Stereomicroscope with Imaging Analysis: A Versatile Tool for Wetting, Gel Formation and Erosion Rate Determinations of Eutectic Effervescent Tablet
Abstract
1. Introduction
2. Materials and Methods
2.1. Materials
2.2. Preparation of Eutectic Effervescent Tablets
2.3. Evaluation of Eutectic Effervescent Tablets
2.3.1. Investigation of Wetting, Gel Formation and Erosion Properties
2.3.2. In Vitro Disintegration Study of Eutectic Effervescent Tablets
2.3.3. In Vitro Drug Release Study of Eutectic Effervescent Tablets in 0.1 N HCl Buffer and Kinetic Parameters
3. Results and Discussion
3.1. Morphological Changes in Eutectic Effervescent Tablets under Stereomicroscope
3.2. Rate of Wetting, Gel Formation and Erosion of Eutectic Effervescent Tablets
3.3. In Vitro Disintegration of Eutectic Effervescent Tablets
3.4. In Vitro Drug Release of Eutectic Effervescent Tablet in 0.1 N HCl Buffer and Kinetic Parameters
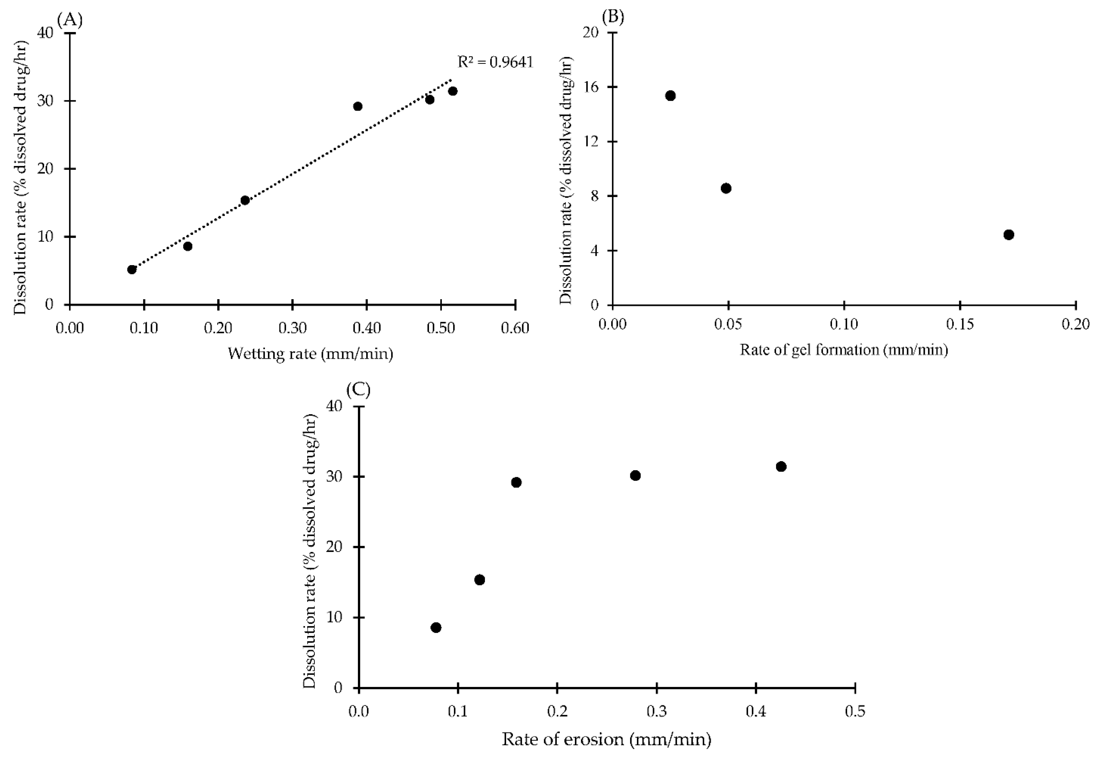
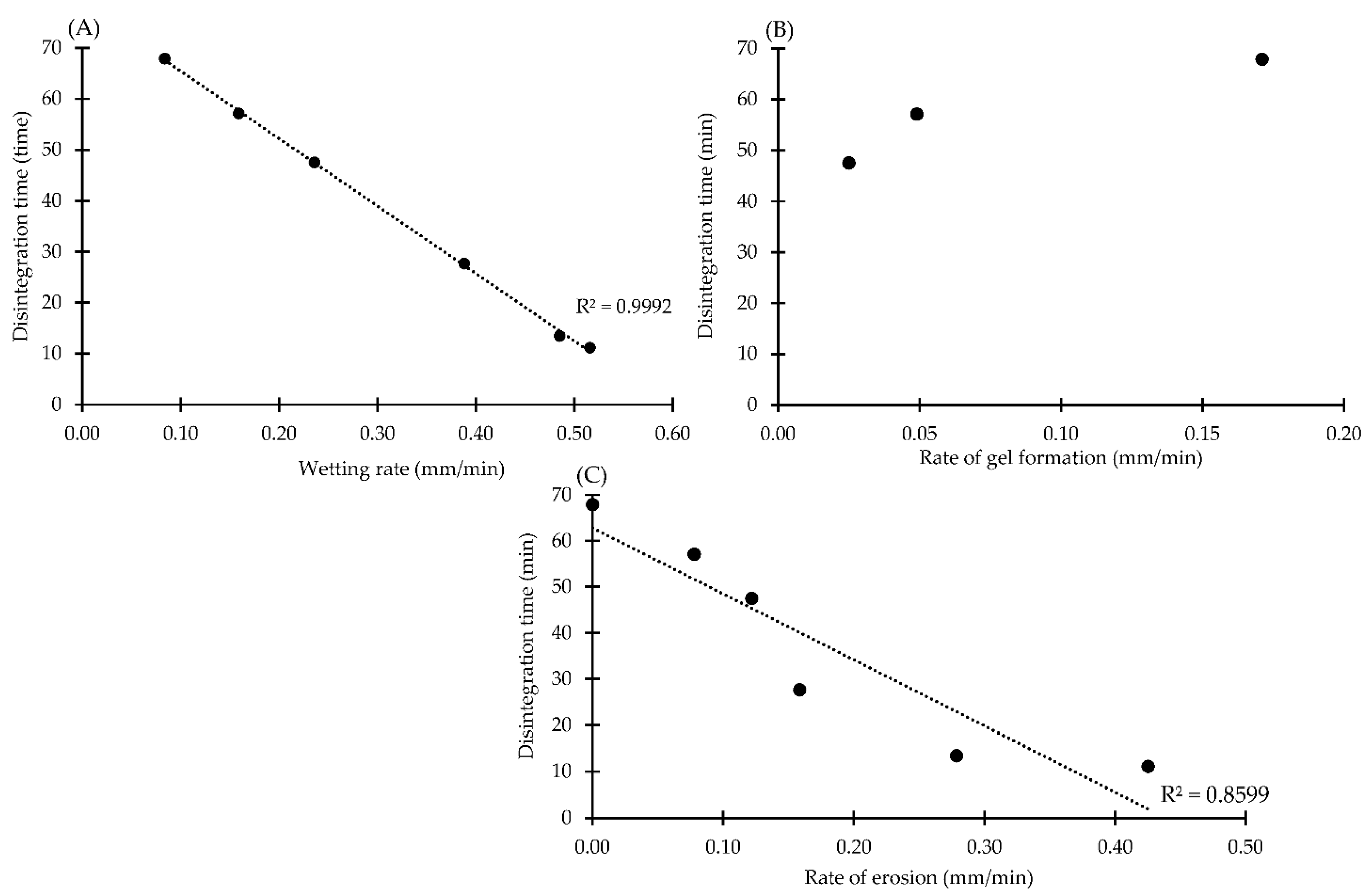
3.5. Correlation between Rate of Wetting, Gel Formation and Erosion with Disintegration and Dissolution Parameters
4. Conclusions
Author Contributions
Funding
Data Availability Statement
Acknowledgments
Conflicts of Interest
References
- Fuhrmann, K.; Fuhrmann, G. Recent advances in oral delivery of macromolecular drugs and benefits of polymer conjugation. Curr. Opin. Colloid Interface Sci. 2017, 31, 67–74. [Google Scholar] [CrossRef]
- Zhou, Z.; Dunn, C.; Khadra, I.; Wilson, C.G.; Halbert, G.W. Statistical investigation of simulated fed intestinal media composition on the equilibrium solubility of oral drugs. Eur. J. Pharm. Sci. 2017, 99, 95–104. [Google Scholar] [CrossRef] [PubMed]
- Advankar, A.; Maheshwari, R.; Tambe, V.; Todke, P.; Raval, N.; Kapoor, D.; Tekade, R.K. Specialized tablets: Ancient history to modern developments. In Drug Delivery Systems A Volume in Advances in Pharmaceutical Product Development and Research, 1st ed.; Tekade, R.K., Ed.; Academic Press: Cambridge, MA, USA, 2019; pp. 615–664. [Google Scholar] [CrossRef]
- Labib, G.S. Novel levocetirizine HCl tablets with enhanced palatability: Synergistic effect of combining taste modifiers and effervescence technique. Drug Des. Devel. Ther. 2015, 9, 5135–5146. [Google Scholar] [CrossRef] [PubMed]
- Rotthauser, B.; Kraus, G.; Schmidt, P.C. Optimization of an effervescent tablet formulation containing spray dried L-leucine and polyethylene glycol 6000 as lubricants using a central composite design. Eur. J. Pharm. Biopharm. 1998, 46, 85–94. [Google Scholar] [CrossRef]
- Pabari, R.M.; Ramtoola, Z. Effect of a disintegration mechanism on wetting, water absorption, and disintegration time of orodispersible tablets. J. Young Pharm. 2012, 4, 157–163. [Google Scholar] [CrossRef] [PubMed]
- Deb, P.K.; Al-Attraqchi, O.; Jaber, A.Y.; Amarji, B.; Tekade, R.K. Physicochemical aspects to be considered in pharmaceutical product development. In Dosage Form Design Considerations, 1st ed.; Takade, R.K., Ed.; Academic Press: London, UK, 2018; pp. 57–83. [Google Scholar] [CrossRef]
- Benjamin, B.; Barman, T.K.; Chaira, T.; Paliwal, J.K. Integration of physicochemical and pharmacokinetic parameters in lead optimization: A physiological pharmacokinetic model based approach. Curr. Drug Discov. Technol. 2010, 7, 143–155. [Google Scholar] [CrossRef] [PubMed]
- Zhang, D.; Flory, J.H.; Panmai, S.; Batra, U.; Kaufman, M.J. Wettability of pharmaceutical solids: Its measurement and influence on wet granulation. Colloids Surf. A Physicochem. Eng. Asp. 2002, 206, 547–554. [Google Scholar] [CrossRef]
- Holm, R.B. Investigation of surface porosity measurements and compaction pressure as means to ensure consistent contact angle determinations. Int. J. Pharm. 2016, 498, 355–361. [Google Scholar] [CrossRef] [PubMed][Green Version]
- Heertjes, P.M.; Kossen, N.W.F. Measuring the contact angles of powder-liquid systems. Powder Technol. 1967, 1, 33–42. [Google Scholar] [CrossRef]
- Diao, J.; Fuerstenau, D.W. Characterization of the wettability of solid particles by film flotation 2. Theoretical analysis. Colloids Surf. 1991, 60, 145–160. [Google Scholar] [CrossRef]
- Sheridan, P.L.; Buckton, G.; Storey, D.E. Development of a flow microcalorimetry method for the assessment of surface properties of powders. Pharm. Res. 1995, 12, 1025–1030. [Google Scholar] [CrossRef]
- Feeley, J.C.; York, P.; Sumby, B.S.; Dicks, H. Determination of surface properties and flow characteristics of salbutamol sulphate, before and after micronization. Int. J. Pharm. 1998, 172, 89–96. [Google Scholar] [CrossRef]
- Pepin, X.; Blanchon, S.; Couarraze, G. Powder dynamic contact angle measurements: Young contact angles and effectively wet perimeters. Powder Technol. 1998, 99, 264–271. [Google Scholar] [CrossRef]
- Markl, D.; Zeitler, J.A. A review of disintegration mechanisms and measurement techniques. Pharm. Res. 2017, 34, 890–917. [Google Scholar] [CrossRef]
- Sriamornsak, P.; Thirawong, N.; Weerapol, Y.; Nunthanid, J.; Sungthongjeen, S. Swelling and erosion of pectin matrix tablets and their impact on drug release behavior. Eur. J. Pharm. Biopharm. 2007, 67, 211–219. [Google Scholar] [CrossRef]
- Huanbutta, K.; Terada, K.; Sriamornsak, P.; Nunthanid, J. Advanced technologies for assessment of polymer swelling and erosion behaviors in pharmaceutical aspect. Eur. J. Pharm. Biopharm. 2013, 83, 315–321. [Google Scholar] [CrossRef]
- Kou, J.H.; Fleisher, D.; Amidon, G.L. Modeling drug release from dynamically swelling poly(hydroxyethyl methacrylate-co-methacrylic acid) hydrogels. J. Control. Release 1990, 12, 241–250. [Google Scholar] [CrossRef]
- Colombo, P.; Bettini, R.; Santi, P.; Peppas, N.A. Swellable matrices for controlled drug delivery: Gel-layer behaviour, mechanisms and optimal performance. Pharm. Sci. Technol. Today 2000, 3, 198–204. [Google Scholar] [CrossRef]
- Viridén, A.; Wittgren, B.; Larsson, A. Investigation of critical polymer properties for polymer release and swelling of HPMC matrix tablets. Eur. J. Pharm. Sci. 2009, 36, 297–309. [Google Scholar] [CrossRef]
- Laity, P.R.; Cameron, R.E. Synchrotron X-ray microtomographic study of tablet swelling. Eur. J. Pharm. Biopharm. 2010, 75, 263–276. [Google Scholar] [CrossRef]
- Huanbutta, K.; Sriamornsak, P.; Limmatvapirat, S.; Luangtana-anan, M.; Yoshihashi, Y.; Yonemochi, E.; Terada, K.; Nunthanid, J. Swelling kinetics of spray-dried chitosan acetate assessed by magnetic resonance imaging and their relation to drug release kinetics of chitosan matrix tablets. Eur. J. Pharm. Biopharm. 2011, 77, 320–326. [Google Scholar] [CrossRef]
- Bajaj, P.; Guise, O. Particle size and shape of polytetrafluoroethylene (PTFE) powders using static and dynamic image analysis. Microsc. Microanal. 2012, 18, 1244–1245. [Google Scholar] [CrossRef]
- Farkas, D.; Madarász, L.; Nagy, Z.K.; Antal, I.; Kállai-Szabó, N. Image analysis: A versatile tool in the manufacturing and quality control of pharmaceutical dosage forms. Pharmaceutics 2021, 13, 685. [Google Scholar] [CrossRef]
- Moussa, I.S.; Cartilier, L.H. Characterization of moving fronts in cross-linked amylose matrices by image analysis. J. Controll. Release 1996, 42, 47–55. [Google Scholar] [CrossRef]
- Chirico, S.; Dalmoro, A.; Lamberti, G.; Russo, G.; Titomanlio, G. Analysis and modeling of swelling and erosion behavior for pure HPMC Tablet. J. Controll. Release 2007, 122, 181–188. [Google Scholar] [CrossRef]
- Berardi, A.; Bisharat, L.; Blaibleh, A.; Pavoni, L.; Cespi, M. A simple and inexpensive image analysis technique to study the effect of disintegrants concentration and diluents type on disintegration. J. Pharm. Sci. 2018, 107, 2643–2652. [Google Scholar] [CrossRef]
- Yang, Y.; Zheng, N.; Wang, X.; Ivone, R.; Shan, W.; Shen, J. Rapid preparation of spherical granules via the melt centrifugal atomization technique. Pharmaceutics 2019, 11, 198. [Google Scholar] [CrossRef]
- Roy, G.; Galigama, R.D.; Thorat, V.S.; Garg, P.; Venuganti, V.V.K. Microneedle ocular patch: Fabrication, characterization and ex-vivo evaluation using pilocarpine as model drug. Drug Dev. Ind. Pharm. 2020, 46, 1114–1122. [Google Scholar] [CrossRef] [PubMed]
- Krishnaiah, Y.S.R.; Katragadda, U.; Khan, M. Stereomicroscopic imaging technique for the quantification of cold flow in drug-in-adhesive type of transdermal drug delivery systems. J. Pharm. Sci. 2014, 103, 1433–1442. [Google Scholar] [CrossRef] [PubMed]
- Dugar, R.P.; Gajera, B.Y.; Dave, R.H. Fusion method for solubility and dissolution rate enhancement of ibuprofen using block copolymer poloxamer 407. AAPS PharmSciTech 2016, 17, 1428–1440. [Google Scholar] [CrossRef] [PubMed]
- United States Pharmacopeial Convention. <701> Disintegration. In United States Pharmacopeia and National Formulary (USP 43-NF 8); United States Pharmacopeial Convention: Rockville, MD, USA, 2019. [Google Scholar]
- United States Pharmacopeial Convention. <711> Dissolution. In United States Pharmacopeia and National Formulary (USP 43-NF 8); United States Pharmacopeial Convention: Rockville, MD, USA, 2019. [Google Scholar]
- Zhang, Y.; Huo, M.; Zhou, J.; Zou, A.; Li, W.; Yao, C.; Xie, S. DDSolver: An add-in program for modeling and comparison of drug dissolution profiles. AAPS J. 2010, 12, 263–271. [Google Scholar] [CrossRef]
- Potthast, H.; Dressman, J.B.; Junginger, H.E.; Midha, K.K.; Oeser, H.; Shah, V.P. Biowaiver monographs for immediate release solid oral dosage forms: Ibuprofen. J. Pharm. Sci. 2005, 94, 2122–2131. [Google Scholar] [CrossRef]
- Ali, W.; Williams, A.C.; Rawlinson, C.F. Stochiometrically governed molecular interactions in drug: Poloxamer solid dispersions. Int. J. Pharm. 2010, 391, 162–168. [Google Scholar] [CrossRef]
- Cherukuvada, S.; Nangia, A. Eutectics as improved pharmaceutical materials: Design, properties and characterization. Chem. Commun. 2014, 50, 906–923. [Google Scholar] [CrossRef]
- Shimada, Y.; Tateuchi, R.; Chatani, H.; Goto, S. Mechanisms underlying changes in indomethacin solubility with local anesthetics and related basic additives. J. Mol. Struct. 2018, 1155, 165–170. [Google Scholar] [CrossRef]
- Jannin, V.; Pochard, E.; Chambin, O. Influence of poloxamers on the dissolution performance and stability of controlled-release formulations containing Precirol® ATO 5. Int. J. Pharm. 2006, 309, 6–15. [Google Scholar] [CrossRef]
- Stepanek, F.; Loo, A.; Lim, T.S. Multiscale modelling methodology for virtual prototyping of effervescent tablets. J. Pharm. Sci. 2006, 95, 1614–1625. [Google Scholar] [CrossRef]
- Cristofoletti, R.; Dressman, J.B. Dissolution methods to increasing discriminatory power of in vitro dissolution testing for ibuprofen free acid and its salts. J. Pharm. Sci. 2017, 106, 92–99. [Google Scholar] [CrossRef]
- Lu, Y.; Tang, N.; Lian, R.; Qi, J.; Wu, W. Understanding the relationship between wettability and dissolution of solid dispersion. Int. J. Pharm. 2014, 465, 25–31. [Google Scholar] [CrossRef]
- Kim, K.T.; Lee, J.Y.; Lee, M.Y.; Song, C.K.; Choi, J.; Kim, D.D. Solid dispersions as a drug delivery system. J. Pharm. Investig. 2011, 41, 125–142. [Google Scholar] [CrossRef]
- Prabhu, P.; Patravale, V. Dissolution enhancement of atorvastatin calcium by co-grinding technique. Drug Deliv. Transl. Res. 2016, 6, 380–391. [Google Scholar] [CrossRef]
- Łyszczarz, E.; Hofmanová, J.; Szafraniec-Szczęsny, J.; Jachowicz, R. Orodispersible films containing ball milled aripiprazole-poloxamer® 407 solid dispersions. Int. J. Pharm. 2020, 575, 118955. [Google Scholar] [CrossRef]
- Szafraniec, J.; Antosik, A.; Knapik-Kowalczuk, J.; Chmiel, K.; Kurek, M.; Gawlak, K.; Odrobińska, J.; Paluch, M.; Paluch, M. The self-assembly phenomenon of poloxamers and its effect on the dissolution of a poorly soluble drug from solid dispersions obtained by solvent methods. Pharmaceutics 2019, 11, 130. [Google Scholar] [CrossRef]
- Desai, P.M.; Liew, C.V.; Heng, P.W.S. Review of disintegrants and the disintegration phenomena. J. Pharm. Sci. 2016, 105, 2545–2555. [Google Scholar] [CrossRef]
- Late, S.G.; Banga, A.K. Response surface methodology to optimize ovel fast disintegrating tablets using β cyclodextrin as diluent. AAPS PharmSciTech 2010, 11, 1627–1635. [Google Scholar] [CrossRef]
- Berardi, A.; Bisharat, L.; Quodbach, J.; Rahim, S.A.; Perinelli, D.R.; Cespi, M. Advancing the understanding of the tablet disintegration phenomenon–An update on recent studies. Int. J. Pharm. 2021, 598, 120390. [Google Scholar] [CrossRef]
- Gupta, A.; Hunt, R.L.; Shah, R.B.; Sayeed, V.A.; Khan, M.A. Disintegration of highly soluble immediate release tablets: A surrogate for dissolution. AAPS PharmSciTech 2009, 10, 495–499. [Google Scholar] [CrossRef]
- Fouad, S.A.; Malaak, F.A.; El-Nabarawi, M.A.; Zeid, K.A. Development of orally disintegrating tablets containing solid dispersion of a poorly soluble drug for enhanced dissolution: In-vitro optimization/in-vivo evaluation. PLoS ONE 2020, 15, e0244646. [Google Scholar] [CrossRef]
- Andhariya, J.V.; Jog, R.; Shen, J.; Choi, S.; Wang, Y.; Zou, Y.; Burgess, D.J. In vitro-in vivo correlation of parenteral PLGA microspheres: Effect of variable burst release. J. Control. Release 2019, 314, 25–37. [Google Scholar] [CrossRef]
- Chung, C.K.; Garcia-Couce, J.; Campos, Y.; Kralish, D.; Bierau, K.; Chan, A.; Ossendorp, F.; Cruz, L.J. Doxorubicin loaded poloxamer thermosensitive hydrogels: Chemical, pharmacological and biological evaluation. Molecules 2020, 25, 2219. [Google Scholar] [CrossRef]
- Bruschi, M.L. Mathematical models of drug release. In Strategies to Modify the Drug Release from Pharmaceutical Systems, 1st ed.; Bruschi, M.L., Ed.; Woodhead Publishing: Sawston, UK, 2015; pp. 63–86. [Google Scholar] [CrossRef]
- Kalný, M.; Grof, Z.; Štěpánek, F. Microstructure based simulation of the disintegration and dissolution of immediate release pharmaceutical tablets. Powder Technol. 2021, 377, 257–268. [Google Scholar] [CrossRef]
- Dvořák, J.; Tomas, J.; Lizoňová, D.; Schöngut, M.; Dammer, O.; Pekárek, T. Investigation of tablet disintegration pathways by the combined use of magnetic resonance imaging, texture analysis and static light scattering. Int. J. Pharm. 2020, 587, 119719. [Google Scholar] [CrossRef] [PubMed]
- Park, C.; Lee, J.H.; Jin, G.; Ngo, H.V.; Park, J.B.; Tran, T.T.D.; Tran, P.H.L.; Lee, B.J. Release kinetics of hydroxypropyl methylcellulose governing drug release and hydrodynamic changes of matrix tablet. Curr. Drug Deliv. 2022, 19, 520–533. [Google Scholar] [CrossRef] [PubMed]
- Quodbach, J.; Kleinebudde, P. A critical review on tablet disintegration. Pharm. Dev. Technol. 2015, 21, 763–774. [Google Scholar] [CrossRef]
- Zuo, J.Y.; Park, C.; Doschak, M.; Löbenberg, R. Are the release characteristics of Erzhi pills in line with traditional Chinese medicine theory? A quantitative study. J. Integr. Med. 2021, 19, 50–55. [Google Scholar] [CrossRef]










| Compositions (%w/w) | Formulation | ||||||
|---|---|---|---|---|---|---|---|
| IBU | IP | IP5E | IP10E | IP20E | IP25E | IP30E | |
| Ibuprofen | 100.00 | 40.00 | 34.00 | 32.00 | 28.00 | 26.00 | 24.00 |
| Poloxamer 407 (P407) | - | 60.00 | 51.00 | 48.00 | 42.00 | 39.00 | 36.00 |
| Sodium bicarbonate | - | - | 2.83 | 5.65 | 11.30 | 14.13 | 16.96 |
| Citric acid anhydrous | - | - | 2.17 | 4.35 | 8.70 | 10.87 | 13.04 |
| MCC PH101 | - | - | 10.00 | 10.00 | 10.00 | 10.00 | 10.00 |
| Total | 100.00 | 100.00 | 100.00 | 100.00 | 100.00 | 100.00 | 100.00 |
| Formulation | Wetting Rate (n = 5) (mm/min) | Gel FormationRate (n = 5) (mm/min) | Erosion Rate (n = 5) (mm/min) | |||
|---|---|---|---|---|---|---|
| Distilled Water | 0.1 N HCl Buffer | Distilled Water | 0.1 N HCl Buffer | Distilled Water | 0.1 N HCl Buffer | |
| IBU | 0.201 ± 0.025 | 0.000 ± 0.000 | 0.000 ± 0.000 | 0.000 ± 0.000 | 0.000 ± 0.000 | 0.000 ± 0.000 |
| IP | 0.515 ± 0.017 | 0.084 ± 0.005 | 0.184 ± 0.008 | 0.171 ± 0.004 | 0.000 ± 0.000 | 0.000 ± 0.000 |
| IP5E | 0.682 ± 0.122 | 0.159 ± 0.083 | 0.053 ± 0.004 | 0.049 ± 0.004 | 0.072 ± 0.011 | 0.058 ± 0.009 |
| IP10E | 0.823 ± 0.164 | 0.236 ± 0.091 | 0.035 ± 0.002 | 0.025 ± 0.007 | 0.153 ± 0.063 | 0.118 ± 0.044 |
| IP20E | 1.407 ± 0.201 | 0.388 ± 0.143 | ND | ND | 0.216 ± 0.070 | 0.194 ± 0.068 |
| IP25E | 1.420 ± 0.332 | 0.485 ± 0.148 | ND | ND | 0.242 ± 0.069 | 0.283 ± 0.055 |
| IP30E | 1.459 ± 0.311 | 0.516 ± 0.187 | ND | ND | 0.301 ± 0.084 | 0.375 ± 0.092 |
| Formulation | Kinetic Modeling | Criteria for Model Selection | Kinetic Parameters | ||||
|---|---|---|---|---|---|---|---|
| R2 | AIC | MSC | |||||
| IBU | F0 modified Korsmeyer–Peppas | 0.9883 | −30.5054 | 4.0201 | KKP = 0.1326 | n = 0.8168 | F0 = 0.0000 |
| Peppas–Sahlin | 0.9926 | −35.5699 | 4.4805 | k1 = −0.2924 | k2 = 0.3694 | m = 0.3023 | |
| IP | F0 modified Korsmeyer–Peppas | 0.9137 | 54.3542 | 1.8752 | KKP = 7.5186 | n = 0.4476 | F0 = 0.0000 |
| Peppas–Sahlin | 0.9841 | 35.4159 | 3.5978 | k1 = 5.1761 | k2 = −0.2349 | m = 0.8300 | |
| IP5E | F0 modified Korsmeyer–Peppas | 0.8517 | 62.8388 | 1.2833 | KKP = 10.8410 | n = 0.3659 | F0 = 0.0000 |
| Peppas–Sahlin | 0.9593 | 48.5215 | 2.5848 | k1 = 8.5832 | k2 = −0.5887 | m = 0.7207 | |
| IP10E | F0 modified Korsmeyer–Peppas | 0.8072 | 64.8453 | 0.8465 | KKP = 16.0896 | n = 0.2479 | F0 = 0.0000 |
| Peppas–Sahlin | 0.9472 | 50.4698 | 2.1534 | k1 = 15.3681 | k2 = −1.7729 | m = 0.5647 | |
| IP20E | F0 modified Korsmeyer–Peppas | 0.8979 | 55.0850 | 0.8593 | KKP = 23.6146 | n = 0.1225 | F0 = 0.0000 |
| Peppas–Sahlin | 0.9385 | 49.5094 | 1.3662 | k1 = 29.2022 | k2 = −6.4220 | m = 0.3129 | |
| IP25E | F0 modified Korsmeyer–Peppas | 0.8609 | 61.5988 | 0.7086 | KKP = 25.5091 | n = 0.1369 | F0 = 0.0000 |
| Peppas–Sahlin | 0.9299 | 53.6240 | 1.4336 | k1 = 30.1941 | k2 = −6.0546 | m = 0.3633 | |
| IP30E | F0 modified Korsmeyer–Peppas | 0.9956 | 20.4575 | 3.8429 | KKP = 26.2569 | n = 0.1183 | F0 = 0.0000 |
| Peppas–Sahlin | 0.9973 | 16.1655 | 4.2330 | k1 = 31.4441 | k2 = −5.3375 | m = 0.1751 | |
Publisher’s Note: MDPI stays neutral with regard to jurisdictional claims in published maps and institutional affiliations. |
© 2022 by the authors. Licensee MDPI, Basel, Switzerland. This article is an open access article distributed under the terms and conditions of the Creative Commons Attribution (CC BY) license (https://creativecommons.org/licenses/by/4.0/).
Share and Cite
Chaiya, P.; Okonogi, S.; Phaechamud, T. Stereomicroscope with Imaging Analysis: A Versatile Tool for Wetting, Gel Formation and Erosion Rate Determinations of Eutectic Effervescent Tablet. Pharmaceutics 2022, 14, 1280. https://doi.org/10.3390/pharmaceutics14061280
Chaiya P, Okonogi S, Phaechamud T. Stereomicroscope with Imaging Analysis: A Versatile Tool for Wetting, Gel Formation and Erosion Rate Determinations of Eutectic Effervescent Tablet. Pharmaceutics. 2022; 14(6):1280. https://doi.org/10.3390/pharmaceutics14061280
Chicago/Turabian StyleChaiya, Pornsit, Siriporn Okonogi, and Thawatchai Phaechamud. 2022. "Stereomicroscope with Imaging Analysis: A Versatile Tool for Wetting, Gel Formation and Erosion Rate Determinations of Eutectic Effervescent Tablet" Pharmaceutics 14, no. 6: 1280. https://doi.org/10.3390/pharmaceutics14061280
APA StyleChaiya, P., Okonogi, S., & Phaechamud, T. (2022). Stereomicroscope with Imaging Analysis: A Versatile Tool for Wetting, Gel Formation and Erosion Rate Determinations of Eutectic Effervescent Tablet. Pharmaceutics, 14(6), 1280. https://doi.org/10.3390/pharmaceutics14061280

