Electrospun Sulfonatocalix[4]arene Loaded Blended Nanofibers: Process Optimization and In Vitro Studies
Abstract
1. Introduction
2. Materials and Methods
2.1. Materials
2.2. Synthesis of p-Sulfonatocalix[4]arene
2.3. Preparation of Electrospun Nanofibers
2.4. Chemical and Physical Characterization
2.4.1. 1H and 13C Nuclear Magnetic Resonance Spectroscopy
2.4.2. Scanning Electron Microscopy (SEM)
2.4.3. FTIR Spectroscopy
2.4.4. Water Contact Angle
2.4.5. Thermogravimetric Analysis
2.5. In Vitro Studies
3. Results and Discussion
- (a)
- Synthesis of p-sulfonatocalix[4]arene
- (b)
- Morphological studies
- (c)
- FTIR analysis
- (d)
- Water contact angle
- (e)
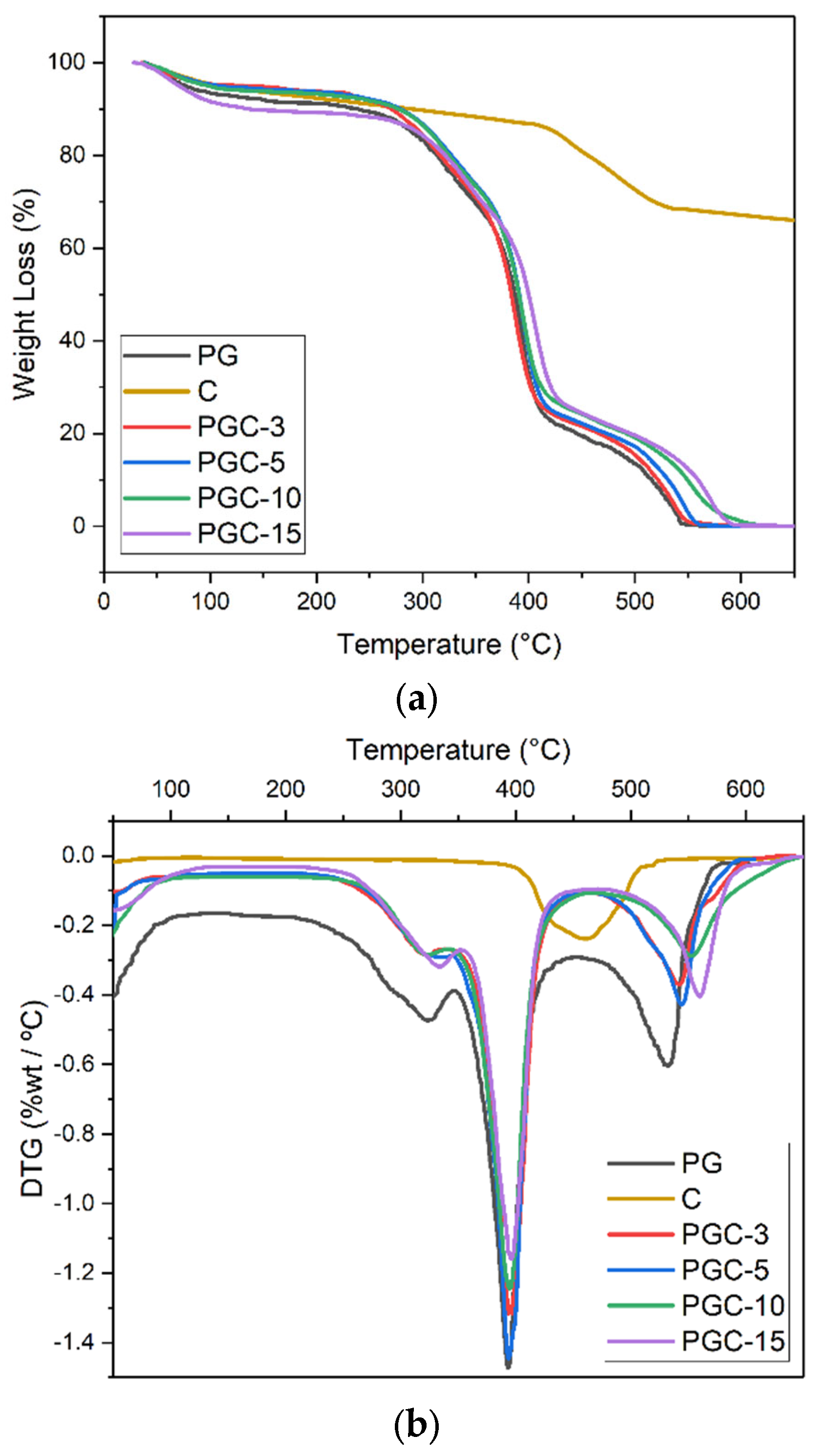
- Thermogravimetric analysis
- (f)
- Biocompatibility studies
4. Conclusions
Author Contributions
Funding
Institutional Review Board Statement
Informed Consent Statement
Data Availability Statement
Acknowledgments
Conflicts of Interest
References
- Celebioglu, A.; Uyar, T. Cyclodextrin Nanofibers by Electrospinning. Chem. Commun. 2010, 46, 6903–6905. [Google Scholar] [CrossRef]
- Naseer, M.M.; Ahmed, M.; Hameed, S. Functionalized Calix[4]Arenes as Potential Therapeutic Agents. Chem. Biol. Drug Des. 2017, 89, 243–256. [Google Scholar]
- Gangemi, C.M.A.; Puglisi, R.; Pappalardo, A.; Trusso Sfrazzetto, G. Supramolecular Complexes for Nanomedicine. Bioorg. Med. Chem. Lett. 2018, 28, 3290–3301. [Google Scholar] [CrossRef] [PubMed]
- Alahmadi, S.M.; Mohamad, S.; Jamil Maah, M. Preparation of Organic-Inorganic Hybrid Materials Based on MCM-41 and Its Applications. Adv. Mater. Sci. Eng. 2013, 2013, 634863. [Google Scholar] [CrossRef]
- Yousaf, A.; Hamid, S.A.; Bunnori, N.M.; Ishola, A.A. Applications of Calixarenes in Cancer Chemotherapy: Facts and Perspectives. Drug Des. Dev. Ther. 2015, 9, 2831–2838. [Google Scholar] [CrossRef]
- Kang, Y.; Rudkevich, D.M. Polymer-Supported Calix[4]Arenes for Sensing and Conversion of NO2/N2O4. Tetrahedron 2004, 60, 11219–11225. [Google Scholar] [CrossRef]
- Gokoglan, T.C.; Soylemez, S.; Kesik, M.; Unay, H.; Sayin, S.; Yildiz, H.B.; Cirpan, A.; Toppare, L. A Novel Architecture Based on a Conducting Polymer and Calixarene Derivative: Its Synthesis and Biosensor Construction. RSC Adv. 2015, 5, 35940–35947. [Google Scholar] [CrossRef]
- Keskinates, M.; Yilmaz, B.; Ulusu, Y.; Bayrakci, M. Electrospinning of Novel Calixarene-Functionalized PAN and PMMA Nanofibers: Comparison of Fluorescent Protein Adsorption Performance. Mater. Chem. Phys. 2018, 205, 522–529. [Google Scholar] [CrossRef]
- Cagil, E.M.; Ozcan, F.; Ertul, S. Fabrication of Calixarene Based Protein Scaffold by Electrospin Coating for Tissue Engineering. J. Nanosci. Nanotechnol. 2018, 18, 5292–5298. [Google Scholar] [CrossRef]
- Cagil, E.M.; Hameed, O.; Ozcan, F. Production of a New Platform Based Calixarene Nanofiber for Controlled Release of the Drugs. Mater. Sci. Eng. C 2019, 100, 466–474. [Google Scholar] [CrossRef]
- Amores de Sousa, M.C.; Rodrigues, C.A.V.; Ferreira, I.A.F.; Diogo, M.M.; Linhardt, R.J.; Cabral, J.M.S.; Ferreira, F.C. Functionalization of Electrospun Nanofibers and Fiber Alignment Enhance Neural Stem Cell Proliferation and Neuronal Differentiation. Front. Bioeng. Biotechnol. 2020, 8, 580135. [Google Scholar] [CrossRef]
- Basilotta, R.; Mannino, D.; Filippone, A.; Casili, G.; Prestifilippo, A.; Colarossi, L.; Raciti, G.; Esposito, E.; Campolo, M. Role of Calixarene in Chemotherapy Delivery Strategies. Molecules 2021, 26, 3963. [Google Scholar] [CrossRef]
- Shinkai, S.; Nagasaki, T.; Iwamoto, K.; Ikeda, A.; He, G.-X.; Matsuda, T.; Iwamoto, M. New Syntheses and Physical Properties of p -Alkylcalix[n]Arenes. Bull. Chem. Soc. Jpn. 1991, 64, 381–386. [Google Scholar] [CrossRef]
- Harada, A.; Takashima, Y.; Nakahata, M. Supramolecular Polymeric Materials via Cyclodextrin-Guest Interactions. Acc. Chem. Res. 2014, 47, 2128–2140. [Google Scholar] [CrossRef] [PubMed]
- Goor, O.J.G.M.; Dankers, P.Y.W. Advances in the Development of Supramolecular Polymeric Biomaterials. In Comprehensive Supramolecular Chemistry II; Elsevier Inc.: Amsterdam, The Netherlands, 2017; Volume 5, pp. 255–282. ISBN 978-0-12803-198-8. [Google Scholar]
- Mo, J.; Eggers, P.K.; Yuan, Z.X.; Raston, C.L.; Lim, L.Y. Paclitaxel-Loaded Phosphonated Calixarene Nanovesicles as a Modular Drug Delivery Platform. Sci. Rep. 2016, 6, 23489. [Google Scholar] [CrossRef]
- Narkhede, N.; Uttam, B.; Rao, C.P. Calixarene-Assisted Pd Nanoparticles in Organic Transformations: Synthesis, Characterization, and Catalytic Applications in Water for C-C Coupling and for the Reduction of Nitroaromatics and Organic Dyes. ACS Omega 2019, 4, 4908–4917. [Google Scholar] [CrossRef]
- Liu, Q.; Zhang, T.; Zheng, Y.; Wang, C.; Kang, Z.; Zhao, Y.; Chai, J.; Li, H.; Guo, D.; Liu, Y.; et al. Calixarene-Embedded Nanoparticles for Interference-Free Gene–Drug Combination Cancer Therapy. Small 2021, 17, 2006223. [Google Scholar] [CrossRef]
- Fontana, R.M.; Milano, N.; Barbara, L.; di Vincenzo, A.; Gallo, G.; lo Meo, P. Cyclodextrin-Calixarene Nanosponges as Potential Platforms for PH-Dependent Delivery of Tetracycline. ChemistrySelect 2019, 4, 9743–9747. [Google Scholar] [CrossRef]
- Massaro, M.; Cinà, V.; Labbozzetta, M.; Lazzara, G.; lo Meo, P.; Poma, P.; Riela, S.; Noto, R. Chemical and Pharmaceutical Evaluation of the Relationship between Triazole Linkers and Pore Size on Cyclodextrin-Calixarene Nanosponges Used as Carriers for Natural Drugs. RSC Adv. 2016, 6, 50858–50866. [Google Scholar] [CrossRef]
- Sun, Y.L.; Zhou, Y.; Li, Q.L.; Yang, Y.W. Enzyme-Responsive Supramolecular Nanovalves Crafted by Mesoporous Silica Nanoparticles and Choline-Sulfonatocalix[4]Arene[2]Pseudorotaxanes for Controlled Cargo Release. Chem. Commun. 2013, 49, 9033–9035. [Google Scholar] [CrossRef]
- Tao, X.; Feng, Q.; He, H. Preparation of Calixarene-PI Nanofibers and Application as a Selective Adsorbent for Heavy Metal Ions. J. Eng. Fibers Fabr. 2018, 13, 1–8. [Google Scholar] [CrossRef]
- Bayrakci, M.; Ozcan, F.; Yilmaz, B.; Ertul, S. Electrospun Nanofibrous Polyacrylonitrile/Calixarene Mats: An Excellent Adsorbent for the Removal of Chromate Ions from Aqueous Solutions. Acta Chim. Slov. 2017, 64, 679–685. [Google Scholar] [CrossRef] [PubMed][Green Version]
- Liu, Z.; Dai, X.; Sun, Y.; Liu, Y. Organic Supramolecular Aggregates Based on Water-soluble Cyclodextrins and Calixarenes. Aggregate 2020, 1, 31–44. [Google Scholar] [CrossRef]
- Wang, Y.; Chou, J.; Sun, Y.; Wen, S.; Vasilescu, S.; Zhang, H. Supramolecular-Based Nanofibers. Mater. Sci. Eng. C 2019, 101, 650–659. [Google Scholar] [CrossRef] [PubMed]
- Chen, M.; Wang, C.; Fang, W.; Wang, J.; Zhang, W.; Jin, G.; Diao, G. Electrospinning of Calixarene-Functionalized Polyacrylonitrile Nanofiber Membranes and Application as an Adsorbent and Catalyst Support. Langmuir 2013, 29, 11858–11867. [Google Scholar] [CrossRef]
- Xue, J.; Wu, T.; Dai, Y.; Xia, Y. Electrospinning and Electrospun Nanofibers: Methods, Materials, and Applications. Chem. Rev. 2019, 119, 5298–5415. [Google Scholar] [CrossRef]
- Song, J.; Gao, H.; Zhu, G.; Cao, X.; Shi, X.; Wang, Y. The Preparation and Characterization of Polycaprolactone/Graphene Oxide Biocomposite Nanofiber Scaffolds and Their Application for Directing Cell Behaviors. Carbon 2015, 95, 1039–1050. [Google Scholar] [CrossRef]
- Fasolino, I.; Guarino, V.; Cirillo, V.; Ambrosio, L. 5-Azacytidine-mediated hMSC behavior on electrospun scaffolds for skeletal muscle regeneration. J. Biomed. Mater. Res. A 2017, 105, 2551–2561. [Google Scholar] [CrossRef]
- Yu, C.C.; Chen, Y.W.; Yeh, P.Y.; Hsiao, Y.S.; Lin, W.T.; Kuo, C.W.; Chueh, D.Y.; You, Y.W.; Shyue, J.J.; Chang, Y.C.; et al. Random and Aligned Electrospun PLGA Nanofibers Embedded in Microfluidic Chips for Cancer Cell Isolation and Integration with Air Foam Technology for Cell Release. J. Nanobiotechnol. 2019, 17, 31. [Google Scholar] [CrossRef]
- Yusof, M.R.; Shamsudin, R.; Zakaria, S.; Hamid, M.A.A.; Yalcinkaya, F.; Abdullah, Y.; Yacob, N. Electron-Beam Irradiation of the PLLA/CMS/β-TCP Composite Nanofibers Obtained by Electrospinning. Polymers 2020, 12, 1593. [Google Scholar] [CrossRef]
- Guarino, V.; Ausanio, G.; Iannotti, V.; Ambrosio, L.; Lanotte, L. Electrospun nanofiber tubes with elastomagnetic properties for biomedical use. Express Polym. Lett. 2018, 12, 318–329. [Google Scholar] [CrossRef]
- Ghasemi-Mobarakeh, L.; Prabhakaran, M.P.; Morshed, M.; Nasr-Esfahani, M.H.; Ramakrishna, S. Electrospun Poly(ε-Caprolactone)/Gelatin Nanofibrous Scaffolds for Nerve Tissue Engineering. Biomaterials 2008, 29, 4532–4539. [Google Scholar] [CrossRef]
- Guarino, V.; Cirillo, V.; Ambrosio, L. Bicomponent Electrospun Scaffolds to Design Extracellular Matrix Tissue Analogs. Expert Rev. Med. Devices 2016, 13, 83–102. [Google Scholar] [CrossRef]
- Sanchez Ramirez, D.O.; Cruz-Maya, I.; Vineis, C.; Tonetti, C.; Varesano, A.; Guarino, V. Design of Asymmetric Nanofibers-Membranes Based on Polyvinyl Alcohol and Wool-Keratin for Wound Healing Applications. J. Funct. Biomater. 2021, 12, 76. [Google Scholar] [CrossRef]
- Jain, R.; Shetty, S.; Yadav, K.S. Unfolding the electrospinning potential of biopolymers for preparation of nanofibers. J. Drug Deliv. Sci. Technol. 2020, 57, 101604. [Google Scholar] [CrossRef]
- Abdul Khodir, W.; Abdul Razak, A.; Ng, M.; Guarino, V.; Susanti, D. Encapsulation and Characterization of Gentamicin Sulfate in the Collagen Added Electrospun Nanofibers for Skin Regeneration. J. Funct. Biomater. 2018, 9, 36. [Google Scholar] [CrossRef]
- Cruz-Maya, I.; Guarino, V.; Almaguer-Flores, A.; Alvarez-Perez, M.A.; Varesano, A.; Vineis, C. Highly polydisperse keratin rich nanofibers: Scaffold design and in vitro characterization. J. Biomed. Mater. Res. Part A 2019, 107, 1803–1813. [Google Scholar] [CrossRef]
- Samadian, H.; Farzamfar, S.; Vaez, A.; Ehterami, A.; Bit, A.; Alam, M.; Goodarzi, A.; Darya, G.; Salehi, M. A Tailored Polylactic Acid/Polycaprolactone Biodegradable and Bioactive 3D Porous Scaffold Containing Gelatin Nanofibers and Taurine for Bone Regeneration. Sci. Rep. 2020, 10, 13366. [Google Scholar] [CrossRef]
- Hamdan, N.; Yamin, A.; Hamid, S.A.; Khodir, W.K.W.A.; Guarino, V. Functionalized antimicrobial nanofibers: Design criteria and recent advances. J. Funct. Biomater. 2021, 12, 59. [Google Scholar] [CrossRef]
- Ramalingam, R.; Dhand, C.; Leung, C.M.; Ezhilarasu, H.; Prasannan, P.; Ong, S.T.; Subramanian, S.; Kamruddin, M.; Lakshminarayanan, R.; Ramakrishna, S.; et al. Poly-ε-Caprolactone/Gelatin Hybrid Electrospun Composite Nanofibrous Mats Containing Ultrasound Assisted Herbal Extract: Antimicrobial and Cell Proliferation Study. Nanomaterials 2019, 9, 462. [Google Scholar] [CrossRef]
- Cruz-Maya, I.; Varesano, A.; Vineis, C.; Guarino, V. Comparative Study on Protein-Rich Electrospun Fibers for in Vitro Applications. Polymers 2020, 12, 1671. [Google Scholar] [CrossRef]
- Ren, K.; Wang, Y.; Sun, T.; Yue, W.; Zhang, H. Electrospun PCL/Gelatin Composite Nanofiber Structures for Effective Guided Bone Regeneration Membranes. Mater. Sci. Eng. C 2017, 78, 324–332. [Google Scholar] [CrossRef]
- Al Hujran, T.A.; Magharbeh, M.K.; Al-Gharabli, S.; Haddadin, R.R.; al Soub, M.N.; Tawfeek, H.M. Studying the Complex Formation of Sulfonatocalix[4]Naphthalene and Meloxicam towards Enhancing Its Solubility and Dissolution Performance. Pharmaceutics 2021, 13, 994. [Google Scholar] [CrossRef]
- Guo, D.S.; Liu, Y. Supramolecular Chemistry of p-Sulfonatocalix[n]Arenes and Its Biological Applications. Acc. Chem. Res. 2014, 47, 1925–1934. [Google Scholar] [CrossRef]
- da Silva, E.; Shahgaldian, P.; Coleman, A.W. Haemolytic Properties of Some Water-Soluble Para-Sulphonato-Calix-[n]-Arenes. Int. J. Pharm. 2004, 273, 57–62. [Google Scholar] [CrossRef]
- Suci Handayani, D.; Firdaus, M.; Kusumaningsih, T. Synthesis Of Poly-5,7-Diallyl-25,26,27,28-Tetrahydroxycalix[4]Arene. Indones. J. Chem. 2010, 10, 127–131. [Google Scholar] [CrossRef]
- Xiong, D.; Chen, M.; Li, H. Synthesis of Para-Sulfonatocalix[4]Arene-Modified Silver Nanoparticles as Colorimetric Histidine Probes. Chem. Commun. 2008, 7, 880–882. [Google Scholar] [CrossRef]
- Shinkai, S.; Mori, S.; Tsubaki, T.; Sone, T.; Manabe, O. New Water-Soluble Host Molecules Derived from Calix[6]Arene. Tetrahedron Lett. 1984, 25, 5315–5318. [Google Scholar] [CrossRef]
- Gomes, S.R.; Rodrigues, G.; Martins, G.G.; Roberto, M.A.; Mafra, M.; Henriques, C.M.R.; Silva, J.C. In Vitro and in Vivo Evaluation of Electrospun Nanofibers of PCL, Chitosan and Gelatin: A Comparative Study. Mater. Sci. Eng. C 2015, 46, 348–358. [Google Scholar] [CrossRef]
- Kida, T.; Sato, S.I.; Yoshida, H.; Teragaki, A.; Akashi, M. 1,1,1,3,3,3-Hexafluoro-2-Propanol (HFIP) as a Novel and Effective Solvent to Facilely Prepare Cyclodextrin-Assembled Materials. Chem. Commun. 2014, 50, 14245–14248. [Google Scholar] [CrossRef]
- Furer, V.L.; Vandyukov, A.E.; Khamatgalimov, A.R.; Kleshnina, S.R.; Solovieva, S.E.; Antipin, I.S.; Kovalenko, V.I. Investigation of Hydrogen Bonding in P-Sulfonatocalix[4]Arene and Its Thermal Stability by Vibrational Spectroscopy. J. Mol. Struct. 2019, 1195, 403–410. [Google Scholar] [CrossRef]
- Qian, Y.; Zhang, Z.; Zheng, L.; Song, R.; Zhao, Y. Fabrication and Characterization of Electrospun Polycaprolactone Blended with Chitosan-Gelatin Complex Nanofibrous Mats. J. Nanomater. 2014, 2014, 964621. [Google Scholar] [CrossRef]
- Yamashita, T.; Takatsuka, K. Hydrogen-bond assisted enormous broadening of infrared spectra of phenol-water cationic cluster: An ab initio mixed quantum-classical study. J. Chem. Phys. 2007, 126, 074304. [Google Scholar] [CrossRef] [PubMed]
- Kuppan, P.; Sethuraman, S.; Krishnan, U.M. PCL, and PCL-Gelatin Nanofibers as Esophageal Tissue Scaffolds: Optimization, Characterization and Cell-Matrix Interactions. J. Biomed. Nanotechnol. 2013, 9, 1540–1555. [Google Scholar] [CrossRef] [PubMed]
- Saracino, E.; Cirillo, V.; Marrese, M.; Guarino, V.; Benfenati, V.; Zamboni, R.; Ambrosio, L. Structural and functional properties of astrocytes on PCL based electrospun fibres. Mater. Sci. Eng. C 2021, 118, 111363. [Google Scholar] [CrossRef]
- Longo, R.; Catauro, M.; Sorrentino, A.; Guadagno, L. Thermal and Mechanical Characterization of Complex Electrospun Systems Based on Polycaprolactone and Gelatin. J. Therm. Anal. Calorim. 2022, 147, 5391–5399. [Google Scholar] [CrossRef]
- Hauck, M.; Dittmann, J.; Zeller-Plumhoff, B.; Madurawala, R.; Hellmold, D.; Kubelt, C.; Synowitz, M.; Held-Feindt, J.; Adelung, R.; Wulfinghoff, S.; et al. Fabrication and Modelling of a Reservoir-Based Drug Delivery System for Customizable Release. Pharmaceutics 2022, 14, 777. [Google Scholar] [CrossRef]
- Kazsoki, A.; Palcsó, B.; Omer, S.M.; Kovacs, Z.; Zelkó, R. Formulation of Levocetirizine-Loaded Core-Shell Type Nanofibrous Orally Dissolving Webs as a Potential Alternative for Immediate Release Dosage Forms. Pharmaceutics 2022, 14, 1442. [Google Scholar] [CrossRef]
- Xua, H.; Zhang, F.; Wang, M.; Lv, H.; Yua, D.-G.; Liu, X.; Shen, H. Electrospun hierarchical structural films for effective wound healing. Biomater. Adv. 2022, 136, 212795. [Google Scholar] [CrossRef]








| Samples | Main Region of Decomposition (%) | Percentage of Mass Decomposition (%) | Tmax1 (°C) | Tmax2 (°C) | Tmax1 (°C) |
|---|---|---|---|---|---|
| PG | 90–500 | 77.00 | 323.24 | 393.52 | 532.21 |
| SCX4 | 420–500 | 21.90 | 50 | 461.28 | - |
| PGC-3 | 90–500 | 75.67 | 321.91 | 394.83 | 542.22 |
| PGC-5 | 90–500 | 73.96 | 336.42 | 393.98 | 544.60 |
| PGC-10 | 90–500 | 70.00 | 323.43 | 395.09 | 552.91 |
| PGC-15 | 90–500 | 67.61 | 333.38 | 396.15 | 560.25 |
Publisher’s Note: MDPI stays neutral with regard to jurisdictional claims in published maps and institutional affiliations. |
© 2022 by the authors. Licensee MDPI, Basel, Switzerland. This article is an open access article distributed under the terms and conditions of the Creative Commons Attribution (CC BY) license (https://creativecommons.org/licenses/by/4.0/).
Share and Cite
Abdul Khodir, W.K.W.; Abd Hamid, S.; Yusof, M.R.; Cruz-Maya, I.; Guarino, V. Electrospun Sulfonatocalix[4]arene Loaded Blended Nanofibers: Process Optimization and In Vitro Studies. Pharmaceutics 2022, 14, 1912. https://doi.org/10.3390/pharmaceutics14091912
Abdul Khodir WKW, Abd Hamid S, Yusof MR, Cruz-Maya I, Guarino V. Electrospun Sulfonatocalix[4]arene Loaded Blended Nanofibers: Process Optimization and In Vitro Studies. Pharmaceutics. 2022; 14(9):1912. https://doi.org/10.3390/pharmaceutics14091912
Chicago/Turabian StyleAbdul Khodir, Wan Khartini Wan, Shafida Abd Hamid, Mohd Reusmaazran Yusof, Iriczalli Cruz-Maya, and Vincenzo Guarino. 2022. "Electrospun Sulfonatocalix[4]arene Loaded Blended Nanofibers: Process Optimization and In Vitro Studies" Pharmaceutics 14, no. 9: 1912. https://doi.org/10.3390/pharmaceutics14091912
APA StyleAbdul Khodir, W. K. W., Abd Hamid, S., Yusof, M. R., Cruz-Maya, I., & Guarino, V. (2022). Electrospun Sulfonatocalix[4]arene Loaded Blended Nanofibers: Process Optimization and In Vitro Studies. Pharmaceutics, 14(9), 1912. https://doi.org/10.3390/pharmaceutics14091912

