The Influence of Blonanserin Supersaturation in Liquid and Silica Stabilised Self-Nanoemulsifying Drug Delivery Systems on In Vitro Solubilisation
Abstract
1. Introduction
2. Materials and Methods
2.1. Materials
2.2. HPLC Methold
2.3. Fabrication of Liquid and Solid Super-SNEDDS Formulations
2.3.1. Preparation of SNEDDS Preconcentrate
2.3.2. Preparation of Super-SNEDDS Formulations
2.3.3. Determination of Maximum Supersaturation Level of Liquid Super-SNEDDS
2.4. Chartacterisation of Liqud Super-SNEDDS
2.5. Chartacterisation of Solid Super-SNEDDS
2.6. In Vitro Lipid Digestion Studies
2.6.1. Preparation of Simulated Intestinal Media
2.6.2. Lipolysis Experimental Procedure
2.6.3. Drug Partitioning
2.7. Lipid Content of Solid Super-SNEDDS Pre- and Post-Lipolysis
2.8. 1H NMR of Lipid Digestion Products
3. Results and Discussion
3.1. Development of Super-SNEDDS for BLON
3.2. Characterisation of Super-SNEDDS
3.2.1. Liquid Super-SNEDDS
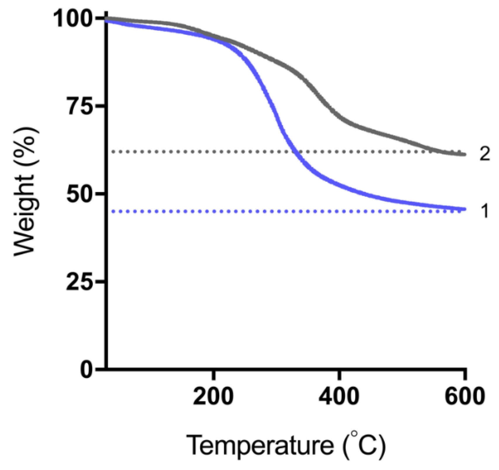
3.2.2. Solid Super-SNEDDS
3.3. BLON Solubilisation during In Vitro Lipolysis of Super-SNEDDS
3.3.1. Influence of BLON Load on Solubilisation Performance of Liquid Super-SNEDDS
3.3.2. Influence of BLON Load on Solubilisation Performance of Solid Super-SNEDDS
3.3.3. The Influence of Silica on BLON Solubilisation
3.4. Lipid Release and Digestion Products of Solid Super-SNEDDS
3.5. Liquid vs. Solid Super-SNEDDS and Influence of Supersaturation Level
4. Conclusions
Supplementary Materials
Author Contributions
Funding
Institutional Review Board Statement
Informed Consent Statement
Data Availability Statement
Acknowledgments
Conflicts of Interest
References
- Stegemann, S.; Leveiller, F.; Franchi, D.; de Jong, H.; Linden, H. When poor solubility becomes an issue: From early stage to proof of concept. Eur. J. Pharm. Sci. 2007, 31, 249–261. [Google Scholar] [CrossRef]
- Rodriguez-Aller, M.; Guillarme, D.; Veuthey, J.-L.; Gurny, R. Strategies for formulating and delivering poorly water-soluble drugs. J. Drug Deliv. Sci. Technol. 2015, 30, 342–351. [Google Scholar] [CrossRef]
- Takagi, T.; Ramachandran, C.; Bermejo, M.; Yamashita, S.; Yu, L.X.; Amidon, G.L. A provisional biopharmaceutical classification of the top 200 oral drug products in the United States, Great Britain, Spain, and Japan. Mol. Paharmaceutics 2006, 3, 631–643. [Google Scholar] [CrossRef]
- Williams, H.D.; Trevaskis, N.L.; Charman, S.A.; Shanker, R.M.; Charman, W.N.; Pouton, C.W.; Porter, C.J. Strategies to address low drug solubility in discovery and development. Pharmacol. Rev. 2013, 65, 315–499. [Google Scholar] [CrossRef]
- Ditzinger, F.; Price, D.J.; Ilie, A.-R.; Köhl, N.J.; Jankovic, S.; Tsakiridou, G.; Aleandri, S.; Kalantzi, L.; Holm, R.; Nair, A.; et al. Lipophilicity and hydrophobicity considerations in bio-enabling oral formulations approaches—A PEARRL review. J. Pharm. Pharmacol. 2018, 71, 464–482. [Google Scholar] [CrossRef] [PubMed]
- Kuentz, M. Lipid-based formulations for oral delivery of lipophilic drugs. Drug Discov. Today Technol. 2012, 9, e97–e104. [Google Scholar] [CrossRef] [PubMed]
- Mu, H.; Holm, R.; Mullertz, A. Lipid-based formulations for oral administration of poorly water-soluble drugs. Int. J. Pharm. 2013, 453, 215–224. [Google Scholar] [CrossRef] [PubMed]
- Feeney, O.M.; Crum, M.F.; McEvoy, C.L.; Trevaskis, N.L.; Williams, H.D.; Pouton, C.W.; Charman, W.N.; Bergstrom, C.A.S.; Porter, C.J.H. 50 years of oral lipid-based formulations: Provenance, progress and future perspectives. Adv. Drug Deliv. Rev. 2016, 101, 167–194. [Google Scholar] [CrossRef]
- Pouton, C.W. Formulation of poorly water-soluble drugs for oral administration: Physicochemical and physiological issues and the lipid formulation classification system. Eur. J. Pharm. Sci. 2006, 29, 278–287. [Google Scholar] [CrossRef]
- Bennett-Lenane, H.; O’Shea, J.P.; O’Driscoll, C.M.; Griffin, B.T. A Retrospective Biopharmaceutical Analysis of >800 Approved Oral Drug Products: Are Drug Properties of Solid Dispersions and Lipid-Based Formulations Distinctive? J. Pharm. Sci. 2020, 109, 3248–3261. [Google Scholar] [CrossRef]
- Maji, I.; Mahajan, S.; Sriram, A.; Medtiya, P.; Vasave, R.; Khatri, D.K.; Kumar, R.; Singh, S.B.; Madan, J.; Singh, P.K. Solid self emulsifying drug delivery system: Superior mode for oral delivery of hydrophobic cargos. J. Control. Release 2021, 337, 646–660. [Google Scholar] [CrossRef] [PubMed]
- Joyce, P.; Dening, T.J.; Meola, T.R.; Schultz, H.B.; Holm, R.; Thomas, N.; Prestidge, C.A. Solidification to improve the biopharmaceutical performance of SEDDS: Opportunities and challenges. Adv. Drug Deliv. Rev. 2019, 142, 102–117. [Google Scholar] [CrossRef] [PubMed]
- Schultz, H.B.; Kovalainen, M.; Peressin, K.F.; Thomas, N.; Prestidge, C.A. Supersaturated silica-lipid hybrid (super-SLH) oral drug delivery systems: Balancing drug loading and in vivo performance. J. Pharmacol. Exp. Ther. 2019, 370, 742–750. [Google Scholar] [CrossRef] [PubMed]
- Schultz, H.B.; Thomas, N.; Rao, S.; Prestidge, C.A. Supersaturated silica-lipid hybrids (super-SLH): An improved solid-state lipid-based oral drug delivery system with enhanced drug loading. Eur. J. Pharm. Biopharm. 2018, 125, 13–20. [Google Scholar] [CrossRef]
- Schultz, H.B.; Joyce, P.; Thomas, N.; Prestidge, C.A. Supersaturated-Silica Lipid Hybrids Improve in Vitro Solubilization of Abiraterone Acetate. Pharm. Res. 2020, 37, 77. [Google Scholar] [CrossRef]
- Schultz, H.B.; Wignall, A.D.; Thomas, N.; Prestidge, C.A. Enhancement of abiraterone acetate oral bioavailability by supersaturated-silica lipid hybrids. Int. J. Pharm. 2020, 582, 119264. [Google Scholar] [CrossRef]
- Meola, T.R.; Schultz, H.B.; Peressin, K.F.; Prestidge, C.A. Enhancing the oral bioavailability of simvastatin with silica-lipid hybrid particles: The effect of supersaturation and silica geometry. Eur. J. Pharm. Sci. 2020, 150, 105357. [Google Scholar] [CrossRef]
- Almasri, R.; Joyce, P.; Schultz, H.B.; Thomas, N.; Bremmell, K.E.; Prestidge, C.A. Porous Nanostructure, Lipid Composition, and Degree of Drug Supersaturation Modulate In Vitro Fenofibrate Solubilization in Silica-Lipid Hybrids. Pharmaceutics 2020, 12, 687. [Google Scholar] [CrossRef]
- Møller, A.; Schultz, H.B.; Meola, T.R.; Müllertz, A.; Prestidge, C.A. The Influence of Solidification on the in vitro Solubilisation of Blonanserin Loaded Supersaturated Lipid-Based Oral Formulations. Eur. J. Pharm. Sci. 2021, 157, 105640. [Google Scholar] [CrossRef]
- Almasri, R.; Schultz, H.B.; Møller, A.; Bremmell, K.E.; Garcia-Bennett, A.; Joyce, P.; Prestidge, C.A. Role of Silica Intrawall Microporosity on Abiraterone Acetate Solubilization and In Vivo Oral Absorption. Mol. Pharm. 2022, 19, 1091–1103. [Google Scholar] [CrossRef]
- Dening, T.J.; Thomas, N.; Rao, S.; van Looveren, C.; Cuyckens, F.; Holm, R.; Prestidge, C.A. Montmorillonite and Laponite Clay Materials for the Solidification of Lipid-Based Formulations for the Basic Drug Blonanserin: In Vitro and in Vivo Investigations. Mol. Pharm. 2018, 15, 4148–4160. [Google Scholar] [CrossRef] [PubMed]
- Zangenberg, N.H.; Mullertz, A.; Kristensen, H.G.; Hovgaard, L. A dynamic in vitro lipolysis model. II: Evaluation of the model. Eur. J. Pharm. Sci. 2001, 14, 237–244. [Google Scholar] [CrossRef] [PubMed]
- Williams, H.D.; Anby, M.U.; Sassene, P.; Kleberg, K.; Bakala-N’Goma, J.C.; Calderone, M.; Jannin, V.; Igonin, A.; Partheil, A.; Marchaud, D.; et al. Toward the establishment of standardized in vitro tests for lipid-based formulations. 2. The effect of bile salt concentration and drug loading on the performance of type I, II, IIIA, IIIB, and IV formulations during in vitro digestion. Mol. Pharm. 2012, 9, 3286–3300. [Google Scholar] [CrossRef]
- Williams, H.D.; Sassene, P.; Kleberg, K.; Bakala-N’Goma, J.C.; Calderone, M.; Jannin, V.; Igonin, A.; Partheil, A.; Marchaud, D.; Jule, E.; et al. Toward the establishment of standardized in vitro tests for lipid-based formulations, part 1: Method parameterization and comparison of in vitro digestion profiles across a range of representative formulations. J. Pharm. Sci. 2012, 101, 3360–3380. [Google Scholar] [CrossRef] [PubMed]
- Williams, H.D.; Sassene, P.; Kleberg, K.; Calderone, M.; Igonin, A.; Jule, E.; Vertommen, J.; Blundell, R.; Benameur, H.; Mullertz, A.; et al. Toward the establishment of standardized in vitro tests for lipid-based formulations, part 3: Understanding supersaturation versus precipitation potential during the in vitro digestion of type I, II, IIIA, IIIB and IV lipid-based formulations. Pharm. Res. 2013, 30, 3059–3076. [Google Scholar] [CrossRef] [PubMed]
- Dening, T.J.; Rao, S.; Thomas, N.; Prestidge, C.A. Montmorillonite-lipid hybrid carriers for ionizable and neutral poorly water-soluble drugs: Formulation, characterization and in vitro lipolysis studies. Int. J. Pharm. 2017, 526, 95–105. [Google Scholar] [CrossRef] [PubMed]
- Dening, T.J.; Joyce, P.; Webber, J.L.; Beattie, D.A.; Prestidge, C.A. Inorganic surface chemistry and nanostructure controls lipolytic product speciation and partitioning during the digestion of inorganic-lipid hybrid particles. J. Colloid Interface Sci. 2018, 532, 666–679. [Google Scholar] [CrossRef] [PubMed]
- Joyce, P.; Barnes, T.J.; Boyd, B.J.; Prestidge, C.A. Porous nanostructure controls kinetics, disposition and self-assembly structure of lipid digestion products. RSC Adv. 2016, 6, 78385–78395. [Google Scholar] [CrossRef]
- Dening, T.J.; Joyce, P.; Rao, S.; Thomas, N.; Prestidge, C.A. Nanostructured Montmorillonite Clay for Controlling the Lipase-Mediated Digestion of Medium Chain Triglycerides. ACS Appl. Mater. Interfaces 2016, 8, 32732–32742. [Google Scholar] [CrossRef]
- Joyce, P.; Gustafsson, H.; Prestidge, C.A. Engineering intelligent particle-lipid composites that control lipase-mediated digestion. Adv. Colloid Interface Sci. 2018, 260, 1–23. [Google Scholar] [CrossRef]
- Mullertz, A.; Ogbonna, A.; Ren, S.; Rades, T. New perspectives on lipid and surfactant based drug delivery systems for oral delivery of poorly soluble drugs. J. Pharm. Pharmacol. 2010, 62, 1622–1636. [Google Scholar] [CrossRef] [PubMed]
- Ren, S.; Mu, H.; Alchaer, F.; Chtatou, A.; Mullertz, A. Optimization of self nanoemulsifying drug delivery system for poorly water-soluble drug using response surface methodology. Drug Dev. Ind. Pharm. 2013, 39, 799–806. [Google Scholar] [CrossRef]
- Maddileti, D.; Swapna, B.; Nangia, A. High Solubility Crystalline Pharmaceutical Forms of Blonanserin. Cryst. Growth Des. 2014, 14, 2557–2570. [Google Scholar] [CrossRef]
- Lehto, V.P.; Vähä-Heikkilä, K.; Paski, J.; Salonen, J. Use of thermoanalytical methods in quantification of drug load in mesoporous silicon microparticles. J. Therm. Anal. Calorim. 2005, 80, 393–397. [Google Scholar] [CrossRef]
- Brun, M.; Lallemand, A.; Quinson, J.-F.; Eyraud, C. A new method for the simultaneous determination of the size and shape of pores: The thermoporometry. Thermochim. Acta 1977, 21, 59–88. [Google Scholar] [CrossRef]
- Thomas, N.; Holm, R.; Garmer, M.; Karlsson, J.J.; Müllertz, A.; Rades, T. Supersaturated Self-Nanoemulsifying Drug Delivery Systems (Super-SNEDDS) Enhance the Bioavailability of the Poorly Water-Soluble Drug Simvastatin in Dogs. AAPS J. 2013, 15, 219–227. [Google Scholar] [CrossRef] [PubMed]
- Joyce, P.; Tan, A.; Whitby, C.P.; Prestidge, C.A. The Role of Porous Nanostructure in Controlling Lipase-Mediated Digestion of Lipid Loaded into Silica Particles. Langmuir 2014, 30, 2779–2788. [Google Scholar] [CrossRef] [PubMed]
- Meola, T.R.; Paxton, K.; Joyce, P.; Schultz, H.B.; Prestidge, C.A. The effect of drug ionization on lipid-based formulations for the oral delivery of anti-psychotics. ADMET DMPK 2020, 8, 437–451. [Google Scholar] [CrossRef]
- Van Speybroeck, M.; Williams, H.D.; Nguyen, T.H.; Anby, M.U.; Porter, C.J.; Augustijns, P. Incomplete desorption of liquid excipients reduces the in vitro and in vivo performance of self-emulsifying drug delivery systems solidified by adsorption onto an inorganic mesoporous carrier. Mol. Pharm. 2012, 9, 2750–2760. [Google Scholar] [CrossRef]






| Formulation | Drug Load (% of Seq) | Formulation Composition | ||
|---|---|---|---|---|
| BLON (% w/w) | SNEDDS Preconcentrate (% w/w) | Silica (% w/w) | ||
| Liquid super-SNEDDS150% | 150 | 4.7 | 95.3 | 0 |
| Liquid super-SNEDDS250% | 250 | 7.6 | 92.4 | 0 |
| Solid SNEDDS90% | 90 | 1.4 | 48.6 | 50 |
| Solid super-SNEDDS150% | 150 | 2.4 | 47.6 | 50 |
| Solid super-SNEDDS200% | 200 | 3.1 | 46.9 | 50 |
| Solid super-SNEDDS250% | 250 | 3.9 | 46.1 | 50 |
| Solid super-SNEDDS300% | 300 | 4.7 | 45.3 | 50 |
| Formulation | Droplet Size (nm) | PDI | Zeta Potential (mV) |
|---|---|---|---|
| Blank SNEDDS preconcentrate 1 | 39.2 ± 0.4 | 0.029 ± 0.008 | −1.69 ± 0.2 |
| Liquid SNEDDS90% | 30.9 ± 0.3 | 0.116 ± 0.007 | 8.77 ± 0.6 |
| Liquid super-SNEDDS150% 1 | 31.1 ± 0.3 | 0.127 ± 0.004 | 10.1 ± 0.8 |
| Liquid super-SNEDDS200% | 31.9 ± 0.3 | 0.125 ± 0.003 | 11.6 ± 0.76 |
| Liquid super-SNEDDS250% | 33.0 ± 0.3 | 0.133 ± 0.001 | 9.81 ± 0.6 |
Disclaimer/Publisher’s Note: The statements, opinions and data contained in all publications are solely those of the individual author(s) and contributor(s) and not of MDPI and/or the editor(s). MDPI and/or the editor(s) disclaim responsibility for any injury to people or property resulting from any ideas, methods, instructions or products referred to in the content. |
© 2023 by the authors. Licensee MDPI, Basel, Switzerland. This article is an open access article distributed under the terms and conditions of the Creative Commons Attribution (CC BY) license (https://creativecommons.org/licenses/by/4.0/).
Share and Cite
Møller, A.; Schultz, H.B.; Meola, T.R.; Joyce, P.; Müllertz, A.; Prestidge, C.A. The Influence of Blonanserin Supersaturation in Liquid and Silica Stabilised Self-Nanoemulsifying Drug Delivery Systems on In Vitro Solubilisation. Pharmaceutics 2023, 15, 284. https://doi.org/10.3390/pharmaceutics15010284
Møller A, Schultz HB, Meola TR, Joyce P, Müllertz A, Prestidge CA. The Influence of Blonanserin Supersaturation in Liquid and Silica Stabilised Self-Nanoemulsifying Drug Delivery Systems on In Vitro Solubilisation. Pharmaceutics. 2023; 15(1):284. https://doi.org/10.3390/pharmaceutics15010284
Chicago/Turabian StyleMøller, Amalie, Hayley B. Schultz, Tahlia R. Meola, Paul Joyce, Anette Müllertz, and Clive A. Prestidge. 2023. "The Influence of Blonanserin Supersaturation in Liquid and Silica Stabilised Self-Nanoemulsifying Drug Delivery Systems on In Vitro Solubilisation" Pharmaceutics 15, no. 1: 284. https://doi.org/10.3390/pharmaceutics15010284
APA StyleMøller, A., Schultz, H. B., Meola, T. R., Joyce, P., Müllertz, A., & Prestidge, C. A. (2023). The Influence of Blonanserin Supersaturation in Liquid and Silica Stabilised Self-Nanoemulsifying Drug Delivery Systems on In Vitro Solubilisation. Pharmaceutics, 15(1), 284. https://doi.org/10.3390/pharmaceutics15010284

