Central Composite Design for Optimization of Mitomycin C-Loaded Quantum Dots/Chitosan Nanoparticles as Drug Nanocarrier Vectors
Abstract
1. Introduction
2. Materials and Methods
2.1. Materials
2.2. Methods
2.2.1. Response Surface Methodology
Central Composite Design
Optimization of Formulations by Factorial Design
Statistical Analysis
2.2.2. Preparation of MMC@CS-Mn:ZnS Nanocarriers and Encapsulation Efficiency
Preparation of MMC@CS-Mn:ZnS Nanocarriers
Encapsulation Efficiency
2.2.3. Drug Release Studies
2.2.4. Characterization
3. Results and Discussion
3.1. Drug delivery System
3.2. Building of Regression Model RSM
3.3. Diagnostics
3.4. Correlation of Significant Factors Involved in the Encapsulation Efficiency
3.5. Validation of Model and Optimization of Encapsulation Efficiency
Encapsulation Efficiency (EE %)
3.6. Physicochemical Characterization of MMC@CS-Mn:ZnS Drug Nanocarrier
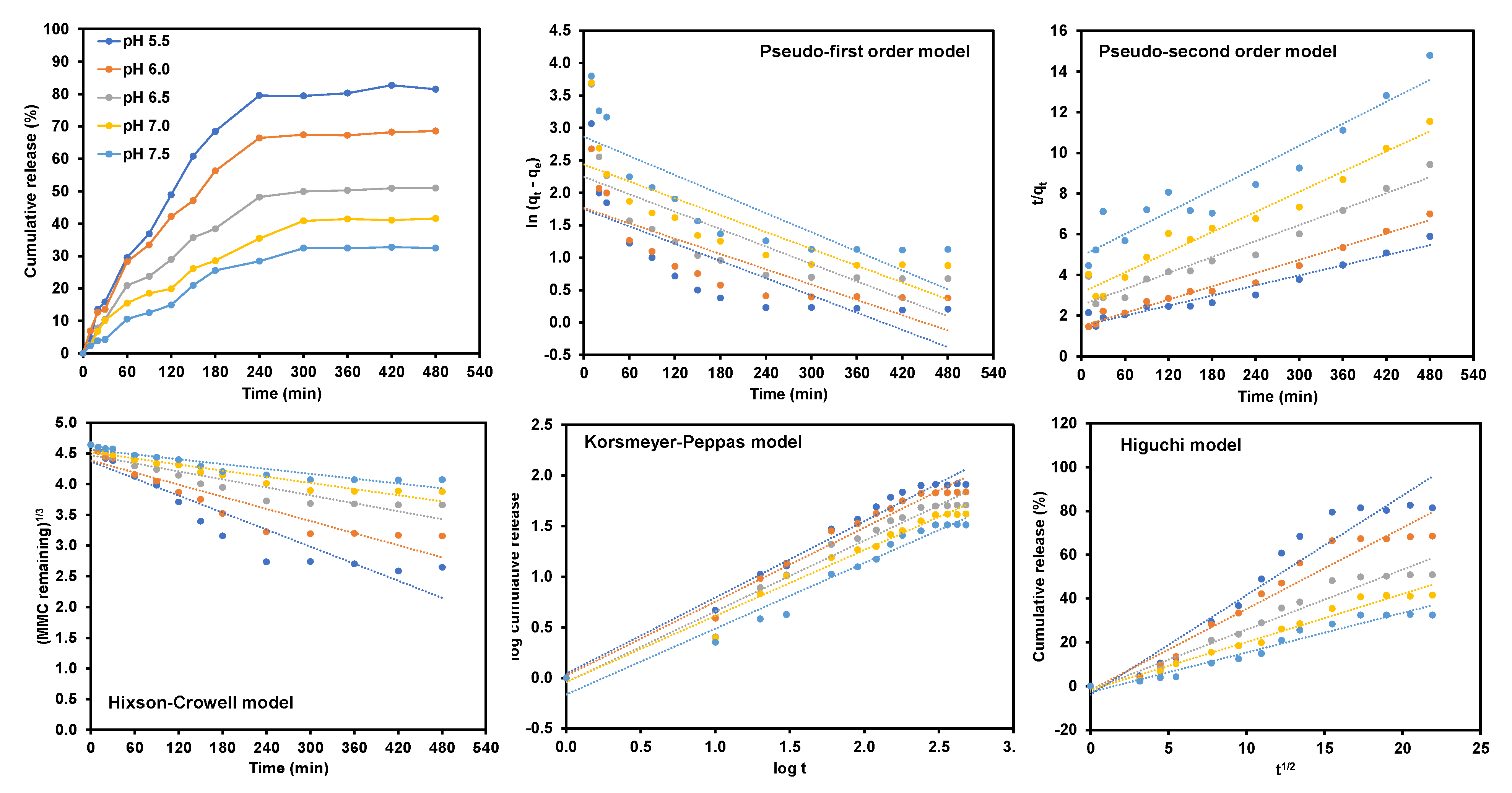
3.7. In Vitro Release Profile of MMC
4. Conclusions
Author Contributions
Funding
Institutional Review Board Statement
Informed Consent Statement
Data Availability Statement
Acknowledgments
Conflicts of Interest
References
- Ho, P.; Moran, G.W.; Wang, V.; Li, G.; Virk, R.K.; McKiernan, J.M.; Anderson, C.B. The effect of tumor grade heterogeneity on recurrence in non-muscle invasive bladder cancer Tag edEn. Urol. Oncol. Semin. Orig. Investig. 2022, 40, 60.e11–60.e16. [Google Scholar]
- Chou, R.; Dana, T. Screening adults for bladder cancer: A review of the evidence for the US preventive services task force. Ann. Intern. Med. 2010, 153, 461–468. [Google Scholar] [CrossRef] [PubMed]
- Sylvester, R.J.; Rodríguez, O.; Hernández, V.; Turturica, D.; Bauerová, L.; Bruins, H.M.; Bründl, J.; van der Kwast, T.H.; Brisuda, A.; Rubio-Briones, J.; et al. European Association of Urology (EAU) Prognostic Factor Risk Groups for Non-muscle-invasive Bladder Cancer (NMIBC) Incorporating the WHO 2004/2016 and WHO 1973 Classification Systems for Grade: An Update from the EAU NMIBC Guidelines Panel. Eur. Urol. 2020, 9, 489–491. [Google Scholar] [CrossRef] [PubMed]
- Galesloot, T.E.; Grotenhuis, A.J.; Kolev, D.; Aben, K.K.; Bryan, R.T.; Catto, J.W.F.; Cheng, K.K.; Conroy, S.; Dyrskjøt, L.; Fleshner, N.E.; et al. Genome-wide Meta-analysis Identifies Novel Genes Associated with Recurrence and Progression in Non—muscle-invasive Bladder Cancer. Eur. Urol. Oncol. 2021, 5, 70–83. [Google Scholar] [CrossRef]
- Jain, P.; Kathuria, H.; Momin, M. Clinical therapies and nano drug delivery systems for urinary bladder cancer. Pharmacol. Ther. 2021, 226, 107871. [Google Scholar] [CrossRef]
- Tang, L.; Li, J.; Zhao, Q.; Pan, T.; Zhong, H.; Wang, W. Advanced and Innovative Nano-Systems for Anticancer Targeted Drug Delivery. Pharmaceutics 2021, 13, 1151. [Google Scholar] [CrossRef]
- Sultan, M.H.; Moni, S.S.; Madkhali, O.A. Characterization of cisplatin-Loaded chitosan nanoparticles and rituximab - linked surfaces as target - specific injectable nano-formulations for combating cancer. Sci. Rep. 2022, 12, 468. [Google Scholar] [CrossRef]
- Meng, Q.; Zhong, S.; Xu, L.; Wang, J.; Zhang, Z.; Gao, Y.; Cui, X. Review on design strategies and considerations of polysaccharide-based smart drug delivery systems for cancer therapy. Carbohydr. Polym. 2022, 279, 119013. [Google Scholar] [CrossRef]
- Babu, A.; Amreddy, N.; Muralidharan, R.; Pathuri, G.; Gali, H.; Chen, A.; Zhao, Y.D.; Munshi, A. Chemodrug delivery using nanoparticle for lung cancer therapy. Sci. Rep. 2017, 7, 14674. [Google Scholar] [CrossRef]
- Hernandez-Giottonini, K.Y.; Rodrıguez-Cordova, R.J.; Gutierrez-Valenzuela, C.A.; Peñuñuri-Miranda, O.; Zavala-Rivera, P.; Guerrero-Germán, P.; Lucero-Acuña, A. PLGA nanoparticle preparations by emulsi fi cation and nanoprecipitation techniques: Effects of formulation parameters. RSC Adv. 2020, 10, 4218–4231. [Google Scholar] [CrossRef]
- Kukkar, D.; Kukkar, P.; Kumar, V.; Hong, J.; Kim, K.; Deep, A. Recent advances in nanoscale materials for antibody-based cancer theranostics. Biosens. Bioelectron. 2021, 173, 112787. [Google Scholar] [CrossRef]
- Aina, F.; Manan, A.; Yusof, N.A.; Abdullah, J.; Mohammad, F.; Nurdin, A. Drug Release Profiles of Mitomycin C Encapsulated Quantum Dots—Chitosan Nanocarrier System for the Possible Treatment of Non-Muscle Invasive Bladder Cancer. Pharmaceutics 2021, 13, 1379. [Google Scholar]
- Zhang, X.; Yang, X.; Ji, J.; Liu, A.; Zhai, G. Tumor targeting strategies for chitosan-based nanoparticles. Colloids Surf. B Biointerfaces 2016, 148, 460–473. [Google Scholar] [CrossRef]
- Siddharth, S.; Nayak, A.; Nayak, D.; Bindhani, B.K. Chitosan-Dextran sulfate coated doxorubicin loaded PLGA-PVA- nanoparticles caused apoptosis in doxorubicin resistance breast cancer cells through induction of DNA damage. Sci. Rep. 2017, 7, 2143. [Google Scholar] [CrossRef]
- Aman, R.M.; Zaghloul, R.A.; Dahhan, M.S. El Formulation, optimization and characterization of allantoin-loaded chitosan nanoparticles to alleviate ethanol-induced gastric ulcer: In-vitro and in-vivo studies. Sci. Rep. 2021, 11, 2216. [Google Scholar] [CrossRef]
- Yao, Y.; Zhou, Y.; Liu, L.; Xu, Y.; Chen, Q.; Wang, Y. Nanoparticle-Based Drug Delivery in Cancer Therapy and Its Role in Overcoming Drug Resistance. Front. Mol. Biosci. 2020, 7, 193. [Google Scholar] [CrossRef]
- Scheer, H.; Yang, X.; Zhao, K. Biliproteins and Their Applications in Bioimaging PUB. Procedia Chem. 2015, 14, 176–185. [Google Scholar] [CrossRef]
- Jiao, S.; Wang, X.; Sun, Y.; Zhang, L.; Sun, W.; Sun, Y.; Wang, X.; Ma, P.; Song, D. A novel fluorescein-coumarin-based fluorescent probe for fluoride ions and its applications in imaging of living cells and zebrafish in vivo. Sens. Actuators B. Chem. 2018, 262, 188–194. [Google Scholar] [CrossRef]
- Zhang, F.; Di, Y.; Li, Y.; Qi, Q.; Qian, J.; Fu, X.; Xu, B.; Tian, W.; Near-infrared, F.R. Highly efficient Far Red/Near-Infrared fluorophores with aggregation-induced emission for bioimaging. Dye. Pigment. 2017, 142, 491–498. [Google Scholar] [CrossRef]
- Yang, L.; Li, H.; Liu, D.; Su, H.; Wang, K.; Liu, G.; Luo, X. Organic small molecular nanoparticles based on self-assembly of amphiphilic fl uoroporphyrins for photodynamic and photothermal synergistic cancer therapy. Colloids Surf. B Biointerfaces 2019, 182, 110345. [Google Scholar] [CrossRef]
- Wu, F.; Chen, L.; Yue, L.; Wang, K.; Cheng, K.; Chen, J.; Luo, X.; Zhang, T. Small-Molecule Porphyrin-Based Organic Nanoparticles with Remarkable Photothermal Conversion Efficiency for in Vivo Photoacoustic Imaging and Photothermal Therapy Small-Molecule Nanoparticles with Remarkable Photothermal Conversion Efficiency for in Vivo Photoacoustic Imaging and Photothermal Therapy. ACS Appl. Mater. Interfaces 2019, 11, 21408–21416. [Google Scholar] [PubMed]
- Chinnathambi, S.; Shirahata, N. Recent advances on fluorescent biomarkers of near-infrared quantum dots for in vitro and in vivo imaging. Sci. Technol. Adv. Mater. 2019, 20, 337–355. [Google Scholar] [CrossRef] [PubMed]
- Janus, Ł.; Piątkowski, M.; Radwan-Pragłowska, J.; Bogdał, D.; Matysek, D. Chitosan-Based Carbon Quantum Dots for Biomedical Applications: Synthesis and Characterization. Nanomaterials 2019, 9, 274. [Google Scholar] [CrossRef] [PubMed]
- Sepahi, H.; Pourmadadi, M.; Moradi, A.; Yazdian, F.; Omidi, M. Chitosan/carbon quantum dot/aptamer complex as a potential anticancer drug delivery system towards the release of 5-fluorouracil. Int. J. Biol. Macromol. 2020, 165, 1422–1430. [Google Scholar]
- Debnath, S.; Parashar, K.; Pillay, K. Ultrasound assisted adsorptive removal of hazardous dye Safranin O from aqueous solution using crosslinked graphene oxide-chitosan (GO-CH) composite and optimization by response surface methodology (RSM) approach. Carbohydr. Polym. 2017, 175, 509–517. [Google Scholar] [CrossRef] [PubMed]
- Jindal, R. RSM-CCD optimized microwave assisted synthesis of chitosan and sodium alginate based nanocomposite containing inclusion complexes of β-cyclodextrin and amlodipine besylate for sustained drug delivery systems GO. J. Drug Deliv. Sci. Technol. 2021, 61, 102325. [Google Scholar]
- Muthukumaran, C.; Kanmani, B.R.; Sharmila, G.; Kumar, N.M.; Shanmugaprakash, M. Carboxymethylation of pectin: Optimization, characterization and in-vitro drug release studies. Carbohydr. Polym. 2018, 194, 311–318. [Google Scholar]
- Tavares, M.; Santos, J.; Viegas, R.; Palma, J.; Viegas, F.; Bentley, B.; Testa, F.; De Carvalho, M.; Vit, M.; Chorilli, M.; et al. Design of experiments (DoE) to develop and to optimize nanoparticles as drug delivery systems. Eur. J. Pharm. Biopharm. 2021, 165, 127–148. [Google Scholar] [CrossRef]
- Fathiyah, S.; Mohamad, S.; Said, F.M.; Abdul, M.S. Application of experimental designs and response surface methods in screening and optimization of reverse micellar extraction. Crit. Rev. Biotechnol. 2020, 40, 341–356. [Google Scholar]
- Lee, R. Statistical Design of Experiments for Screening and Optimization. Chem. Ing. Tech. 2019, 91, 191–200. [Google Scholar] [CrossRef]
- Rosly, N.Z.; Abdullah, A.H.; Kamarudin, M.A.; Ashari, S.E.; Ainliah, S.; Ahmad, A. Adsorption of Methylene Blue Dye by Calix [6] Arene-Modified Lead Sulphide (Pbs ): Optimisation Using Response Surface Methodology. Int. J. Environ. Res. Public Health 2021, 18, 397. [Google Scholar] [CrossRef]
- Nasser, H.; El-bery, H.M.; Metwally, A.A. Synthesis of CdS-modified chitosan quantum dots for the drug delivery of Sesamol. Carbohydr. Polym. 2019, 214, 90–99. [Google Scholar]
- Sultana, T.; Van Hai, H.; Park, M.; Lee, S.; Lee, B. Controlled release of Mitomycin C from modified cellulose based thermo-gel prevents post-operative de novo peritoneal adhesion. Carbohydr. Polym. 2020, 229, 115552. [Google Scholar] [CrossRef]
- Chen, Y.W.; Lee, H.V.; Bee, S.; Hamid, A. Investigation of optimal conditions for production of highly crystalline nanocellulose with increased yield via novel Cr (III) -catalyzed hydrolysis: Response surface methodology. Carbohydr. Polym. 2017, 178, 57–68. [Google Scholar] [CrossRef]
- Othman, N.; Md. Jamil, S.N.A.; Masarudin, M.J.; Abdullah, L.C.; Daik, R.; Sarman, N.S. l-Ascorbic Acid and Thymoquinone Dual-Loaded Palmitoyl-Chitosan Nanoparticles: Improved Preparation Method, Encapsulation and Release Efficiency. Processes 2020, 8, 1040. [Google Scholar] [CrossRef]
- Maluin, F.N.; Hussein, Z.; Yusof, A. Enhanced fungicidal efficacy on Ganoderma boninense by simultaneous co-delivery of hexaconazole and dazomet from their chitosan nanoparticles. RSC Adv. 2019, 9, 27083–27095. [Google Scholar] [CrossRef]
- Bagheri-josheghani, S.; Bakhshi, B. Formulation of selenium nanoparticles encapsulated by alginate-chitosan for controlled delivery of Vibrio Cholerae LPS: A novel delivery system candidate for nanovaccine. Int. J. Biol. Macromol. 2022, 208, 494–508. [Google Scholar] [CrossRef]
- Chakraborty, A.; Roy, G.; Swami, B.; Bhaskar, S. Tumor targeted delivery of mycobacterial adjuvant encapsulated chitosan nanoparticles showed potential anti-cancer activity and immune cell activation in tumor microenvironment. Int. Immunopharmacol. 2023, 114, 109463. [Google Scholar] [CrossRef]
- Mangili, I.; Lasagni, M.; Huang, K.; Isayev, A.I. Modeling and optimization of ultrasonic devulcanization using the response surface methodology based on central composite face-centered design. Chemom. Intell. Lab. Syst. 2015, 144, 1–10. [Google Scholar] [CrossRef]
- Arafa, M.G.; Ayoub, B.M. DOE Optimization of Nano-based Carrier of Pregabalin as Hydrogel: New Therapeutic & Chemometric Approaches for Controlled Drug Delivery Systems. Sci. Rep. 2017, 7, 41503. [Google Scholar]
- Bakhshpour, M.; Yavuz, H.; Denizli, A. Controlled release of mitomycin C from PHEMAH—Cu (II) cryogel membranes. Artif. Cells Nanomed. Biotechnol. 2018, 46, S946–S954. [Google Scholar] [CrossRef] [PubMed]
- Janeth, C.; Rivas, M.; Tarhini, M.; Badri, W.; Miladi, K.; Greige-gerges, H.; Agha, Q.; Arturo, S.; Rodríguez, G.; Álvarez, R.; et al. Nanoprecipitation process: From encapsulation to drug delivery. Int. J. Pharm. 2017, 532, 66–81. [Google Scholar]
- Wang, Y.; Tan, Y. Enhanced drug loading capacity of 10-hydroxycamptothecin-loaded nanoparticles prepared by two-step nanoprecipitation method. J. Drug Deliv. Sci. Technol. 2016, 36, 183–191. [Google Scholar] [CrossRef]
- Basu, T.; Pal, B.; Singh, S. Hollow chitosan nanocomposite as drug carrier system for controlled delivery of ramipril. Chem. Phys. Lett. 2018, 706, 465–471. [Google Scholar] [CrossRef]





| Variable/Factor | Factor | Unit | Actual | Coded Level | Mean | Standard Deviation | ||||
|---|---|---|---|---|---|---|---|---|---|---|
| Low | Middle | High | Low | Middle | High | |||||
| Incubation time | A | min | 30 | 105 | 180 | −1 | 0 | 1 | 105 | 54.41 |
| Conc. of MMC | B | mg/mL | 0.25 | 0.875 | 1.50 | −1 | 0 | 1 | 0.875 | 0.45 |
| Conc. of nanocarrier | C | mg/mL | 2.0 | 5.0 | 8.0 | −1 | 0 | 1 | 5.00 | 2.18 |
| Chitosan-Based Nanocarriers | Synthesis Method | Payloads | Encapsulation Efficiency (%) | References |
|---|---|---|---|---|
| Chitosan nanoparticles | Ionic gelation method | L-ascorbic acid (LAA) Thymoquinone (TQ) | LAA (22.8 ± 3.2) TQ (35.6 ± 3.6) | [35] |
| Chitosan nanoparticles | Ionic gelation method | Hexaconazole Dazomet | Hexaconazole (65.3 ± 4.5) Dazomet (68.9 ± 3.5) | [36] |
| Selenium nanoparticles encapsulated by alginate-chitosan | Crosslinking/in situ reduction method | Vibrio Cholerae lipopolysaccharide LPS (nanovaccine) | 62 | [37] |
| Histidine-grafted chitosan-lipoic acid NPs (HCSL-NPs) | Single emulsion solvent evaporation method. | Paclitaxel | 86.54 ± 3.51 | [38] |
| Chitosan conjugated with Mn doped ZnS (CS-Mn:ZnS) quantum dots | Ionic gelation method | Mitomycin C | 55.31 ± 3.09 | This work |
| Run | Actual Independent Variable | Encapsulation Efficiency (EE) Response (%) | |||
|---|---|---|---|---|---|
| Incubation Time (min) | Conc. of MMC (mg/mL) | Conc. of Nanocarrier (mg/mL) | Experimental | Predicted | |
| 1 | 105 | 0.875 | 5.0 | 54.13 | 54.26 |
| 2 | 105 | 0.875 | 5.0 | 55.31 | 54.26 |
| 3 | 105 | 0.875 | 5.0 | 52.22 | 54.26 |
| 4 | 180 | 1.500 | 5.0 | 33.22 | 33.02 |
| 5 | 105 | 0.875 | 5.0 | 46.80 | 46.85 |
| 6 | 30 | 1.500 | 5.0 | 10.09 | 10.59 |
| 7 | 30 | 0.250 | 5.0 | 14.88 | 14.26 |
| 8 | 180 | 0.875 | 5.0 | 47.21 | 47.01 |
| 9 | 105 | 0.250 | 5.0 | 43.29 | 43.93 |
| 10 | 180 | 1.500 | 5.0 | 35.31 | 35.93 |
| 11 | 105 | 0.875 | 5.0 | 53.30 | 54.26 |
| 12 | 105 | 0.875 | 5.0 | 54.48 | 54.26 |
| 13 | 105 | 0.875 | 8.0 | 46.77 | 46.71 |
| 14 | 180 | 0.250 | 8.0 | 28.01 | 27.52 |
| 15 | 30 | 0.875 | 5.0 | 27.39 | 27.57 |
| 16 | 105 | 1.500 | 5.0 | 46.95 | 46.30 |
| 17 | 105 | 0.875 | 5.0 | 54.13 | 54.26 |
| 18 | 30 | 1.500 | 8.0 | 8.08 | 7.81 |
| 19 | 30 | 0.250 | 8.0 | 10.88 | 11.08 |
| 20 | 180 | 0.250 | 2.0 | 24.75 | 25.02 |
| Source | Sum of Squares | Degree of Freedom | Mean | F-Value | p-Value (Prob > F) | Significance |
|---|---|---|---|---|---|---|
| Model | 4946.56 | 9 | 549.6177 | 601.1335 | <0.0001 | significant |
| A-Incubation time | 774.2902 | 1 | 774.2902 | 846.8646 | <0.0001 | significant |
| B-Conc. of MMC | 3.438115 | 1 | 3.438115 | 3.76037 | <0.0001 | significant |
| C-Conc. of nanocarrier | 114.7601 | 1 | 114.7601 | 125.5166 | <0.0001 | significant |
| AB | 53.71661 | 1 | 53.71661 | 58.75148 | <0.0001 | significant |
| AC | 7.860612 | 1 | 7.860612 | 8.597389 | <0.0001 | significant |
| BC | 1.436512 | 1 | 1.436512 | 1.571157 | <0.0001 | significant |
| A² | 705.3206 | 1 | 705.3206 | 771.4305 | <0.0001 | significant |
| B² | 162.8358 | 1 | 162.8358 | 178.0985 | <0.0001 | significant |
| C² | 207.6693 | 1 | 207.6693 | 227.1342 | <0.0001 | significant |
| Residual | 9.143023 | 10 | 0.914302 | |||
| Lack of Fit | 3.116023 | 5 | 0.623205 | 0.517011 | 0.7568 | not significant |
| Pure Error | 6.027 | 5 | 1.2054 | |||
| Cor Total | 4955.703 | 19 | ||||
| PRESS | 32.45 | R2 | 0.9980 | |||
| Std. Dev. | 0.9562 | Adjusted R2 (R2adj)) | 0.9962 | |||
| Mean | 36.58 | Predicted R2 (R2pred) | 0.9907 | |||
| C.V. % | 2.61 | Adeq. Precision | 66.2991 |
| Factor | Goal | Limit | |
|---|---|---|---|
| Lower | Upper | ||
| A: Incubation time | Must be in the range of 30 to 180 | 30 | 180 |
| B: Conc.of MMC | Must be in the range of 0.25 to 1.50 | 0.25 | 1.50 |
| C: Conc. of nanocarrier | Must be in the range of 2.0 to 8.0 | 2.0 | 8.0 |
| Encapsulation efficiency | Maximum encapsulation efficiency | 7.68 | 54.30 |
| Run | Incubation Time (min) | Conc. of MMC (mg/mL) | Conc. of Nanocarrier (mg/mL) | Encapsulation Efficiency (%) | ||
|---|---|---|---|---|---|---|
| Experimental | Predicted | RSE (%) | ||||
| 35 | 128.77 | 0.943 | 5.081 | 54.331 | 54.93 | 1.09 |
| 36 | 128.3 | 0.971 | 5.020 | 54.316 | 55.13 | 1.48 |
| 37 | 127.52 | 0.918 | 5.055 | 54.324 | 55.29 | 1.75 |
| Correlation Coefficient, R2 | |||||
|---|---|---|---|---|---|
| Release Medium pH | Pseudo-First Order | Pseudo-Second Order | Hixson-Crowell | Korsmeyer-Peppas | Higuchi |
| 5.5 | 0.6074 | 0.9306 | 0.8704 | 0.9527 | 0.9368 |
| 6.0 | 0.6540 | 0.9556 | 0.8613 | 0.9735 | 0.9455 |
| 6.5 | 0.5956 | 0.9432 | 0.8674 | 0.9670 | 0.9566 |
| 7.0 | 0.6515 | 0.9608 | 0.9309 | 0.9754 | 0.9729 |
| 7.5 | 0.6927 | 0.9113 | 0.8841 | 0.9639 | 0.9548 |
Disclaimer/Publisher’s Note: The statements, opinions and data contained in all publications are solely those of the individual author(s) and contributor(s) and not of MDPI and/or the editor(s). MDPI and/or the editor(s) disclaim responsibility for any injury to people or property resulting from any ideas, methods, instructions or products referred to in the content. |
© 2023 by the authors. Licensee MDPI, Basel, Switzerland. This article is an open access article distributed under the terms and conditions of the Creative Commons Attribution (CC BY) license (https://creativecommons.org/licenses/by/4.0/).
Share and Cite
Manan, F.A.A.; Yusof, N.A.; Abdullah, J.; Nurdin, A. Central Composite Design for Optimization of Mitomycin C-Loaded Quantum Dots/Chitosan Nanoparticles as Drug Nanocarrier Vectors. Pharmaceutics 2023, 15, 209. https://doi.org/10.3390/pharmaceutics15010209
Manan FAA, Yusof NA, Abdullah J, Nurdin A. Central Composite Design for Optimization of Mitomycin C-Loaded Quantum Dots/Chitosan Nanoparticles as Drug Nanocarrier Vectors. Pharmaceutics. 2023; 15(1):209. https://doi.org/10.3390/pharmaceutics15010209
Chicago/Turabian StyleManan, Fariza Aina Abd, Nor Azah Yusof, Jaafar Abdullah, and Armania Nurdin. 2023. "Central Composite Design for Optimization of Mitomycin C-Loaded Quantum Dots/Chitosan Nanoparticles as Drug Nanocarrier Vectors" Pharmaceutics 15, no. 1: 209. https://doi.org/10.3390/pharmaceutics15010209
APA StyleManan, F. A. A., Yusof, N. A., Abdullah, J., & Nurdin, A. (2023). Central Composite Design for Optimization of Mitomycin C-Loaded Quantum Dots/Chitosan Nanoparticles as Drug Nanocarrier Vectors. Pharmaceutics, 15(1), 209. https://doi.org/10.3390/pharmaceutics15010209

