Mater. Today Proc. 2019, 13, 390–396. [Google Scholar] [CrossRef]
- Shi, Q.; Moinuddin, S.M.; Cai, T. Advances in Coamorphous Drug Delivery Systems. Acta Pharm. Sin. B 2019, 9, 19–35. [Google Scholar] [CrossRef] [PubMed]
- Dengale, S.J.; Grohganz, H.; Rades, T.; Löbmann, K. Recent Advances in Co-Amorphous Drug Formulations. Adv. Drug Deliv. Rev. 2016, 100, 116–125. [Google Scholar] [CrossRef]
- Chavan, R.B.; Thipparaboina, R.; Kumar, D.; Shastri, N.R. Co Amorphous Systems: A Product Development Perspective. Int. J. Pharm. 2016, 515, 403–415. [Google Scholar] [CrossRef] [PubMed]
- Yu, L. Amorphous Pharmaceutical Solids: Preparation, Characterization and Stabilization. Adv. Drug Deliv. Rev. 2001, 48, 27–42. [Google Scholar] [CrossRef] [PubMed]
- Wu, W.; Grohganz, H.; Rades, T.; Löbmann, K. Comparison of Co-Former Performance in Co-Amorphous Formulations: Single Amino Acids, Amino Acid Physical Mixtures, Amino Acid Salts and Dipeptides as Co-Formers. Eur. J. Pharm. Sci. 2021, 156, 105582. [Google Scholar] [CrossRef]
- Martínez-Jiménez, C.; Angeles, J.; Videa, M.; Martinez, L.M.; Cruz-Angeles, J.; Videa, M.; Martínez, L.M. Co-Amorphous Simvastatin-Nifedipine with Enhanced Solubility for Possible Use in Combination Therapy of Hypertension and Hypercholesterolemia. Molecules 2018, 23, 2161. [Google Scholar] [CrossRef]
- Cruz-Angeles, J.; Videa, M.; Martínez, L.M.; Angeles, J.; Videa, M.; Martinez, L.M. Highly Soluble Glimepiride and Irbesartan Co-Amorphous Formulation with Potential Application in Combination Therapy. AAPS PharmSciTech 2019, 20, 144. [Google Scholar] [CrossRef]
- Anuruddha, C.; Jagdale, S.C.; Preeti, G. Amino Acid Conjugation: An Approach to Enhance Aqueous Solubility and Permeability of Poorly Water Soluble Drug Ritonavir. JDDT 2019, 9, 252–256. [Google Scholar]
- Kasten, G.; Grohganz, H.; Rades, T.; Löbmann, K. Development of a Screening Method for Co-Amorphous Formulations of Drugs and Amino Acids. Eur. J. Pharm. Sci. 2016, 95, 28–35. [Google Scholar] [CrossRef]
- Wu, W.; Löbmann, K.; Schnitzkewitz, J.; Knuhtsen, A.; Pedersen, D.S.; Rades, T.; Grohganz, H. Dipeptides as Co-Formers in Co-Amorphous Systems. Eur. J. Pharm. Biopharm. 2019, 134, 68–76. [Google Scholar] [CrossRef]
- Shemchuk, O.; André, V.; Duarte, M.T.; Taddei, P.; Rubini, K.; Braga, D.; Grepioni, F. Molecular Salts of l -Carnosine: Combining a Natural Antioxidant and Geroprotector with “Generally Regarded as Safe” (GRAS) Organic Acids. Cryst. Growth Des. 2017, 17, 3379–3386. [Google Scholar] [CrossRef]
- Lenz, E.; Jensen, K.T.; Blaabjerg, L.I.; Knop, K.; Grohganz, H.; Löbmann, K.; Rades, T.; Kleinebudde, P. Solid-State Properties and Dissolution Behaviour of Tablets Containing Co-Amorphous Indomethacin-Arginine. Eur. J. Pharm. Biopharm. 2015, 96, 44–52. [Google Scholar] [CrossRef]
- Mesallati, H.; Conroy, D.; Hudson, S.; Tajber, L. Preparation and Characterization of Amorphous Ciprofloxacin-Amino Acid Salts. Eur. J. Pharm. Biopharm. 2017, 121, 73–89. [Google Scholar] [CrossRef] [PubMed]
- Park, H.; Jin Seo, H.; Hong, S.H.; Ha, E.S.; Lee, S.; Kim, J.S.; Baek, I.H.; Kim, M.S.; Hwang, S.J. Characterization and Therapeutic Efficacy Evaluation of Glimepiride and L-Arginine Co-Amorphous Formulation Prepared by Supercritical Antisolvent Process: Influence of Molar Ratio and Preparation Methods. Int. J. Pharm. 2020, 581, 119232. [Google Scholar] [CrossRef]
- Liu, J.; Rades, T.; Grohganz, H. Determination of the Optimal Molar Ratio in Amino Acid-Based Coamorphous Systems. ACS Appl. Mater. Interfaces 2020, 17, 1335–1342. [Google Scholar] [CrossRef]
- Martins, I.C.B.; Forte, A.; Diogo, H.P.; Raposo, L.R.; Baptista, P.V.; Fernandes, A.R.; Branco, L.C.; Duarte, M.T. A Solvent-free Strategy to Prepare Amorphous Salts of Folic Acid with Enhanced Solubility and Cell Permeability. Chem. Methods 2022, 2, e202100104. [Google Scholar] [CrossRef]
- Chen, Y.M.; Li, H.; Chiu, Y.S.; Huang, C.C.; Chen, W.C. Supplementation of L-Arginine, L-Glutamine, Vitamin C, Vitamin E, Folic Acid, and Green Tea Extract Enhances Serum Nitric Oxide Content and Antifatigue Activity in Mice. Evid. Based Complement. Altern. Med. 2020, 2020, 8312647. [Google Scholar] [CrossRef] [PubMed]
- Rasic-Markovic, A.; Hrncic, D.; Krstic, D.; Colovic, M.; Djuric, E.; Rankov-Petrovic, B.; Susic, V.; Stanojlovic, O.; Djuric, D. The Effect of Subchronic Supplementation with Folic Acid and L-Arginine on Homocysteine-Induced Seizures. Can. J. Physiol. Pharmacol. 2016, 94, 1083–1089. [Google Scholar] [CrossRef]
- Korokin, M.V.; Pokrovsky, M.V.; Novikov, O.O.; Gureev, V.V.; Denisyuk, T.A.; Korokina, L.V.; Polyanskaya, O.S.; Ragulina, V.A.; Pokrovskaya, T.G.; Danilenko, L.M.; et al. Effect of L-Arginine, Vitamin B6 and Folic Acid on Parameters of Endothelial Dysfunction and Microcirculation in the Placenta in Modeling of L-NAME-Induced NO Deficiency. Bull. Exp. Biol. Med. 2011, 152, 70–72. [Google Scholar] [CrossRef]
- Koc, F.; Ardic, I.; Erdem, S.; Kalay, N.; Ozbek, K.; Yarlioglues, M.; Ceyhan, K.; Celik, A.; Kadi, H.; Taner, A.; et al. Relationship between L-Arginine/Asymmetric Dimethylarginine, Homocysteine, Folic Acid, Vitamin B Levels, and Coronary Artery Ectasia. Coron. Artery Dis. 2010, 21, 445–449. [Google Scholar] [CrossRef]
- Brocardo, P.d.S.; Budni, J.; Lobato, K.R.; Kaster, M.P.; Rodrigues, A.L.S. Antidepressant-like Effect of Folic Acid: Involvement of NMDA Receptors and l-Arginine-Nitric Oxide-Cyclic Guanosine Monophosphate Pathway. Eur. J. Pharmacol. 2008, 598, 37–42. [Google Scholar] [CrossRef] [PubMed]
- Budoff, M.J.; Ahmadi, N.; Gul, K.M.; Liu, S.T.; Flores, F.R.; Tiano, J.; Takasu, J.; Miller, E.; Tsimikas, S. Aged Garlic Extract Supplemented with B Vitamins, Folic Acid and l-Arginine Retards the Progression of Subclinical Atherosclerosis: A Randomized Clinical Trial. Prev. Med. 2009, 49, 101–107. [Google Scholar] [CrossRef] [PubMed]
- Osseyi, E.S.; Wehling, R.L.; Albrecht, J.A. Liquid Chromatographic Method for Determining Added Folic Acid in Fortified Cereal Products. J. Chromatogr. A 1998, 826, 235–240. [Google Scholar] [CrossRef]
- National Center for Biotechnology Information PubChem Compound Summary for CID 135398658, Folic Acid. Available online: https://pubchem.ncbi.nlm.nih.gov/compound/Folic-acid#section=Stability-Shelf-Life (accessed on 12 June 2022).
- FOLIC ACID. CAMEO Chemicals, NOAA. Available online: https://cameochemicals.noaa.gov/chemical/20419 (accessed on 12 June 2022).
- Wu, Z.; Li, X.; Hou, C.; Qian, Y. Solubility of Folic Acid in Water at PH Values between 0 and 7 at Temperatures (298.15, 303.15, and 313.15) K. J. Chem. Eng. Data 2010, 55, 3958–3961. [Google Scholar] [CrossRef]
- Szakács, Z.; Noszál, B. Determination of Dissociation Constants of Folic Acid, Methotrexate, and Other Photolabile Pteridines by Pressure-Assisted Capillary Electrophoresis. Electrophoresis 2006, 27, 3399–3409. [Google Scholar] [CrossRef] [PubMed]
- Zempleni, J.; Suttie, J.W.; Gregory, J.F., III; Stover, P.J. Handbook of Vitamins; CRC Press: Boca Raton, FL, USA, 2014; Volume 52, ISBN 9780849340222. [Google Scholar]
- Macfie, G.; Compton, R.G.; Corti, H.R. Electrical Conductivity and Solubility of KF in N,N-Dimethylformamide up to 125 °C. J. Chem. Eng. Data 2001, 46, 1300–1304. [Google Scholar] [CrossRef]
- Magri, V.R.; Rocha, M.A.; de Matos, C.S.; Petersen, P.A.D.; Leroux, F.; Petrilli, H.M.; Constantino, V.R.L. Folic Acid and Sodium Folate Salts: Thermal Behavior and Spectroscopic (IR, Raman, and Solid-State 13C NMR) Characterization. Spectrochim. Acta A Mol. Biomol. Spectrosc. 2022, 273, 120981. [Google Scholar] [CrossRef]
- Akhgari, A.; Iraji, P.; Rahiman, N.; Farouji, A.H.; Abbaspour, M. Preparation of Stable Enteric Folic Acid-Loaded Microfiber Using the Electrospinning Method. Iran. J. Basic. Med. Sci. 2022, 25, 405–413. [Google Scholar] [CrossRef]
- Bellavinha, K.R.; Silva-Barcellos, N.M.; Souza, J.B.; Leite, J.C.; De Souza, J. Folic Acid: A Biopharmaceutical Evaluation. Pharm. Dev. Technol. 2015, 20, 730–737. [Google Scholar] [CrossRef]
- Jain, S.; Patel, N.; Lin, S. Solubility and Dissolution Enhancement Strategies: Current Understanding and Recent Trends. Drug Dev. Ind. Pharm. 2015, 41, 875–887. [Google Scholar] [CrossRef]








Disclaimer/Publisher’s Note: The statements, opinions and data contained in all publications are solely those of the individual author(s) and contributor(s) and not of MDPI and/or the editor(s). MDPI and/or the editor(s) disclaim responsibility for any injury to people or property resulting from any ideas, methods, instructions or products referred to in the content. |
© 2023 by the authors. Licensee MDPI, Basel, Switzerland. This article is an open access article distributed under the terms and conditions of the Creative Commons Attribution (CC BY) license (https://creativecommons.org/licenses/by/4.0/).
Share and Cite
Pérez-Carreón, K.; Martínez, L.M.; Videa, M.; Cruz-Angeles, J.; Gómez, J.; Ramírez, E. Effect of Basic Amino Acids on Folic Acid Solubility. Pharmaceutics 2023, 15, 2544. https://doi.org/10.3390/pharmaceutics15112544
Pérez-Carreón K, Martínez LM, Videa M, Cruz-Angeles J, Gómez J, Ramírez E. Effect of Basic Amino Acids on Folic Acid Solubility. Pharmaceutics. 2023; 15(11):2544. https://doi.org/10.3390/pharmaceutics15112544
Chicago/Turabian StylePérez-Carreón, Karen, Luz María Martínez, Marcelo Videa, Jorge Cruz-Angeles, Jimena Gómez, and Emilio Ramírez. 2023. "Effect of Basic Amino Acids on Folic Acid Solubility" Pharmaceutics 15, no. 11: 2544. https://doi.org/10.3390/pharmaceutics15112544
APA StylePérez-Carreón, K., Martínez, L. M., Videa, M., Cruz-Angeles, J., Gómez, J., & Ramírez, E. (2023). Effect of Basic Amino Acids on Folic Acid Solubility. Pharmaceutics, 15(11), 2544. https://doi.org/10.3390/pharmaceutics15112544

