Clinical Pharmacology of Vinpocetine: Properties Revisited and Introduction of a Population Pharmacokinetic Model for Its Metabolite, Apovincaminic Acid (AVA)
Abstract
:1. Introduction
2. Materials and Methods
2.1. Literature Search for Vinpocetine
2.2. Pharmacokinetic Data for Apovincaminic Acid (AVA)
2.3. Population Pharmacokinetic Model for Apovincaminic Acid (AVA)
3. Results and Discussion
3.1. Literature Search for Vinpocetine
3.2. Pharmacokinetic Data for Apovincaminic Acid (AVA)
3.3. Population Pharmacokinetic Model for Apovincaminic Acid (AVA)
3.4. Vinpocetine—What Do We Know So Far?
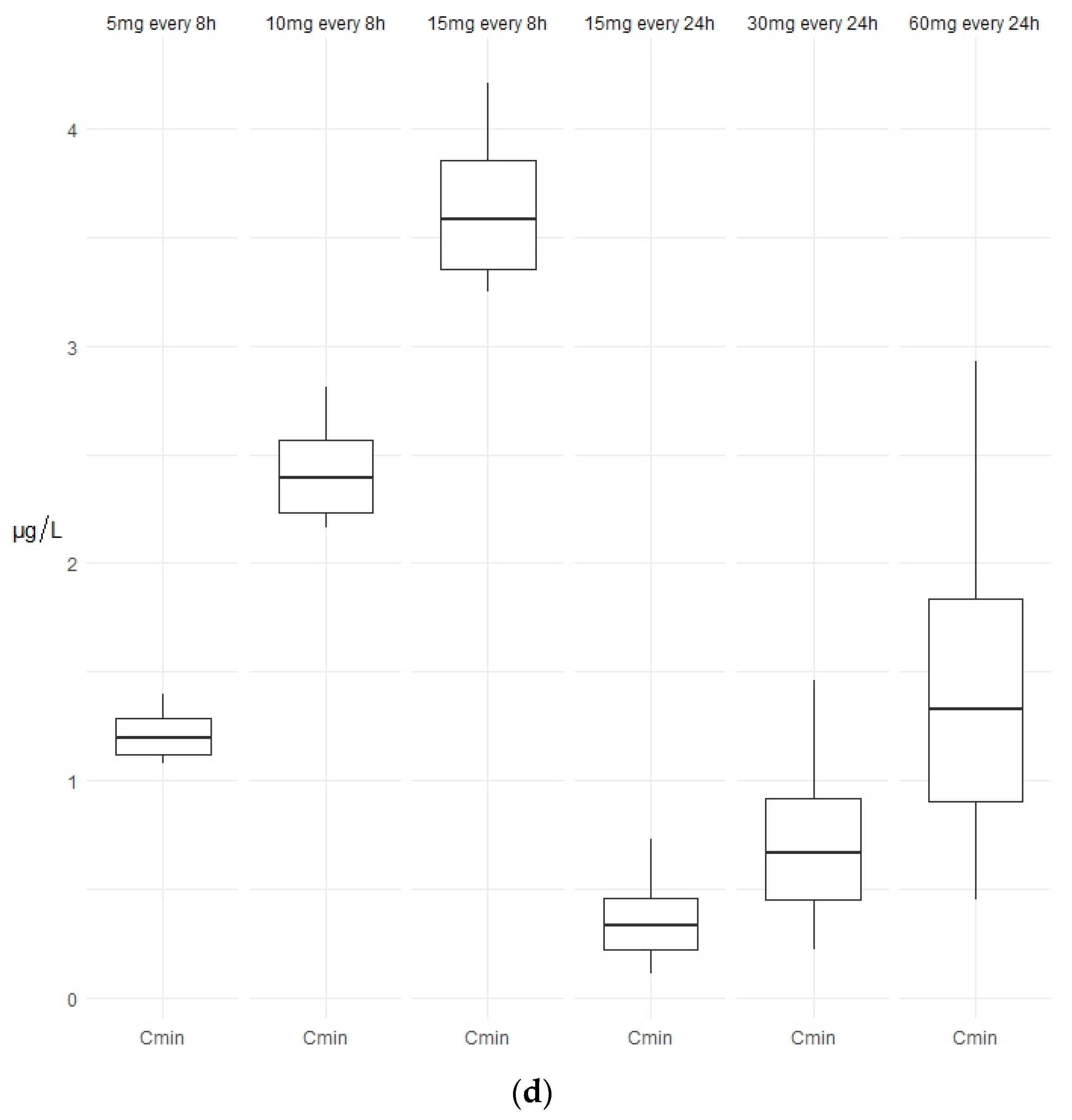
3.5. Population Pharmacokinetic Model of Apovincaminic Acid (AVA)
4. Conclusions
Supplementary Materials
Author Contributions
Funding
Institutional Review Board Statement
Informed Consent Statement
Data Availability Statement
Conflicts of Interest
References
- Khanavi, M.; Pourmoslemi, S.; Farahanikia, B.; Hadjiakhoondi, A.; Ostad, S.N. Cytotoxicity of Vinca minor. Pharm. Biol. 2010, 48, 96–100. [Google Scholar] [CrossRef]
- Alkaloid Chemistry. Alkaloids-Secrets of Life; Aniszewski, T., Ed.; Elsevier: Amsterdam, The Netherlands, 2007; pp. 61–139. [Google Scholar]
- Moudi, M.; Go, R.; Yien, C.Y.; Nazre, M. Vinca alkaloids. Int. J. Prev. Med. 2013, 4, 1231–1235. [Google Scholar]
- Willson, C. Vinpocetine. In Elsevier Reference Module in Biomedical Sciences; Elsevier: Amsterdam, The Netherlands, 2015; pp. 1–6. [Google Scholar]
- NIH-National Center for Advancing Translational Sciences. Apovincamine. Available online: https://drugs.ncats.io/drug/504R182ZX7 (accessed on 15 September 2023).
- Gedeon Richter Ltd. Our Products-Central Nervous System. Available online: https://www.gedeonrichter.com/en/our-products/central-nervous-system (accessed on 15 September 2023).
- Bereczki, D.; Fekete, I. A systematic review of vinpocetine therapy in acute ischaemic stroke. Eur. J. Clin. Pharmacol. 1999, 55, 349–352. [Google Scholar] [CrossRef]
- Meador, K.J.; Leeman-Markowski, B.; Medina, A.E.; Illamola, S.M.; Seliger, J.; Novak, G.; Lin, C.; Ivanisevic, M.; Razavi, B.; Marino, S.; et al. Vinpocetine, cognition, and epilepsy. Epilepsy Behav. 2021, 119, 107988. [Google Scholar] [CrossRef] [PubMed]
- Miskolczi, P.; Kozma, K.; Polgár, M.; Vereczkey, L. Pharmacokinetics of vinpocetine and its main metabolite apovincaminic acid before and after the chronic oral administration of vinpocetine to humans. Eur. J. Drug Metab. Pharmacokinet. 1990, 15, 1–5. [Google Scholar] [CrossRef]
- Open-Source Molecular Modeling Software. MolView. Available online: https://molview.org/ (accessed on 15 September 2023).
- Life Extension. Vinpocetine 10 mg, 100 Vegetarian Tablets. Available online: https://www.lifeextension.com/vitamins-supplements/item01327/vinpocetine (accessed on 15 September 2023).
- Naturitas (Portugal). Swanson Ltd. Vinpocetina 10 mg. Available online: https://www.naturitas.pt/p/suplementos/suplementos-alimentares/vinpocetina-90-capsulas-de-10mg-swanson (accessed on 15 September 2023).
- Natura Shop (Croatia). Swanson, Special Combination: Gingko Biloba+Vinpocetine. Available online: https://naturashop.com.hr/1192-ginko-vinpocetin-ginkgo-biloba-vinpocetine-kapsule-swanson-60-kapsula.html (accessed on 15 September 2023).
- Lifeland (Sweden). Antioxidanter, Vinpocetine 10 mg 120 Ttablets. Available online: https://lifeland.se/antioxidanter/vinpocetine-10mg-120-tabletter/ (accessed on 15 September 2023).
- Federal Register of United States Government. Request for Comment on the Status of Vinpocetine; Notice by the Food and Drug Administration on 09/07/2016. Available online: https://www.federalregister.gov/documents/2016/09/07/2016-21350/request-for-comment-on-the-status-of-vinpocetine (accessed on 15 September 2023).
- U.S. Food and Drug Administration. Vinpocetine in Dietary Supplements. Available online: https://www.fda.gov/food/dietary-supplement-ingredient-directory/vinpocetine-dietary-supplements (accessed on 19 September 2023).
- French, J.M.; King, M.D.; McDougal, O.M. Quantitative Determination of Vinpocetine in Dietary Supplements. Nat. Prod. Commun. 2016, 11, 607–609. [Google Scholar] [CrossRef] [PubMed]
- Al-Kuraishy, H.M.; Al-Gareeb, A.I.; Fageyinbo, M.S.; Batiha, G.E. Vinpocetine is the forthcoming adjuvant agent in the management of COVID-19. Future Sci. OA 2022, 8, Fso797. [Google Scholar] [CrossRef] [PubMed]
- Wu, M.P.; Zhang, Y.S.; Xu, X.; Zhou, Q.; Li, J.D.; Yan, C. Vinpocetine Attenuates Pathological Cardiac Remodeling by Inhibiting Cardiac Hypertrophy and Fibrosis. Cardiovasc. Drugs Ther. 2017, 31, 157–166. [Google Scholar] [CrossRef]
- Zhang, Y.S.; Li, J.D.; Yan, C. An update on vinpocetine: New discoveries and clinical implications. Eur. J. Pharmacol. 2018, 819, 30–34. [Google Scholar] [CrossRef] [PubMed]
- Zang, J.; Wu, Y.; Su, X.; Zhang, T.; Tang, X.; Ma, D.; Li, Y.; Liu, Y.; Weng, Z.A.; Liu, X.; et al. Inhibition of PDE1-B by Vinpocetine Regulates Microglial Exosomes and Polarization Through Enhancing Autophagic Flux for Neuroprotection Against Ischemic Stroke. Front. Cell Dev. Biol. 2021, 8, 616590. [Google Scholar] [CrossRef]
- Zhang, C.; Hsu, C.G.; Mohan, A.; Shi, H.; Li, D.; Yan, C. Vinpocetine protects against the development of experimental abdominal aortic aneurysms. Clin. Sci. 2020, 134, 2959–2976. [Google Scholar] [CrossRef]
- Choi, W.S.; Kang, H.S.; Kim, H.J.; Lee, W.T.; Sohn, U.D.; Lee, J.Y. Vinpocetine alleviates lung inflammation via macrophage inflammatory protein-1β inhibition in an ovalbumin-induced allergic asthma model. PLoS ONE 2021, 16, e0251012. [Google Scholar] [CrossRef]
- Panda, P.K.; Ramachandran, A.; Panda, P.; Sharawat, I.K. Safety and Efficacy of Vinpocetine as a Neuroprotective Agent in Acute Ischemic Stroke: A Systematic Review and Meta-Analysis. Neurocritical Care 2022, 37, 314–325. [Google Scholar] [CrossRef] [PubMed]
- European Comission. Food Alerts-Rapid Alert System for Food and Feed (RASFF)-NOTIFICATION 2021.2818-Unauthorised Substance Vinpocetin in Food Supplement. Available online: https://webgate.ec.europa.eu/rasff-window/screen/notification/479171 (accessed on 15 September 2023).
- Kraus, G.; Schulz, H.U.; Lohmann, A. Determination of apovincaminic acid in serum by means of high-performance liquid chromatography. J. Chromatogr. 1992, 573, 323–327. [Google Scholar] [CrossRef]
- Lixoft. Monolix Suite. Available online: https://lixoft.com/ (accessed on 14 September 2023).
- World Health Organisation (WHO). Anatomical Therapeutic Chemical (ATC) Classification. Available online: https://www.who.int/tools/atc-ddd-toolkit/atc-classification (accessed on 15 September 2023).
- WHO Collaborating Centre for Drug Statistics Methodology. ATC Code-Vinpocetine. Available online: https://www.whocc.no/atc_ddd_index/?code=N06BX18 (accessed on 15 September 2023).
- WHO Collaborating Centre for Drug Statistics Methodology. ATC Code-Vincamine. Available online: https://www.whocc.no/atc_ddd_index/?code=C04AX07 (accessed on 15 September 2023).
- Zhang, W.; Huang, Y.; Li, Y.; Tan, L.; Nao, J.; Hu, H.; Zhang, J.; Li, C.; Kong, Y.; Song, Y. Efficacy and Safety of Vinpocetine as Part of Treatment for Acute Cerebral Infarction: A Randomized, Open-Label, Controlled, Multicenter CAVIN (Chinese Assessment for Vinpocetine in Neurology) Trial. Clin. Drug Investig. 2016, 36, 697–704. [Google Scholar] [CrossRef] [PubMed]
- Zhang, F.; Yan, C.; Wei, C.; Yao, Y.; Ma, X.; Gong, Z.; Liu, S.; Zang, D.; Chen, J.; Shi, F.-D.; et al. Vinpocetine Inhibits NF-κB-Dependent Inflammation in Acute Ischemic Stroke Patients. Transl. Stroke Res. 2018, 9, 174–184. [Google Scholar] [CrossRef]
- Feigin, V.L.; Doronin, B.M.; Popova, T.F.; Gribatcheva, E.V.; Tchervov, D.V. Vinpocetine treatment in acute ischaemic stroke: A pilot single-blind randomized clinical trial. Eur. J. Neurol. 2001, 8, 81–85. [Google Scholar] [CrossRef]
- Belova, L.A.; Mashin, V.V.; Proshin, A.N.; Ovsyannicova, A.N.; Kostishko, B.B. Possibilities of cavinton therapy regimen for infusions and cavinton comforte in acute and early recovery periods after ischemic stroke. Zhurnal Nevrol. Psikhiatrii Im. SS Korsakova 2017, 117, 51–58. [Google Scholar] [CrossRef] [PubMed]
- Bereczki, D.; Fekete, I. Vinpocetine for acute ischaemic stroke. Cochrane Database Syst. Rev. 2008, 2008, Cd000480. [Google Scholar] [CrossRef]
- U.S. Department of Health and Human Services, National Toxicology Program. Chemical Information Review Document for Vinpocetine. Available online: https://ntp.niehs.nih.gov/ntp/htdocs/chem_background/exsumpdf/vinpocetine091613_508.pdf (accessed on 18 September 2023).
- Horvath, B.; Marton, Z.; Halmosi, R.; Alexy, T.; Szapary, L.; Vekasi, J.; Biro, Z.; Habon, T.; Kesmarky, G.; Toth, K. In vitro antioxidant properties of pentoxifylline, piracetam, and vinpocetine. Clin. Neuropharmacol. 2002, 25, 37–42. [Google Scholar] [CrossRef]
- Solanki, P.; Prasad, D.; Muthuraju, S.; Sharma, A.K.; Singh, S.B.; Ilavzhagan, G. Preventive effect of piracetam and vinpocetine on hypoxia-reoxygenation induced injury in primary hippocampal culture. Food Chem. Toxicol. 2011, 49, 917–922. [Google Scholar] [CrossRef] [PubMed]
- Ruiz-Miyazawa, K.W.; Zarpelon, A.C.; Pinho-Ribeiro, F.A.; Pavão-de-Souza, G.F.; Casagrande, R.; Verri, W.A., Jr. Vinpocetine Reduces Carrageenan-Induced Inflammatory Hyperalgesia in Mice by Inhibiting Oxidative Stress, Cytokine Production and NF-κB Activation in the Paw and Spinal Cord. PLoS ONE 2015, 10, e0118942. [Google Scholar] [CrossRef] [PubMed]
- Herrera-Mundo, N.; Sitges, M. Vinpocetine and α-tocopherol prevent the increase in DA and oxidative stress induced by 3-NPA in striatum isolated nerve endings. J. Neurochem. 2013, 124, 233–240. [Google Scholar] [CrossRef]
- Zhou, X.; Dong, X.W.; Crona, J.; Maguire, M.; Priestley, T. Vinpocetine is a potent blocker of rat NaV1.8 tetrodotoxin-resistant sodium channels. J. Pharmacol. Exp. Ther. 2003, 306, 498–504. [Google Scholar] [CrossRef] [PubMed]
- Zelles, T.; Franklin, L.; Koncz, I.; Lendvai, B.; Zsilla, G. The Nootropic Drug Vinpocetine Inhibits Veratridine-Induced [Ca2+]i Increase in Rat Hippocampal CA1 Pyramidal Cells. Neurochem. Res. 2001, 26, 1095–1100. [Google Scholar] [CrossRef]
- Sitges, M.; Galván, E.; Nekrassov, V. Vinpocetine blockade of sodium channels inhibits the rise in sodium and calcium induced by 4-aminopyridine in synaptosomes. Neurochem. Int. 2005, 46, 533–540. [Google Scholar] [CrossRef]
- Sitges, M.; Sanchez-Tafolla, B.M.; Chiu, L.M.; Aldana, B.I.; Guarneros, A. Vinpocetine inhibits glutamate release induced by the convulsive agent 4-aminopyridine more potently than several antiepileptic drugs. Epilepsy Res. 2011, 96, 257–266. [Google Scholar] [CrossRef] [PubMed]
- NIH U.S. National Library of Medicine, ClinicalTrials.gov. Cognitive Effects of Vinpocetine in Healthy Adults and Patients with Epilepsy. Available online: https://clinicaltrials.gov/ct2/show/NCT02011971 (accessed on 15 September 2023).
- Jeon, K.I.; Xu, X.; Aizawa, T.; Lim, J.H.; Jono, H.; Kwon, D.S.; Abe, J.; Berk, B.C.; Li, J.D.; Yan, C. Vinpocetine inhibits NF-kappaB-dependent inflammation via an IKK-dependent but PDE-independent mechanism. Proc. Natl. Acad. Sci. USA 2010, 107, 9795–9800. [Google Scholar] [CrossRef]
- Wang, H.; Zhang, K.; Zhao, L.; Tang, J.; Gao, L.; Wei, Z. Anti-inflammatory effects of vinpocetine on the functional expression of nuclear factor-kappa B and tumor necrosis factor-alpha in a rat model of cerebral ischemia-reperfusion injury. Neurosci. Lett. 2014, 566, 247–251. [Google Scholar] [CrossRef]
- Wang, K.; Wen, L.; Peng, W.; Li, H.; Zhuang, J.; Lu, Y.; Liu, B.; Li, X.; Li, W.; Xu, Y. Vinpocetine attenuates neointimal hyperplasia in diabetic rat carotid arteries after balloon injury. PLoS ONE 2014, 9, e96894. [Google Scholar] [CrossRef]
- Petric, Z.; Goncalves, J.; Paixao, P. Under the Umbrella of Clinical Pharmacology: Inflammatory Bowel Disease, Infliximab and Adalimumab, and a Bridge to an Era of Biosimilars. Pharmaceutics 2022, 14, 1766. [Google Scholar] [CrossRef] [PubMed]
- Colombo, B.B.; Fattori, V.; Guazelli, C.F.S.; Zaninelli, T.H.; Carvalho, T.T.; Ferraz, C.R.; Bussmann, A.J.C.; Ruiz-Miyazawa, K.W.; Baracat, M.M.; Casagrande, R.; et al. Vinpocetine Ameliorates Acetic Acid-Induced Colitis by Inhibiting NF-κB Activation in Mice. Inflammation 2018, 41, 1276–1289. [Google Scholar] [CrossRef] [PubMed]
- Zhang, L.; Yang, L. Anti-inflammatory effects of vinpocetine in atherosclerosis and ischemic stroke: A review of the literature. Molecules 2014, 20, 335–347. [Google Scholar] [CrossRef] [PubMed]
- Wadie, W.; El-Tanbouly, D.M. Vinpocetine mitigates proteinuria and podocytes injury in a rat model of diabetic nephropathy. Eur. J. Pharmacol. 2017, 814, 187–195. [Google Scholar] [CrossRef]
- Yue, L. Efficacy of vinpocetine on neuropathy in patients with type 2 diabetes mellitus. Chin. J. New Drugs 2009, 18, 1. [Google Scholar]
- Ping, Z.; Xiaomu, W.; Xufang, X.; Liang, S. Vinpocetine regulates levels of circulating TLRs in Parkinson’s disease patients. Neurol. Sci. 2019, 40, 113–120. [Google Scholar] [CrossRef]
- Abu-Elfotuh, K.; Hamdan, A.M.E.; Abbas, A.N.; Alahmre, A.T.S.; Elewa, M.A.F.; Masoud, R.A.E.; Ali, A.A.; Othman, M.; Kamal, M.M.; Hassan, F.A.M.; et al. Evaluating the neuroprotective activities of vinpocetine, punicalagin, niacin and vitamin E against behavioural and motor disabilities of manganese-induced Parkinson’s disease in Sprague Dawley rats. Biomed. Pharmacother. 2022, 153, 113330. [Google Scholar] [CrossRef]
- Szatmari, S.Z.; Whitehouse, P.J. Vinpocetine for cognitive impairment and dementia. Cochrane Database Syst. Rev. 2003, 2003, Cd003119. [Google Scholar] [CrossRef]
- Ali, A.A.; Khalil, M.G.; Abd El-latif, D.M.; Okda, T.; Abdelaziz, A.I.; Abu-Elfotuh, k.; Kamal, M.M.; Wahid, A. The influence of vinpocetine alone or in combination with Epigallocatechin-3-gallate, Coenzyme COQ10, Vitamin E and Selenium as a potential neuroprotective combination against aluminium-induced Alzheimer’s disease in Wistar Albino Rats. Arch. Gerontol. Geriatr. 2022, 98, 104557. [Google Scholar] [CrossRef]
- Shekarian, M.; Komaki, A.; Shahidi, S.; Sarihi, A.; Salehi, I.; Raoufi, S. The protective and therapeutic effects of vinpocetine, a PDE1 inhibitor, on oxidative stress and learning and memory impairment induced by an intracerebroventricular (ICV) injection of amyloid beta (aβ) peptide. Behav. Brain Res. 2020, 383, 112512. [Google Scholar] [CrossRef]
- Fedele, E.; Ricciarelli, R. Memory Enhancers for Alzheimer’s Dementia: Focus on cGMP. Pharmaceuticals 2021, 14, 61. [Google Scholar] [CrossRef]
- Ogunrin, A. Effect of vinpocetine (cognitol™) on cognitive performances of a nigerian population. Ann. Med. Health Sci. Res. 2014, 4, 654–661. [Google Scholar] [CrossRef]
- Végh, S.; Szikszay, E.; Bönöczk, P.; Cserjés, Z.; Kiss, G. Retrospective analysis of the effect of vinpocetine infusion in ophthalmologic disorders. Orv. Hetil. 2006, 147, 2361–2365. [Google Scholar]
- Medicines and Medical Devices Agency Serbia (Serbian: ALIMS-Agencija za Lekove i Medicinska Sredstva Srbije). Patient Information Leaflet (Cavinton; Vinpocetin 5 mg Tablete) (Serbian: Uputstvo za lek). Available online: https://www.alims.gov.rs/doc_file/lekovi/pil/515-01-03671-19-001.pdf (accessed on 10 September 2023).
- Nivison-Smith, L.; Khoo, P.; Acosta, M.L.; Kalloniatis, M. Pre-treatment with vinpocetine protects against retinal ischemia. Exp. Eye Res. 2017, 154, 126–138. [Google Scholar] [CrossRef]
- Manda, V.K.; Avula, B.; Dale, O.R.; Chittiboyina, A.G.; Khan, I.A.; Walker, L.A.; Khan, S.I. Studies on Pharmacokinetic Drug Interaction Potential of Vinpocetine. Medicines 2015, 2, 93–105. [Google Scholar] [CrossRef]
- Petric, Z.; Žuntar, I.; Putnik, P.; Bursać Kovačević, D. Food–Drug Interactions with Fruit Juices. Foods 2021, 10, 33. [Google Scholar] [CrossRef]
- U.S. Food and Drug Administration. Statement on Warning for Women of Childbearing Age about Possible Safety Risks of Dietary Supplements Containing Vinpocetine. Available online: https://www.fda.gov/news-events/press-announcements/statement-warning-women-childbearing-age-about-possible-safety-risks-dietary-supplements-containing (accessed on 15 September 2023).
- Web Shop-Supersmart.com. Vinpocetine Suplemento. Available online: https://www.supersmart.com/pt/loja/nutricao-cerebral/vinpocetine-suplemento-0216 (accessed on 15 September 2023).
- Malík, M.; Tlustoš, P. Nootropics as Cognitive Enhancers: Types, Dosage and Side Effects of Smart Drugs. Nutrients 2022, 14, 3367. [Google Scholar] [CrossRef]
- Marketing Authorisation Holder-ATREIZA LABORATORIOS, Madrid, Spain. Patient Information Leaflet (Vinpocetine 5 and 10 mg). Available online: File.wuxuwang.com/hma/LV_H_0166_001_FinalPL.pdf (accessed on 10 September 2023).
- Polgár, M.; Vereczkey, L. Pharmacokinetics of vinpocetine (Cavinton) in dog. Pol. J. Pharmacol. Pharm. 1984, 36, 407–412. [Google Scholar]
- Vereczkey, L.; Szentirmay, Z.; Szporny, L. Kinetic metabolism of vinpocetine in the rat. Arzneim.-Forsch. 1979, 29, 953–956. [Google Scholar]
- Polgár, M.; Vereczkey, L.; Nyáry, I. Pharmacokinetics of vinpocetine and its metabolite, apovincaminic acid, in plasma and cerebrospinal fluid after intravenous infusion. J. Pharm. Biomed. Anal. 1985, 3, 131–139. [Google Scholar] [CrossRef]
- Vlase, L.; Bodiu, B.; Leucuta, S.E. Pharmacokinetics and comparative bioavailability of two vinpocetine tablet formulations in healthy volunteers by using the metabolite apovincaminic acid as pharmacokinetic parameter. Arzneim.-Forsch. 2005, 55, 664–668. [Google Scholar] [CrossRef] [PubMed]
- U.S. Department of Health and Human Services National Toxicology Program. Developmental and Reproductive Toxicity Technical Report on the Prenatal Development Studies of Vinpocetine. Available online: https://ntp.niehs.nih.gov/ntp/htdocs/dart/dart03_508.pdf (accessed on 13 March 2023).
- Vereczkey, L.; Czira, G.; Tamás, J.; Szentirmay, Z.; Botár, Z.; Szporny, L. Pharmacokinetics of vinpocetine in humans. Arzneim.-Forsch. 1979, 29, 957–960. [Google Scholar]
- Vereczkey, L.; Pudleiner, P. Pharmacokinetics of apovincaminic acid in dogs. Pol. J. Pharmacol. Pharm. 1987, 39, 161–165. [Google Scholar] [PubMed]
- Nyakas, C.; Felszeghy, K.; Szabó, R.; Keijser, J.N.; Luiten, P.G.; Szombathelyi, Z.; Tihanyi, K. Neuroprotective effects of vinpocetine and its major metabolite cis-apovincaminic acid on NMDA-induced neurotoxicity in a rat entorhinal cortex lesion model. CNS Neurosci. Ther. 2009, 15, 89–99. [Google Scholar] [CrossRef]
- Tecnimede. Vinpocetine, SmPC. Available online: https://www.tecnimede.com/sites/default/files/portfolio/dosages/ULTRA-VINCA_RCM.pdf (accessed on 19 September 2023).
- Nootropic Expert. Vinpocetine. Available online: https://nootropicsexpert.com/vinpocetine/ (accessed on 15 September 2023).
- Farkas, B.; Kocsis, P.; Tarnawa, I.; Tihanyi, K. Main Cavinton® metabolite cAVA (cis-apovincaminic acid) increases neuronal excitability. In Proceedings of the 13th Conference of the Hungarian Neuroscience Society (MITT), Budapest, Hungary, 20 January 2011. [Google Scholar]







| Stochastic Approximation | |||
|---|---|---|---|
| S.E. | R.S.E. (%) | ||
| Fixed Effects | |||
| Tlag_pop h | 0.17 | 0.013 | 7.66 |
| Tk0_pop h | 1.35 | 0.12 | 8.87 |
| β_Tk0_Formulation#2 | −0.4 | 0.12 | 29.0 |
| β_Tk0_Formulation#3 | −0.68 | 0.13 | 18.5 |
| Cl/F_pop L/h | 56.15 | 2.15 | 3.83 |
| V1/F_pop L | 208.34 | 11.07 | 5.31 |
| β_V1/F_Formulation#2 | −1.26 | 0.068 | 5.44 |
| β_V1/F_Formulation#3 | −1.24 | 0.071 | 5.71 |
| Q/F_pop L | 14.63 | 1.7 | 11.6 |
| V2/F_pop L | 76.15 | 11.38 | 14.9 |
| Standard Deviation of the Random Effects (omega) | |||
| ω_Tlag | 0.38 | 0.082 | 21.4 |
| ω_Tk0 | 0.24 | 0.036 | 14.8 |
| ω_Cl/F | 0.21 | 0.027 | 13.0 |
| ω_V1/F | 0.15 | 0.034 | 22.4 |
| ω_Q/F | 0.47 | 0.1 | 21.1 |
| ω_V2/F | 0.24 | 0.093 | 39.1 |
| Correlations | |||
| corr_V1/F_Cl/F | 0.72 | 0.14 | 19.0 |
| Error Model Parameters | |||
| b | 0.14 | 0.0076 | 5.28 |
Disclaimer/Publisher’s Note: The statements, opinions and data contained in all publications are solely those of the individual author(s) and contributor(s) and not of MDPI and/or the editor(s). MDPI and/or the editor(s) disclaim responsibility for any injury to people or property resulting from any ideas, methods, instructions or products referred to in the content. |
© 2023 by the authors. Licensee MDPI, Basel, Switzerland. This article is an open access article distributed under the terms and conditions of the Creative Commons Attribution (CC BY) license (https://creativecommons.org/licenses/by/4.0/).
Share and Cite
Petric, Z.; Paixão, P.; Filipe, A.; Guimarães Morais, J. Clinical Pharmacology of Vinpocetine: Properties Revisited and Introduction of a Population Pharmacokinetic Model for Its Metabolite, Apovincaminic Acid (AVA). Pharmaceutics 2023, 15, 2502. https://doi.org/10.3390/pharmaceutics15102502
Petric Z, Paixão P, Filipe A, Guimarães Morais J. Clinical Pharmacology of Vinpocetine: Properties Revisited and Introduction of a Population Pharmacokinetic Model for Its Metabolite, Apovincaminic Acid (AVA). Pharmaceutics. 2023; 15(10):2502. https://doi.org/10.3390/pharmaceutics15102502
Chicago/Turabian StylePetric, Zvonimir, Paulo Paixão, Augusto Filipe, and José Guimarães Morais. 2023. "Clinical Pharmacology of Vinpocetine: Properties Revisited and Introduction of a Population Pharmacokinetic Model for Its Metabolite, Apovincaminic Acid (AVA)" Pharmaceutics 15, no. 10: 2502. https://doi.org/10.3390/pharmaceutics15102502
APA StylePetric, Z., Paixão, P., Filipe, A., & Guimarães Morais, J. (2023). Clinical Pharmacology of Vinpocetine: Properties Revisited and Introduction of a Population Pharmacokinetic Model for Its Metabolite, Apovincaminic Acid (AVA). Pharmaceutics, 15(10), 2502. https://doi.org/10.3390/pharmaceutics15102502

