Antifungal Activity and Stability of Fluconazole Emulsion Containing Ionic Liquids Explained by Intermolecular Interactions
Abstract
:1. Introduction
2. Experimental Section
2.1. Materials
2.2. Synthesis
2.3. Preparation of Emulsions
2.4. NMR
2.5. DOSY-NMR
2.6. Determination of Emulsion Stability
2.7. Biological Evaluation
2.7.1. Strains and Growth Media
2.7.2. Antimicrobial Sensitivity Test (AST)
2.8. Hen’s Egg Test on the Chorioallantoic Membrane (HET-CAM)
2.9. Statistical Analysis
3. Results and Discussion
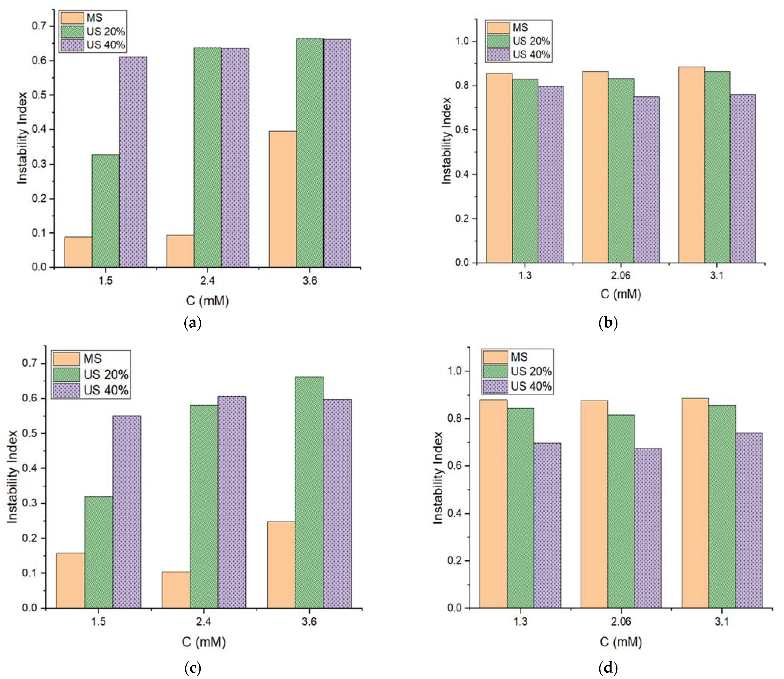
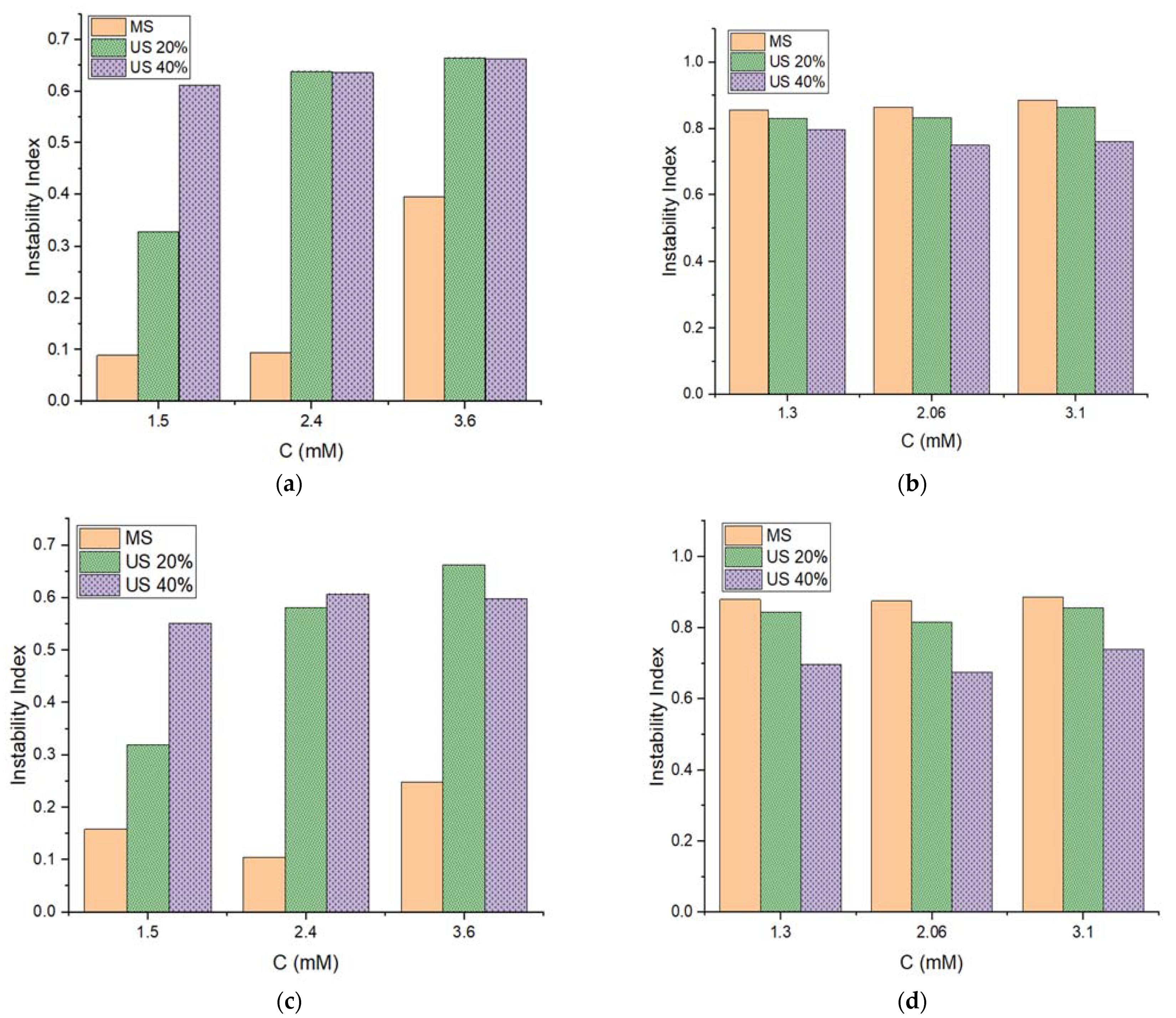
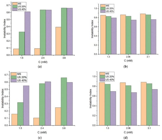
3.1. Emulsion Stability Tests
3.2. Intermolecular Interactions between the Emulsion Components
3.3. Antifungal Activity of Emulsion
3.4. Hen’s Egg Test Chorioallantoic Membrane (HET-CAM)
4. Conclusions
Supplementary Materials
Author Contributions
Funding
Institutional Review Board Statement
Informed Consent Statement
Data Availability Statement
Acknowledgments
Conflicts of Interest
References
- Nirmala, M.J.; Shivashankar, M.; Mukherjee, A.; Chandrasekaran, N. Fluconazole: A Simple Nanoemulsion Drug Delivery System. Int. J. Pharm. Pharm. Sci. 2013, 5, 716–717. [Google Scholar]
- Ayub, A.C.; Gomes, A.D.M.; Lima, M.V.C.; Vianna-Soares, C.D.; Ferreira, L.A.M. Topical Delivery of Fluconazole: In Vitro Skin Penetration and Permeation Using Emulsions as Dosage Forms. Drug Dev. Ind. Pharm. 2007, 33, 273–280. [Google Scholar] [CrossRef]
- Wu, X.; Zhu, Q.; Chen, Z.; Wu, W.; Lu, Y.; Qi, J. Ionic Liquids as a Useful Tool for Tailoring Active Pharmaceutical Ingredients. J. Control. Release 2021, 338, 268–283. [Google Scholar] [CrossRef]
- Gao, Y.; Li, N.; Zhang, S.; Zheng, L.; Li, X.; Dong, B.; Yu, L. Organic Solvents Induce the Formation of Oil-in-Ionic Liquid Microemulsion Aggregations. J. Phys. Chem. B 2009, 113, 1389–1395. [Google Scholar] [CrossRef]
- Dobler, D.; Schmidts, T.; Klingenhöfer, I.; Runkel, F. Ionic Liquids as Ingredients in Topical Drug Delivery Systems. Int. J. Pharm. 2013, 441, 620–627. [Google Scholar] [CrossRef]
- Zhuang, W.; Hachem, K.; Bokov, D.; Javed Ansari, M.; Taghvaie Nakhjiri, A. Ionic Liquids in Pharmaceutical Industry: A Systematic Review on Applications and Future Perspectives. J. Mol. Liq. 2022, 349, 118145. [Google Scholar] [CrossRef]
- Hejazifar, M.; Lanaridi, O.; Bica-Schröder, K. Ionic Liquid Based Microemulsions: A Review. J. Mol. Liq. 2020, 303, 112264. [Google Scholar] [CrossRef]
- Madhav S, G.D. A Review on Microemulsion Based System. Int. J. Pharm. Sci. Res. 2011, 2, 1888–1899. [Google Scholar]
- Chen, Z.; Nozaki, R. Dielectric Spectroscopy Study on Ionic Liquid Microemulsion Composed of Water, TX-100, and BmimPF6. J. Chem. Phys. 2012, 136, 244505. [Google Scholar] [CrossRef] [Green Version]
- Cheng, S.; Fu, X.; Liu, J.; Zhang, J.; Zhang, Z.; Wei, Y.; Han, B. Study of Ethylene Glycol/TX-100/Ionic Liquid Microemulsions. Colloids Surf. A Physicochem. Eng. Asp. 2007, 302, 211–215. [Google Scholar] [CrossRef]
- Caparica, R.; Júlio, A.; Baby, A.R.; Araújo, M.E.M.; Fernandes, A.S.; Costa, J.G.; de Almeida, T.S. Choline-Amino Acid Ionic Liquids as Green Functional Excipients to Enhance Drug Solubility. Pharmaceutics 2018, 10, 288. [Google Scholar] [CrossRef] [PubMed] [Green Version]
- Mero, A.; Mezzetta, A.; Nowicki, J.; Łuczak, J.; Guazzelli, L. Betaine and L-Carnitine Ester Bromides: Synthesis and Comparative Study of Their Thermal Behaviour and Surface Activity. J. Mol. Liq. 2021, 334, 115988. [Google Scholar] [CrossRef]
- Szepiński, E.; Smolarek, P.; Milewska, M.J.; Łuczak, J. Application of Surface Active Amino Acid Ionic Liquids as Phase-Transfer Catalyst. J. Mol. Liq. 2020, 303, 112607. [Google Scholar] [CrossRef]
- Mezzetta, A.; Łuczak, J.; Woch, J.; Chiappe, C.; Nowicki, J.; Guazzelli, L. Surface Active Fatty Acid ILs: Influence of the Hydrophobic Tail and/or the Imidazolium Hydroxyl Functionalization on Aggregates Formation. J. Mol. Liq. 2019, 289, 111155. [Google Scholar] [CrossRef]
- Hassan Shah, M.U.; Bhaskar Reddy, A.V.; Yusup, S.; Goto, M.; Moniruzzaman, M. Ionic Liquid-Biosurfactant Blends as Effective Dispersants for Oil Spills: Effect of Carbon Chain Length and Degree of Saturation. Environ. Pollut. 2021, 284, 117119. [Google Scholar] [CrossRef]
- Hennemann, B.L.; Moleta, G.S.; Fuchs, A.L.; Villetti, M.A.; Kuhn, B.L.; Rampelotto, C.R.; Paz, A.V.; de Bona da Silva, C.; Frizzo, C.P. Synergic Effects of Ultrasound and Ionic Liquids on Fluconazole Emulsion. Ultrason. Sonochem. 2021, 72, 105446. [Google Scholar] [CrossRef]
- Restu, W.K.; Sampora, Y.; Meliana, Y.; Haryono, A. Effect of Accelerated Stability Test on Characteristics of Emulsion Systems with Chitosan as a Stabilizer. Procedia Chem. 2015, 16, 171–176. [Google Scholar] [CrossRef] [Green Version]
- Xu, D.; Aihemaiti, Z.; Cao, Y.; Teng, C.; Li, X. Physicochemical Stability, Microrheological Properties and Microstructure of Lutein Emulsions Stabilized by Multilayer Membranes Consisting of Whey Protein Isolate, Flaxseed Gum and Chitosan. Food Chem. 2016, 202, 156–164. [Google Scholar] [CrossRef]
- Zielińska, A.; Martins-Gomes, C.; Ferreira, N.R.; Silva, A.M.; Nowak, I.; Souto, E.B. Anti-Inflammatory and Anti-Cancer Activity of Citral: Optimization of Citral-Loaded Solid Lipid Nanoparticles (SLN) Using Experimental Factorial Design and LUMiSizer®. Int. J. Pharm. 2018, 553, 428–440. [Google Scholar] [CrossRef]
- Zielinska, A.; Ferreira, N.R.; Durazzo, A.; Lucarini, M.; Cicero, N.; el Mamouni, S.; Silva, A.M.; Nowak, I.; Santini, A.; Souto, E.B. Development and Optimization of Alpha-Pinene-Loaded Solid Lipid Nanoparticles (SLN) Using Experimental Factorial Design and Dispersion Analysis. Molecules 2019, 24, 2683. [Google Scholar] [CrossRef] [Green Version]
- Shirota, H.; Mandai, T.; Fukazawa, H.; Kato, T. Comparison between Dicationic and Monocationic Ionic Liquids: Liquid Density, Thermal Properties, Surface Tension, and Shear Viscosity. J. Chem. Eng. Data 2011, 56, 2453–2459. [Google Scholar] [CrossRef]
- Frizzo, C.P.; Bender, C.R.; Gindri, I.M.; Salbego, P.R.S.; Villetti, M.A.; Martins, M.A.P. Anion Effect on the Aggregation Behavior of the Long-Chain Spacers Dicationic Imidazolium-Based Ionic Liquids. Colloid Polym. Sci. 2015, 293, 2901–2910. [Google Scholar] [CrossRef]
- EUCAST—European Committee on Antimicrobial Susceptibility Testing. Method for the Determination of Broth Dilution Minimum Inhibitory Concentrations of Antifungal Agents for Yeasts. V. 7.3.2; European Committee on Antimicrobial Susceptibility Testing: Basel, Switzerland, 2020. [Google Scholar]
- Lerche, D. Dispersion Stability and Particle Characterization by Sedimentation Kinetics in a Centrifugal Field. J. Dispers. Sci. Technol. 2002, 23, 699–709. [Google Scholar] [CrossRef]
- Sobisch, T.; Lerche, D. Thickener Performance Traced by Multisample Analytical Centrifugation. Colloids Surf. A Physicochem. Eng. Asp. 2008, 331, 114–118. [Google Scholar] [CrossRef]
- Liu, S.; Sun, C.; Xue, Y.; Gao, Y. Impact of PH, Freeze-Thaw and Thermal Sterilization on Physicochemical Stability of Walnut Beverage Emulsion. Food Chem. 2016, 196, 475–485. [Google Scholar] [CrossRef] [PubMed]
- Bertan, D.W. Produção e Caracterização de Celulose Cristalina e Amorfa e de Partículas de Quitosana Para Aplicação Como Estabilizantes de Emulsões Óleo-Em-Água. Master’s Thesis, Universidade de São Paulo, São Paulo, Brazil, 2018. [Google Scholar]
- Weingärtner, H. NMR Studies of Ionic Liquids: Structure and Dynamics. Curr. Opin. Colloid Interface Sci. 2013, 18, 183–189. [Google Scholar] [CrossRef]
- Shi, L.; Li, N.; Yan, H.; Gao, Y.; Zheng, L. Aggregation Behavior of Long-Chain N-Aryl Imidazolium Bromide in Aqueous Solution. Langmuir ACS J. Surf. Colloids 2011, 27, 1618–1625. [Google Scholar] [CrossRef]
- Frizzo, C.P.; Bender, C.R.; Salbego, P.R.S.; Farias, C.A.A.; Villetti, M.A.; Martins, M.A.P. Heteroassembly Ability of Dicationic Ionic Liquids and Neutral Active Pharmaceutical Ingredients. ACS Omega 2018, 3, 2282–2291. [Google Scholar] [CrossRef]
- Bhesaniya, K.; Nandha, K.; Baluja, S. Thermodynamics of Fluconazole Solubility in Various Solvents at Different Temperatures. J. Chem. Eng. Data 2014, 59, 649–652. [Google Scholar] [CrossRef]
- Vanyúr, R.; Biczók, L.; Miskolczy, Z. Micelle Formation of 1-Alkyl-3-Methylimidazolium Bromide Ionic Liquids in Aqueous Solution. Colloids Surf. A Physicochem. Eng. Asp. 2007, 299, 256–261. [Google Scholar] [CrossRef]
- Li, X.W.; Zhang, J.; Zheng, L.Q.; Chen, B.; Wu, L.Z.; Lv, F.F.; Dong, B.; Tung, C.H. Microemulsions of N-Alkylimidazolium Ionic Liquid and Their Performance as Microreactors for the Photocycloaddition of 9-Substituted Anthracenes. Langmuir 2009, 25, 5484–5490. [Google Scholar] [CrossRef] [PubMed]
- Frizzo, C.P.; Bender, C.R.; Gindri, I.D.M.; Villetti, M.A.; Machado, G.; Bianchi, O.; Martins, M.A.P. Elucidating Anion Effect on Nanostructural Organization of Dicationic Imidazolium-Based Ionic Liquids. J. Phys. Chem. C 2016, 120, 14402–14409. [Google Scholar] [CrossRef]
- Singh, T.; Kumar, A. Aggregation Behavior of Ionic Liquids in Aqueous Solutions: Effect of Alkyl Chain Length, Cations, and Anions. J. Phys. Chem. B 2007, 111, 7843–7851. [Google Scholar] [CrossRef] [PubMed]
- Wilson, T.D.; Steck, W.F. A Modified HET-CAM Assay Approach to the Assessment of Anti-Irritant Properties of Plant Extracts. Food Chem. Toxicol. Int. J. Publ. Br. Ind. Biol. Res. Assoc. 2000, 38, 867–872. [Google Scholar] [CrossRef]
- Mehling, A.; Kleber, M.; Hensen, H. Comparative Studies on the Ocular and Dermal Irritation Potential of Surfactants. Food Chem. Toxicol. 2007, 45, 747–758. [Google Scholar] [CrossRef]
- Scheel, J.; Kleber, M.; Kreutz, J.; Lehringer, E.; Mehling, A.; Reisinger, K.; Steiling, W. Eye Irritation Potential: Usefulness of the HET-CAM under the Globally Harmonized System of Classification and Labeling of Chemicals (GHS). Regul. Toxicol. Pharmacol. 2011, 59, 471–492. [Google Scholar] [CrossRef]













| DH11 | DH22 | DH31 | Average (±SD) | |
|---|---|---|---|---|
| [C12MIM]Br | 8.47 | 8.68 | 8.39 | 8.51 (±0.12) |
| [C12MIM]Br + 0.5 mL MCT | 7.86 | 7.85 | 7.59 | 7.77 (±0.12) |
| [C12MIM]Br + 0.10 mL MCT | 7.78 | 7.63 | 6.96 | 7.46 (±0.36) |
| [C12MIM]Br + 0.15 mL MCT | 6.86 | - a | 6.46 | 5.77 (±0.20) b |
| DH11 | DH26 | DH31 | Average (±SD) | |
| [C16MIM]Br | - a | 7.94 | 7.10 | 7.52 (±0.42) b |
| [C16MIM]Br + 0.5 mL MCT | 6.46 | 5.91 | 5.88 | 6.08 (±0.27) |
| [C16MIM]Br + 0.10 mL MCT | 5.25 | 5.55 | 5.69 | 5.50 (±0.18) |
| [C16MIM]Br + 0.15 mL MCT | - a | - a | 4.84 | - |
| DH11 | DH22 | DH31 | DH4,H5 | Average (±SD) | |
|---|---|---|---|---|---|
| [C12MIM]Br | 9.06 | 9.04 | 8.89 | 8.81 | 8.95 (±0.10) |
| [C12MIM]Br + fluconazole | 8.14 | 8.72 | 7.67 | 8.96 | 8.37 (±0.50) |
| DH11 | DH26 | DH31 | DH4.H5 | Average (±SD) | |
| [C16MIM]Br | 5.13 | 4.96 | 4.72 | 6.06 | 5.22 (±0.51) |
| [C16MIM]Br + fluconazole | 4.97 | 5.78 | 5.45 | 4.62 | 5.21 (±0.44) |
| C12MIMBr | C16MIMBr | |||||||
|---|---|---|---|---|---|---|---|---|
| CAMS1 | CG34 | CAMS1 | CG34 | |||||
| IL conc. a/ prep. Mode | Pres. Fluc. b | Abs. Fluc. c | Pres. Fluc. b | Abs. Fluc. c | Pres. Fluc. b | Abs. Fluc. c | Pres. Fluc. b | Abs. Fluc. b |
| LC/MS | 0.642 | 0.704 | 0.573 | 0.948 | 0.363 | 0.761 | 2.727 | 1.623 |
| LC/US | 0.568 | 0.550 | 0.929 | 1.636 | 0.327 | 0.659 | 1.749 | 0.760 |
| HC/MS | 0.974 | 2.683 | 0.433 | 0.326 | 0.894 | 1.537 | 0.193 | 0.540 |
| HC/US | 1.218 | 3.301 | 0.383 | 0.331 | 0.559 | 0.928 | 0.187 | 0.416 |
Publisher’s Note: MDPI stays neutral with regard to jurisdictional claims in published maps and institutional affiliations. |
© 2022 by the authors. Licensee MDPI, Basel, Switzerland. This article is an open access article distributed under the terms and conditions of the Creative Commons Attribution (CC BY) license (https://creativecommons.org/licenses/by/4.0/).
Share and Cite
Hennemann, B.L.; Bender, C.R.; Moleta, G.S.; Carvalho, Â.R.; Bazana, L.C.G.; Fuentefria, A.M.; Frizzo, C.P. Antifungal Activity and Stability of Fluconazole Emulsion Containing Ionic Liquids Explained by Intermolecular Interactions. Pharmaceutics 2022, 14, 710. https://doi.org/10.3390/pharmaceutics14040710
Hennemann BL, Bender CR, Moleta GS, Carvalho ÂR, Bazana LCG, Fuentefria AM, Frizzo CP. Antifungal Activity and Stability of Fluconazole Emulsion Containing Ionic Liquids Explained by Intermolecular Interactions. Pharmaceutics. 2022; 14(4):710. https://doi.org/10.3390/pharmaceutics14040710
Chicago/Turabian StyleHennemann, Bruno L., Caroline R. Bender, Guilherme S. Moleta, Ânderson R. Carvalho, Luana C. G. Bazana, Alexandre M. Fuentefria, and Clarissa P. Frizzo. 2022. "Antifungal Activity and Stability of Fluconazole Emulsion Containing Ionic Liquids Explained by Intermolecular Interactions" Pharmaceutics 14, no. 4: 710. https://doi.org/10.3390/pharmaceutics14040710
APA StyleHennemann, B. L., Bender, C. R., Moleta, G. S., Carvalho, Â. R., Bazana, L. C. G., Fuentefria, A. M., & Frizzo, C. P. (2022). Antifungal Activity and Stability of Fluconazole Emulsion Containing Ionic Liquids Explained by Intermolecular Interactions. Pharmaceutics, 14(4), 710. https://doi.org/10.3390/pharmaceutics14040710

