Design, Synthesis, and Characterization of Novel Coordination Compounds of Benzimidazole Derivatives with Cadmium
Abstract
:1. Introduction
2. Materials and Methods
2.1. Materials and Analysis
2.2. Methods and Instruments
2.3. Statistical Analysis
2.4. ADME Analysis
3. Results and Discussion
3.1. Synthesis
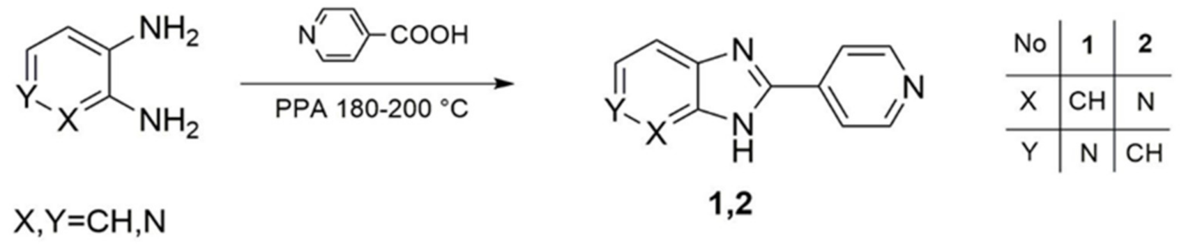
3.1.1. Ligand Synthesis
3.1.2. Complex Synthesis
3.2. FTIR Spectra
3.3. Thermal Study
3.4. MTT Cytotoxicity Assay
3.5. Antimicrobial Activity
3.6. ADME Analysis
4. Conclusions
Author Contributions
Funding
Institutional Review Board Statement
Informed Consent Statement
Data Availability Statement
Conflicts of Interest
References
- Kauffman, S. Homeostasis and Differentiation in Random Genetic Control Networks. Nature 1969, 224, 177–178. [Google Scholar] [CrossRef] [PubMed]
- Hanna, N.; Einhorn, L.H. Testicular cancer: A reflection on 50 years of discovery. J. Clin. Oncol. 2014, 32, 3085–3093. [Google Scholar] [CrossRef] [PubMed] [Green Version]
- Dasari, S.; Tchounwou, P.B. Cisplatin in cancer therapy: Molecular mechanisms of action. Eur. J. Pharmacol. 2014, 740, 364–378. [Google Scholar] [CrossRef] [PubMed] [Green Version]
- Cortez, A.J.; Tudrej, P.; Kujawa, K.A.; Lisowska, K.M. Advances in ovarian cancer therapy. Cancer Chemother. Pharmacol. 2018, 81, 17–38. [Google Scholar] [CrossRef] [Green Version]
- Jayson, G.C.; Kohn, E.C.; Kitchener, H.C.; Ledermann, J.A. Ovarian cancer. Lancet 2014, 384, 1376–1388. [Google Scholar] [CrossRef]
- Farooq, M.A.; Aquib, M.; Farooq, A.; Haleem Khan, D.; Joelle Maviah, M.B.; Sied Filli, M.; Kesse, S.; Boakye-Yiadom, K.O.; Mavlyanova, R.; Parveen, A.; et al. Recent progress in nanotechnology-based novel drug delivery systems in designing of cisplatin for cancer therapy: An overview. Artif. Cells Nanomed. Biotechnol. 2019, 47, 1674–1692. [Google Scholar] [CrossRef] [Green Version]
- Vermorken, J.B.; Mesia, R.; Rivera, F.; Remenar, E.; Kawecki, A.; Rottey, S.; Erfan, J.; Zabolotnyy, D.; Kienzer, H.-R.; Cupissol, D.; et al. Platinum-Based Chemotherapy plus Cetuximab in Head and Neck Cancer. N. Engl. J. Med. 2008, 359, 1116–1127. [Google Scholar] [CrossRef] [Green Version]
- Carbone, D.P.; Reck, M.; Paz-Ares, L.; Creelan, B.; Horn, L.; Steins, M.; Felip, E.; van den Heuvel, M.M.; Ciuleanu, T.-E.; Badin, F.; et al. First-Line Nivolumab in Stage IV or Recurrent Non–Small-Cell Lung Cancer. N. Engl. J. Med. 2017, 376, 2415–2426. [Google Scholar] [CrossRef]
- Mok, T.S.K.; Wu, Y.L.; Kudaba, I.; Kowalski, D.M.; Cho, B.C.; Turna, H.Z.; Castro, G.; Srimuninnimit, V.; Laktionov, K.K.; Bondarenko, I.; et al. Pembrolizumab versus chemotherapy for previously untreated, PD-L1-expressing, locally advanced or metastatic non-small-cell lung cancer (KEYNOTE-042): A randomised, open-label, controlled, phase 3 trial. Lancet 2019, 393, 1819–1830. [Google Scholar] [CrossRef]
- Farrell, N. Metal Complexes as Drugs and Chemotherapeutic Agents. Compr. Coord. Chem. II 2004, 9, 809–840. [Google Scholar] [CrossRef]
- Johnson, N.P.; Butour, J.-L.; Villani, G.; Wimmer, F.L.; Defais, M.; Pierson, V.; Brabec, V. Metal Antitumor Compounds: The Mechanism of Action of Platinum Complexes. Prog. Clin. Biochem. Med. 1989, 10, 1–24. [Google Scholar] [CrossRef]
- Cersosimo, R.J. Cisplatin neurotoxicity. Cancer Treat. Rev. 1989, 16, 195–211. [Google Scholar] [CrossRef]
- Leo, M.; Schmitt, L.I.; Erkel, M.; Melnikova, M.; Thomale, J.; Hagenacker, T. Cisplatin-induced neuropathic pain is mediated by upregulation of N-type voltage-gated calcium channels in dorsal root ganglion neurons. Exp. Neurol. 2017, 288, 62–74. [Google Scholar] [CrossRef]
- Chen, S.H.; Chang, J.Y. New insights into mechanisms of cisplatin resistance: From tumor cell to microenvironment. Int. J. Mol. Sci. 2019, 20, 4136. [Google Scholar] [CrossRef] [Green Version]
- Galluzzi, L.; Vitale, I.; Michels, J.; Brenner, C.; Szabadkai, G.; Harel-Bellan, A.; Castedo, M.; Kroemer, G. Systems biology of cisplatin resistance: Past, present and future. Cell Death Dis. 2014, 5, e1257. [Google Scholar] [CrossRef] [Green Version]
- Rocha, C.R.R.; Silva, M.M.; Quinet, A.; Cabral-Neto, J.B.; Menck, C.F.M. DNA repair pathways and cisplatin resistance: An intimate relationship. Clinics 2018, 73, e478s. [Google Scholar] [CrossRef]
- Alloway, B.J. Heavy Metals and Metalloids as Micronutrients for Plants and Animals. In Heavy Metals in Soils, Environmental Pollution; Springer Science & Business Media: Berlin/Heidelberg, Germany, 2013; pp. 195–209. [Google Scholar] [CrossRef]
- IARC. International Agency for Research on Cancer Evaluation of Carcinogenic. Glass 1993, 58, 119–130. [Google Scholar]
- Agency for Toxic Substances and Disease Registry Division of Toxicology and Human Health Sciences. Support Document to the 2019 Substance Priority List (Candidates for Toxicological Profiles); Agency for Toxic Substances and Disease Registry Division of Toxicology and Human Health Sciences of the U.S. Department of Health and Human Services: Washington, DC, USA, 2019; pp. 1–12. [Google Scholar]
- Panchsheela Ashok, U.; Prasad Kollur, S.; Prakash Arun, B.; Sanjay, C.; Shrikrishna Suresh, K.; Anil, N.; Vasant Baburao, H.; Markad, D.; Ortega Castro, J.; Frau, J.; et al. In vitro anticancer activity of 4(3H)-quinazolinone derived Schiff base and its Cu(II), Zn(II) and Cd(II) complexes: Preparation, X-ray structural, spectral characterization and theoretical investigations. Int. J. Inorg. Chem. 2020, 511, 119846. [Google Scholar] [CrossRef]
- Ye, C.H.; Chen, G.; Gong, Y.L. Two Heteroligand Cd(II)-coordination Polymers: Crystal Structures and Anti-Lung Cancer Activity Evaluation. Russ. J. Coord. Chem. Khimiya 2020, 46, 653–661. [Google Scholar] [CrossRef]
- Icsel, C.; Yilmaz, V.T.; Aydinlik, S.; Aygun, M. Zn(ii), Cd(ii) and Hg(ii) saccharinate complexes with 2,6-bis(2-benzimidazolyl)pyridine as promising anticancer agents in breast and lung cancer cell linesviaROS-induced apoptosis. Dalt. Trans. 2020, 49, 7842–7851. [Google Scholar] [CrossRef]
- Krasnovskaya, O.; Naumov, A.; Guk, D.; Gorelkin, P.; Erofeev, A.; Beloglazkina, E.; Majouga, A. Copper coordination compounds as biologically active agents. Int. J. Mol. Sci. 2020, 21, 3965. [Google Scholar] [CrossRef]
- Chen, Y.Q.; Tian, Y.; Yao, S.L.; Zhang, J.; Feng, R.Y.; Bian, Y.J.; Liu, S.J. CdII-Organic Frameworks Fabricated with a N-Rich Ligand and Flexible Dicarboxylates: Structural Diversity and Multi-Responsive Luminescent Sensing for Toxic Anions and Ethylenediamine. Chem.-An Asian J. 2019, 14, 4420–4428. [Google Scholar] [CrossRef]
- Dey, A.; Konavarapu, S.K.; Sasmal, H.S.; Biradha, K. Porous Coordination Polymers Containing Pyridine-3,5-Bis(5-azabenzimidazole): Exploration of Water Sorption, Selective Dye Adsorption, and Luminescent Properties. Cryst. Growth Des. 2016, 16, 5976–5984. [Google Scholar] [CrossRef]
- Dey, A.; Bairagi, D.; Biradha, K. MOFs with PCU Topology for the Inclusion of One-Dimensional Water Cages: Selective Sorption of Water Vapor, CO2, and Dyes and Luminescence Properties. Cryst. Growth Des. 2017, 17, 3885–3892. [Google Scholar] [CrossRef]
- Jin, X.; Chen, H.; Zhang, W.; Wang, B.; Shen, W.; Lu, H. A novel purine derivative-based colorimetric chemosensor for sequential detection of copper ion and sulfide anion. Appl. Organomet. Chem. 2018, 32, e4577. [Google Scholar] [CrossRef]
- Connell, T.U.; Schieber, C.; Silvestri, I.P.; White, J.M.; Williams, S.J.; Donnelly, P.S. Copper and silver complexes of tris(triazole)amine and tris(benzimidazole) amine ligands: Evidence that catalysis of an azide-alkyne cycloaddition (“click”) reaction by a silver tris(triazole)amine complex arises from copper impurities. Inorg. Chem. 2014, 53, 6503–6511. [Google Scholar] [CrossRef]
- Plumb, J.A. Cell sensitivity assays: Clonogenic assay. Methods Mol. Med. 2004, 88, 159–164. [Google Scholar] [CrossRef]
- Żesławska, E.; Korona-Głowniak, I.; Szczesio, M.; Olczak, A.; Żylewska, A.; Tejchman, W.; Malm, A. Structural analysis and antimicrobial activity of 2[1H]-pyrimidinethione/selenone derivatives. J. Mol. Struct. 2017, 1142, 261–266. [Google Scholar] [CrossRef]
- Girek, M.; Kłosiński, K.; Grobelski, B.; Pizzimenti, S.; Cucci, M.A.; Daga, M.; Barrera, G.; Pasieka, Z.; Czarnecka, K.; Szymański, P. Novel tetrahydroacridine derivatives with iodobenzoic moieties induce G0/G1 cell cycle arrest and apoptosis in A549 non-small lung cancer and HT-29 colorectal cancer cells. Mol. Cell. Biochem. 2019, 460, 123–150. [Google Scholar] [CrossRef] [Green Version]
- Daina, A.; Michielin, O.; Zoete, V. SwissADME: A free web tool to evaluate pharmacokinetics, drug-likeness and medicinal chemistry friendliness of small molecules. Sci. Rep. 2017, 7, 42717. [Google Scholar] [CrossRef] [Green Version]
- Daina, A.; Michielin, O.; Zoete, V. iLOGP: A Simple, Robust, and Efficient Description of n-Octanol/ Water Partition Coefficient for Drug Design Using the GB/SA Approach. J. Chem. Inf. Model. 2014, 54, 3284–3301. [Google Scholar] [CrossRef] [PubMed]
- Daina, A.; Zoete, V. A BOILED-Egg to Predict Gastrointestinal Absorption and Brain Penetration of Small Molecules. ChemMedChem 2016, 11, 1117–1121. [Google Scholar] [CrossRef] [PubMed] [Green Version]
- Banerjee, P.; Eckert, A.O.; Schrey, A.K.; Preissner, R. ProTox-II: A webserver for the prediction of toxicity of chemicals. Nucleic Acids Res. 2018, 46, W257–W263. [Google Scholar] [CrossRef] [PubMed] [Green Version]
- Raducka, A.; Czylkowska, A.; Gobis, K.; Czarnecka, K.; Szymański, P.; Świątkowski, M. Characterization of metal-bound benzimidazole derivatives, effects on tumor cells of lung cancer. Materials 2021, 14, 2958. [Google Scholar] [CrossRef] [PubMed]
- Kruszynski, R.; Sierański, T.; Świa̧tkowski, M.; Zielak, M.; Wojciechowski, J.; Dzierzawska, M.; Lewiński, B. On the coordination behavior of the hmta toward zinc and cadmium cations in presence of sulfate(VI) and nitrate(V) anions. J. Coord. Chem. 2014, 67, 1332–1352. [Google Scholar] [CrossRef]
- Gu, J.; Wan, S.; Kirillova, M.; Kirillov, A. H-bonded and metal(II)-organic architectures assembled from an unexplored aromatic tricarboxylic acid: Structural variety and functional properties. Dalt. Trans. 2020, 49, 7197–7209. [Google Scholar] [CrossRef] [PubMed]
- Rosenstock, H.M.; Stockbauer, R.; Parr, C. Unimolecular kinetics of pyridine ion fragmentation. Int. J. Mass Spectrom. Ion Phys. 1981, 38, 323–331. [Google Scholar] [CrossRef]
- Lide, D.R. Standard density of water. In CRC Handbook of Chemistry and Physics, Internet Version 2007, 87th ed.; Taylor and Francis: Boca Raton, FL, USA, 2007; pp. 1–2317. [Google Scholar]
- Kruszynski, R. Synthesis of coordination compounds via dehalogenation of zinc bromoacetate in presence of some amines. Int. J. Inorg. Chem. 2011, 371, 111–123. [Google Scholar] [CrossRef]
- Lipinski, C.A.; Lombardo, F.; Dominy, B.W.; Feeney, P.J. Experimental and computational approaches to estimate solubility and permeability in drug discovery and development settings. Adv. Drug Deliv. Rev. 2012, 64, 4–17. [Google Scholar] [CrossRef]
- Ghose, A.K.; Viswanadhan, V.N.; Wendoloski, J.J. A knowledge-based approach in designing combinatorial or medicinal chemistry libraries for drug discovery. 1. A qualitative and quantitative characterization of known drug databases. J. Comb. Chem. 1999, 1, 55–68. [Google Scholar] [CrossRef]
- Egan, W.J.; Merz, K.M.; Baldwin, J.J. Prediction of drug absorption using multivariate statistics. J. Med. Chem. 2000, 43, 3867–3877. [Google Scholar] [CrossRef]
- Veber, D.F.; Johnson, S.R.; Cheng, H.Y.; Smith, B.R.; Ward, K.W.; Kopple, K.D. Molecular properties that influence the oral bioavailability of drug candidates. J. Med. Chem. 2002, 45, 2615–2623. [Google Scholar] [CrossRef]
- Muegge, I.; Heald, S.L.; Brittelli, D. Simple selection criteria for drug-like chemical matter. J. Med. Chem. 2001, 44, 1841–1846. [Google Scholar] [CrossRef]
- Raducka, A.; Świątkowski, M.; Korona-Głowniak, I.; Kaproń, B.; Plech, T.; Szczesio, M.; Gobis, K.; Szynkowska-Jóźwik, M.I.; Czylkowska, A. Zinc Coordination Compounds with Benzimidazole Derivatives: Synthesis, Structure, Antimicrobial Activity and Potential Anticancer Application. Int. J. Mol. Sci. 2022, 23, 6595. [Google Scholar] [CrossRef]











| C1 | C2 | C3 | C4 | |
|---|---|---|---|---|
| I stage | 35–220 °C 3.7% | 35–220 °C 4.1% | 35–180 °C 7.3% | 35–185 °C 8.6% |
| II stage | 430–760 °C 88.8% | 360–475 °C 26.8% | 265–465 °C 27.6% | 320–453 °C 14.6% |
| III stage | 475–705 °C 58.5% | 465–715 °C 60.2% | 460–775 °C 76.8% | |
| Residual mass | 7.5% | 10.6% | 4.9% | - |
| IC50 ± SD [µM] | ||||
|---|---|---|---|---|
| Complex | T98G | SK-N-AS | A549 | CCD-1059-Sk |
| L1 | 210 ± 12 | >509 | >509 | >509 |
| C1 | Not determined due to low solubility in culture medium | |||
| L2 | 178.3 ± 7.3 | 415 ± 17 | 220 ± 11 | >509 |
| C2 | 65.25 ± 0.63 | 22.5 ± 2.3 | 34.13 ± 0.55 | 44.07 ± 0.33 |
| L3 | >509 | >509 | >509 | >509 |
| C3 | 55.7 ± 2.5 | 34.53 ± 0.41 | 47.2 ± 2.1 | 40.38 ± 0.41 |
| L4 | >362 | >362 | >362 | >362 |
| C4 | 42.53 ± 0.96 | 25.3 ± 1.0 | 37.3 ± 2.1 | 27.66 ± 0.90 |
| Etoposide | >170 | 115.3 ± 3.5 | >170 | >170 |
| Chemicals | L1 | C1 | L2 | C2 | L3 | C3 | L4 | C4 | Ref Drugs | |
|---|---|---|---|---|---|---|---|---|---|---|
| Microorganism | MIC (mg/L) | |||||||||
| Gram-positive bacteria | Van | |||||||||
| S. aureus ATCC 25923 | >1000 | 500 | 1000 | 1000 | >1000 | 1000 | >1000 | 1000 | 0.98 | |
| S. epidermidis ATCC 12228 | >1000 | 250 | 1000 | 500 | >1000 | 1000 | 1000 | 250 | 0.98 | |
| M. luteus ATCC 10240 | 500 | 7.8 | 250 | 7.8 | 500 | 7.8 | >1000 | 7.8 | 0.12 | |
| E. faecalis ATCC 29212 | >1000 | 125 | 1000 | 125 | >1000 | >1000 | 1000 | 250 | 1.95 | |
| B. subtilis ATCC 6633 | >1000 | 7.8 | 500 | 0.98 | 1000 | 7.8 | 1000 | 7.8 | 0.24 | |
| B. cereus ATCC 10876 | >1000 | 500 | 250 | 500 | 1000 | >1000 | 1000 | 250 | 0.98 | |
| Gram-negative bacteria | Cip | |||||||||
| S. typhimurium ATCC 14028 | >1000 | 1000 | 1000 | >1000 | >1000 | 125 | >1000 | 1000 | 0.061 | |
| E. coli ATCC 25922 | >1000 | 1000 | 1000 | 1000 | >1000 | 125 | >1000 | 500 | 0.015 | |
| P. mirabilis ATCC 12453 | >1000 | 1000 | 1000 | >1000 | >1000 | 31.3 | >1000 | 1000 | 0.03 | |
| K. pneumoniae ATCC 13883 | >1000 | 1000 | >1000 | >1000 | >1000 | 250 | >1000 | 1000 | 0.12 | |
| P. aeruginosa ATCC 9027 | >1000 | >1000 | >1000 | >1000 | >1000 | 125 | >1000 | >1000 | 0.49 | |
| Yeasts | Nys | |||||||||
| C. glabrata ATCC 2091 | >1000 | 62.5 | >1000 | 31.3 | >1000 | 31.3 | >1000 | 31.3 | 0.48 | |
| C. albicans ATCC 102231 | >1000 | 500 | 1000 | 125 | >1000 | 125 | 500 | 125 | 0.24 | |
| C. parapsilosis ATCC 22019 | >1000 | 15.6 | >1000 | 7.8 | 1000 | 15.6 | 1000 | 7.8 | 0.24 | |
Publisher’s Note: MDPI stays neutral with regard to jurisdictional claims in published maps and institutional affiliations. |
© 2022 by the authors. Licensee MDPI, Basel, Switzerland. This article is an open access article distributed under the terms and conditions of the Creative Commons Attribution (CC BY) license (https://creativecommons.org/licenses/by/4.0/).
Share and Cite
Raducka, A.; Świątkowski, M.; Korona-Głowniak, I.; Kaproń, B.; Plech, T.; Szczesio, M.; Gobis, K.; Czylkowska, A. Design, Synthesis, and Characterization of Novel Coordination Compounds of Benzimidazole Derivatives with Cadmium. Pharmaceutics 2022, 14, 1626. https://doi.org/10.3390/pharmaceutics14081626
Raducka A, Świątkowski M, Korona-Głowniak I, Kaproń B, Plech T, Szczesio M, Gobis K, Czylkowska A. Design, Synthesis, and Characterization of Novel Coordination Compounds of Benzimidazole Derivatives with Cadmium. Pharmaceutics. 2022; 14(8):1626. https://doi.org/10.3390/pharmaceutics14081626
Chicago/Turabian StyleRaducka, Anita, Marcin Świątkowski, Izabela Korona-Głowniak, Barbara Kaproń, Tomasz Plech, Małgorzata Szczesio, Katarzyna Gobis, and Agnieszka Czylkowska. 2022. "Design, Synthesis, and Characterization of Novel Coordination Compounds of Benzimidazole Derivatives with Cadmium" Pharmaceutics 14, no. 8: 1626. https://doi.org/10.3390/pharmaceutics14081626
APA StyleRaducka, A., Świątkowski, M., Korona-Głowniak, I., Kaproń, B., Plech, T., Szczesio, M., Gobis, K., & Czylkowska, A. (2022). Design, Synthesis, and Characterization of Novel Coordination Compounds of Benzimidazole Derivatives with Cadmium. Pharmaceutics, 14(8), 1626. https://doi.org/10.3390/pharmaceutics14081626

