Processing Parameters and Ion Excipients Affect the Physicochemical Characteristics of the Stereocomplex-Formed Polylactide-b-Polyethylene Glycol Nanoparticles and Their Pharmacokinetics
Abstract
:1. Introduction
2. Materials and Methods
2.1. Chemicals and Reagents
2.2. Animals
2.3. Synthesis of l-Lactide-Based PLA-PEG (PLLA-PEGuni) and d-Lactide-Based PLA-PEG (PDLA-PEGuni)
2.4. Characterizations of Synthesized PLLA-PEGuni and PDLA-PEGuni
2.4.1. Number-Based Molecular Weight (Mnuni) and Polydispersity Index of Unimers (PdIuni) Determinations
2.4.2. Thermal Analysis of Synthesized PLLA-PEGuni and PDLA-PEGuni
2.4.3. Conformation Analysis of Stereocomplex PLA-PEG Unimer (SC-PEGuni) in Good Solvents Containing Different Concentrations of LiBr
2.5. Preparation of SC-PEG NPs
2.6. Characterization of TAM Loaded SC-PEG NPs
2.6.1. Hydrodynamic Diameter (Dh) and Polydispersity Index of SC-PEG NPs (PdINP)
2.6.2. Determination of Encapsulation Efficiency (EE) and Drug Loading Content by Conventional Procedure (DLCconv.) and SPE (DLCSPE)
2.6.3. Determination of Association Numbers (Nass), Gyration Radius (Rg), and Surface PEG Density
2.6.4. Evaluation of Morphology of Lyophilized NPs
2.7. Preparation of “PEG Sparse-Dh Small” NP (NPSparse-Small) and “PEG Dense-Dh Large” NP (NPDense-Large) for PK Studies
2.8. Evaluations of PK Profiles of Radiolabeled PLA-PEG NPs Loaded with TAM
2.9. Statistical Analyses
3. Results
3.1. Synthesis and Characterizations of Different PDLA-PEGuni and PLLA-PEGuni
3.2. Physicochemical Properties of NPs by Preparing at Different Temperature
3.3. Copolymer Conformation in Different LiBr Concentrations
3.4. Physicochemical Properties of NPs Prepared by Different LiBr Concentrations and TFR
3.4.1. DLC Calculated by Conventional Method and SPE and Release Profile of TAM
3.4.2. Dh, PdINP, and Surface PEG Densities of SC-PEG NPs Prepared by Different Processing Parameters
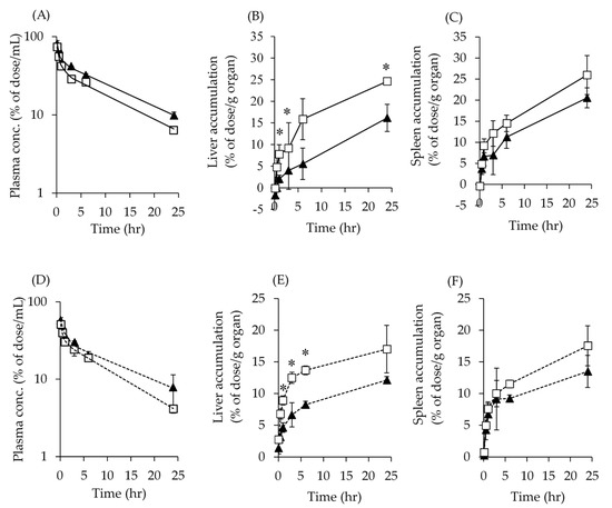
3.5. Plasma PK Profile and Tissue Distributions of SC-PEG NPs with Different Surface PEG Densities and Dh Prepared Using Different Processing Parameters
4. Discussion
4.1. Preparation Temperature Affects PdINP and Surface PEG Densities of SC-PEG NPs
4.2. Characteristics of SC-PEG NPs Were Controlled by LiBr Concentrations and TFR
4.3. Different NP Preparation Conditions Altered PK Profiles and Biodistributions of SC-PEG NPs
5. Conclusions
Supplementary Materials
Author Contributions
Funding
Institutional Review Board Statement
Data Availability Statement
Acknowledgments
Conflicts of Interest
References
- Chawla, S.P.; Goel, S.; Chow, W.; Braiteh, F.; Singh, A.S.; Grilley Olson, J.E.; Osada, A.; Bobe, I.; Riedel, R.F. A Phase 1b Dose Escalation Trial of NC-6300 (Nanoparticle Epirubicin) in Patients with Advanced Solid Tumors or Advanced, Metastatic, or Unresectable Soft-tissue Sarcoma. Clin. Cancer Res. 2020, 26, 4225–4232. [Google Scholar] [CrossRef] [PubMed]
- Harada, M.; Bobe, I.; Saito, H.; Shibata, N.; Tanaka, R.; Hayashi, T.; Kato, Y. Improved anti-tumor activity of stabilized anthracycline polymeric micelle formulation, NC-6300. Cancer Sci. 2011, 102, 192–199. [Google Scholar] [CrossRef] [PubMed]
- Autio, K.A.; Dreicer, R.; Anderson, J.; Garcia, J.A.; Alva, A.; Hart, L.L.; Milowsky, M.I.; Posadas, E.M.; Ryan, C.J.; Graf, R.P.; et al. Safety and Efficacy of BIND-014, a Docetaxel Nanoparticle Targeting Prostate-Specific Membrane Antigen for Patients with Metastatic Castration-Resistant Prostate Cancer: A Phase 2 Clinical Trial. JAMA Oncol. 2018, 4, 1344–1351. [Google Scholar] [CrossRef] [Green Version]
- Von Hoff, D.D.; Mita, M.M.; Ramanathan, R.K.; Weiss, G.J.; Mita, A.C.; Lorusso, P.M.; Burris, H.A.; Hart, L.L.; Low, S.C.; Parsons, D.M.; et al. Phase I study of PSMA-targeted docetaxel-containing nanoparticle BIND-014 in patients with advanced solid tumors. Clin. Cancer Res. 2016, 22, 3157–3163. [Google Scholar] [CrossRef] [PubMed] [Green Version]
- Houdaihed, L.; Evans, J.C.; Allen, C. In vivo evaluation of dual-targeted nanoparticles encapsulating paclitaxel and everolimus. Cancers 2019, 11, 752. [Google Scholar] [CrossRef] [Green Version]
- Rabanel, J.M.; Faivre, J.; Tehrani, S.F.; Lalloz, A.; Hildgen, P.; Banquy, X. Effect of the polymer architecture on the structural and biophysical properties of PEG-PLA nanoparticles. ACS Appl. Mater. Interfaces 2015, 7, 10374–10385. [Google Scholar] [CrossRef]
- Bertrand, N.; Grenier, P.; Mahmoudi, M.; Lima, E.M.; Appel, E.A.; Dormont, F.; Lim, J.M.; Karnik, R.; Langer, R.; Farokhzad, O.C. Mechanistic understanding of in vivo protein corona formation on polymeric nanoparticles and impact on pharmacokinetics. Nat. Commun. 2017, 8, 777. [Google Scholar] [CrossRef]
- Afsharzadeh, M.; Abnous, K.; Yazdian–Robati, R.; Ataranzadeh, A.; Ramezani, M.; Hashemi, M. Formulation and evaluation of anticancer and antiangiogenesis efficiency of PLA–PEG nanoparticles loaded with galbanic acid in C26 colon carcinoma, in vitro and in vivo. J. Cell. Physiol. 2019, 234, 6099–6107. [Google Scholar] [CrossRef]
- Sim, T.; Kim, J.E.; Hoang, N.H.; Kang, J.K.; Lim, C.; Kim, D.S.; Lee, E.S.; Youn, Y.S.; Choi, H.G.; Han, H.K.; et al. Development of a docetaxel micellar formulation using poly(Ethylene glycol)–polylactide–poly(ethylene glycol, PEG–PLA–PEG) with successful reconstitution for tumor targeted drug delivery. Drug Deliv. 2018, 25, 1371–1380. [Google Scholar] [CrossRef] [Green Version]
- Bertranda, N.; Wu, J.; Xu, X.; Kamaly, N.; Farokhzad, O.C. Cancer nanotechnology: The impact of passive and active targeting in the era of modern cancer biology. Adv. Drug Deliv. Rev. 2014, 66, 2–25. [Google Scholar] [CrossRef] [Green Version]
- Kyzioł, A.; Kyzioł, K. Surface Functionalization with Biopolymers via Plasma-Assisted Surface Grafting and Plasma-Induced Graft Polymerization—Materials for Biomedical Applications, Biopolymer Grafting, 1st ed.; Thakur, V.K., Ed.; Elsevier: Amsterdam, The Netherlands, 2018; pp. 115–151. [Google Scholar] [CrossRef]
- Ogawa, K.; Katsumi, H.; Takata, K.; Nomura, D.; Moroto, Y.; Kitamura, H.; Takaki, C.; Morishita, M.; Yamamoto, A. Orthogonal Characterization and Pharmacokinetic Studies of Polylactide-Polyethyleneglycol Polymeric Nanoparticles with Different Physicochemical Properties. Int. J. Pharm. 2021, 608, 121120. [Google Scholar] [CrossRef]
- European Medicines Agency and Ministry of Health, Labour and Welfare. Joint MHLW/EMA Reflection Paper on the Development of Block Copolymer Micelle Medicinal Products. 2013. Available online: https://www.ema.europa.eu/en/documents/scientific-guideline/draft-joint-ministry-health-labour-welfare/european-medicines-agency-reflection-paper-development-block-copolymer-micelle-medicinal-products_en.pdf (accessed on 7 February 2022).
- US Department of Health and Human Services, Food and Drug Administration. Guidance for Industry, Drug Products, Including Biological Products, That Contain Nanomaterials. 2017. Available online: https://www.fda.gov/media/109910/download (accessed on 7. February 2022).
- Bresseleers, J.; Bagheri, M.; Lebleu, C.; Lecommandoux, S.; Sandre, O.; Pijpers, I.A.B.; Mason, A.F.; Meeuwissen, S.; van Nostrum, C.F.; Hennink, W.E.; et al. Tuning size and morphology of mpeg-b-p(Hpma-bz) copolymer self-assemblies using microfluidics. Polymers 2020, 12, 2572. [Google Scholar] [CrossRef]
- O’Reilly Beringhs, A.; Ndaya, D.; Bosire, R.; Kasi, R.M.; Lu, X. Stabilization and X-ray Attenuation of PEGylated Cholesterol/Polycaprolactone-Based Perfluorooctyl Bromide Nanocapsules for CT Imaging. AAPS PharmSciTech 2021, 22, 90. [Google Scholar] [CrossRef] [PubMed]
- Troiano, G.; Nolan, J.; Parsons, D.; Van Geen Hoven, C.; Zale, S. A Quality by Design Approach to Developing and Manufacturing Polymeric Nanoparticle Drug Products. AAPS J. 2016, 18, 1354–1365. [Google Scholar] [CrossRef]
- Duanmu, Y.; Riche, C.T.; Gupta, M.; Malmstadt, N.; Huang, Q. Scale-up modeling for manufacturing nanoparticles using microfluidic T-junction. IISE Trans. 2018, 50, 892–899. [Google Scholar] [CrossRef]
- Jeffs, L.B.; Palmer, L.R.; Ambegia, E.G.; Giesbrecht, C.; Ewanick, S.; MacLachlan, I. A scalable, extrusion-free method for efficient liposomal encapsulation of plasmid DNA. Pharm. Res. 2005, 22, 362–372. [Google Scholar] [CrossRef] [PubMed] [Green Version]
- Riewe, J.; Erfle, P.; Melzig, S.; Kwade, A.; Dietzel, A.; Bunjes, H. Antisolvent precipitation of lipid nanoparticles in microfluidic systems–A comparative study. Int. J. Pharm. 2020, 579, 119167. [Google Scholar] [CrossRef]
- Kulkarni, J.A.; Tam, Y.Y.C.; Chen, S.; Tam, Y.K.; Zaifman, J.; Cullis, P.R.; Biswas, S. Rapid synthesis of lipid nanoparticles containing hydrophobic inorganic nanoparticles. Nanoscale 2017, 9, 13600–13609. [Google Scholar] [CrossRef] [PubMed]
- Matteucci, M.E.; Hotze, M.A.; Johnston, K.P.; Williams, R.O. Drug nanoparticles by antisolvent precipitation: Mixing energy versus surfactant stabilization. Langmuir 2006, 22, 8951–8959. [Google Scholar] [CrossRef]
- Mori, S. Calibration of Size Exclusion Chromatography Columns for Molecular Weight Determination of Poly(acrylonitrile) and Poly(vinylpyrrolidone) in N,N-Dimethylformamide. Anal. Chem. 1983, 55, 2414–2416. [Google Scholar] [CrossRef]
- Krishnan, P.S.G.; Veeramani, S.; Vora, R.H.; Chung, T.S.; Uchimura, S.I.; Sugitani, H. Molecular mass determination of polyamic acid ionic salt by size-exclusion chromatography. J. Chromatogr. A 2002, 977, 207–212. [Google Scholar] [CrossRef]
- Takata, K.; Kawahara, K.; Yoshida, Y.; Kuzuya, A.; Ohya, Y. Analysis of the sol-to-gel transition behavior of temperature-responsive injectable polymer systems by fluorescence resonance energy transfer. Polym. J. 2017, 49, 677–684. [Google Scholar] [CrossRef]
- Ma, C.; Pan, P.; Shan, G.; Bao, Y.; Fujita, M.; Maeda, M. Core-Shell structure, biodegradation, and drug release behavior of poly(lactic acid)/poly(ethylene glycol) block copolymer micelles tuned by macromolecular stereostructure. Langmuir 2015, 31, 1527–1536. [Google Scholar] [CrossRef]
- Ghasemi, R.; Abdollahi, M.; Emamgholi Zadeh, E.; Khodabakhshi, K.; Badeli, A.; Bagheri, H.; Hosseinkhani, S. MPEG-PLA and PLA-PEG-PLA nanoparticles as new carriers for delivery of recombinant human Growth Hormone (rhGH). Sci. Rep. 2018, 8, 9854. [Google Scholar] [CrossRef] [PubMed]
- Matsuura, S.; Katsumi, H.; Suzuki, H.; Hirai, N.; Hayashi, H.; Koshino, K.; Higuchi, T.; Yagi, Y.; Kimura, H.; Sakane, T.; et al. L-Serine-modified polyamidoamine dendrimer as a highly potent renal targeting drug carrier. Proc. Natl. Acad. Sci. USA 2018, 115, 10511–10516. [Google Scholar] [CrossRef] [Green Version]
- Yamashita, S.; Katsumi, H.; Hibino, N.; Isobe, Y.; Yagi, Y.; Tanaka, Y.; Yamada, S.; Naito, C.; Yamamoto, A. Development of PEGylated aspartic acid-modified liposome as a bone-targeting carrier for the delivery of paclitaxel and treatment of bone metastasis. Biomaterials 2018, 154, 74–85. [Google Scholar] [CrossRef]
- Yamaoka, K.; Tanigawara, Y.; Nakagawa, T.; Uno, T. A pharmacokinetic analysis program (MULTI) for microcomputer. J. Pharm. Dyn. 1981, 4, 879–885. Available online: http://www.mendeley.com/research/geology-volcanic-history-eruptive-style-yakedake-volcano-group-central-japan/ (accessed on 7. February 2022.). [CrossRef]
- Zhu, L.; Cheng, S.Z.D.; Calhoun, B.H.; Ge, Q.; Quirk, R.P.; Thomas, E.L.; Hsiao, B.S.; Yeh, F.; Lotz, B. Crystallization temperature-dependent crystal orientations within nanoscale confined lamellae of a self-assembled crystalline-Amorphous diblock copolymer. J. Am. Chem. Soc. 2000, 122, 5957–5967. [Google Scholar] [CrossRef]
- Hamley, I.W.; Fairclough, J.P.A.; Terrill, N.J.; Ryan, A.J.; Lipic, P.M.; Bates, F.S.; Towns-Andrews, E. Crystallization in oriented semicrystalline diblock copolymers. Macromolecules 1996, 29, 8835–8843. [Google Scholar] [CrossRef]
- Diou, O.; Greco, S.; Beltran, T.; Lairez, D.; Authelin, J.R.; Bazile, D. A method to Quantify the Affinity of Cabazitaxel for PLA-PEG Nanoparticles and Investigate the Influence of the Nano-Assembly Structure on the Drug/Particle Association. Pharm. Res. 2015, 32, 3188–3200. [Google Scholar] [CrossRef]
- Karnik, R.; Gu, F.; Basto, P.; Cannizzaro, C.; Dean, L.; Kyei-Manu, W.; Langer, R.; Farokhzad, O.C. Microfluidic platform for controlled synthesis of polymeric nanoparticles. Nano Lett. 2008, 8, 2906–2912. [Google Scholar] [CrossRef] [PubMed]
- Hann, N.D. Effects of lithium bromide on the gel-permeation chromatography of polyester-based polyurethanes in dimethylformamide. J. Polym. Sci. Part A Gen. Pap. 1977, 15, 1331–1339. [Google Scholar] [CrossRef]
- Idris, A.; Ahmed, I. Viscosity behavior of microwave-heated and conventionally heated poly(ether sulfone)/dimethylformamide/lithium bromide polymer solutions. J. Appl. Polym. Sci. 2008, 108, 302–307. [Google Scholar] [CrossRef]
- Zhao, W.; Simmons, B.; Singh, S.; Ragauskas, A.; Cheng, G. From lignin association to nano-/micro-particle preparation: Extracting higher value of lignin. Green Chem. 2016, 18, 5693–5700. [Google Scholar] [CrossRef] [Green Version]
- Lim, J.M.; Swami, A.; Gilson, L.M.; Chopra, S.; Choi, S.; Wu, J.; Langer, R.; Karnik, R.; Farokhzad, O.C. Ultra-high throughput synthesis of nanoparticles with homogeneous size distribution using a coaxial turbulent jet mixer. ACS Nano 2014, 8, 6056–6065. [Google Scholar] [CrossRef] [Green Version]
- Kim, Y.; Lee Chung, B.; Ma, M.; Mulder, W.J.M.; Fayad, Z.A.; Farokhzad, O.C.; Langer, R. Mass production and size control of lipid-polymer hybrid nanoparticles through controlled microvortices. Nano Lett. 2012, 12, 3587–3591. [Google Scholar] [CrossRef] [Green Version]
- Abstiens, K.; Goepferich, A.M. Microfluidic manufacturing improves polydispersity of multicomponent polymeric nanoparticles. J. Drug Deliv. Sci. Technol. 2019, 49, 433–439. [Google Scholar] [CrossRef]
- Li, H.; Jin, K.; Luo, M.; Wang, X.; Zhu, X.; Liu, X.; Jiang, T.; Zhang, Q.; Wang, S.; Pang, Z. Size Dependency of Circulation and Biodistribution of Biomimetic Nanoparticles: Red Blood Cell Membrane-Coated Nanoparticles. Cells 2019, 8, 881. [Google Scholar] [CrossRef] [Green Version]
- Martínez Rivas, C.J.; Tarhini, M.; Badri, W.; Miladi, K.; Greige-Gerges, H.; Nazari, Q.A.; Galindo Rodríguez, S.A.; Román, R.Á.; Fessi, H.; Elaissari, A. Nanoprecipitation process: From encapsulation to drug delivery. Int. J. Pharm. 2017, 532, 66–81. [Google Scholar] [CrossRef]
- Esnaashari, S.S.; Amani, A. Optimization of Noscapine-Loaded mPEG-PLGA Nanoparticles and Release Study: A Response Surface Methodology Approach. J. Pharm. Innov. 2018, 13, 237–246. [Google Scholar] [CrossRef]
- Zhou, H.; Fan, Z.; Li, P.Y.; Deng, J.; Arhontoulis, D.C.; Li, C.Y.; Bowne, W.B.; Cheng, H. Dense and Dynamic Polyethylene Glycol Shells Cloak Nanoparticles from Uptake by Liver Endothelial Cells for Long Blood Circulation. ACS Nano 2018, 12, 10130–10141. [Google Scholar] [CrossRef] [PubMed]
- Mirkasymov, A.B.; Zelepukin, I.V.; Nikitin, P.I.; Nikitin, M.P.; Deyev, S.M. In vivo blockade of mononuclear phagocyte system with solid nanoparticles: Efficiency and affecting factors. J. Control. Release 2021, 330, 111–118. [Google Scholar] [CrossRef] [PubMed]
- Caster, J.M.; Yu, S.K.; Patel, A.N.; Newman, N.J.; Lee, Z.J.; Warner, S.B.; Wagner, K.T.; Roche, K.C.; Tian, X.; Min, Y.; et al. Effect of particle size on the biodistribution, toxicity, and efficacy of drug-loaded polymeric nanoparticles in chemoradiotherapy. Nanomed. Nanotechnol. Biol. Med. 2017, 13, 1673–1683. [Google Scholar] [CrossRef] [PubMed]
- Gaumet, M.; Vargas, A.; Gurny, R.; Delie, F. Nanoparticles for drug delivery: The need for precision in reporting particle size parameters. Eur. J. Pharm. Biopharm. 2008, 69, 1–9. [Google Scholar] [CrossRef]
- Wang, J.-L.; Du, X.-J.; Yang, J.-X.; Shen, S.; Li, H.-J.; Luo, Y.-L.; Iqbal, S.; Xu, C.-F.; Ye, X.-D.; Cao, J.; et al. The effect of surface poly(ethylene glycol) length on in vivo drug delivery behaviors of polymeric nanoparticles. Biomaterials 2018, 182, 104–113. [Google Scholar] [CrossRef]
- Yang, H.; Yuan, B.; Zhang, X.; Scherman, O.A. Supramolecular chemistry at interfaces: Host-guest interactions for fabricating multifunctional biointerfaces. Acc. Chem. Res. 2014, 47, 2106–2115. [Google Scholar] [CrossRef]
- Crucho, C.I.C.; Barros, M.T. Polymeric nanoparticles: A study on the preparation variables and characterization methods. Mater. Sci. Eng. C 2017, 80, 771–784. [Google Scholar] [CrossRef]








| Unimers | Mn PEG (g/mole) | Mn * PLA (g/mole) | PdIuni ** |
|---|---|---|---|
| PDLA-PEGuni | 5000 | 12,007 | 1.78 |
| PLLA-PEGuni | 5000 | 12,497 | 1.82 |
| Unimers | PEG Tm ( °C) | PEG Tc ( °C) | PLA Tm ( °C) | PLA Tc ( °C) |
|---|---|---|---|---|
| PDLA-PEGuni | 48.0 ± 2.0 | 25.2 ± 0.6 | 139 ± 0.2 | 96.7 ± 0.1 |
| PLLA-PEGuni | 46.4 ± 0.8 | 21.7 ± 0.1 | 153 ± 0.5 | 119 ± 0.1 |
| Plasma AUC * (h *% of dose/mL) | T 1/2 α** (min) | T 1/2 β ** (min) | CLtot ** (mL/min) | Vd ** (mL) | C0 ** (% of dose/mL) | |
|---|---|---|---|---|---|---|
| 111In-SC-PEG | ||||||
| NPLarge-Dense | 640 | 0.374 | 10.5 | 0.133 | 1.95 | 88.9 |
| NPSmall-Sparse | 497 | 0.416 | 9.67 | 0.184 | 2.45 | 80.1 |
| 14C-TAM | ||||||
| NPLarge-Dense | 441 | 0.570 | 11.7 | 0.179 | 2.89 | 61.8 |
| NPSmall-Sparse | 362 | 0.343 | 8.35 | 0.262 | 3.06 | 55.6 |
Publisher’s Note: MDPI stays neutral with regard to jurisdictional claims in published maps and institutional affiliations. |
© 2022 by the authors. Licensee MDPI, Basel, Switzerland. This article is an open access article distributed under the terms and conditions of the Creative Commons Attribution (CC BY) license (https://creativecommons.org/licenses/by/4.0/).
Share and Cite
Ogawa, K.; Katsumi, H.; Moroto, Y.; Morishita, M.; Yamamoto, A. Processing Parameters and Ion Excipients Affect the Physicochemical Characteristics of the Stereocomplex-Formed Polylactide-b-Polyethylene Glycol Nanoparticles and Their Pharmacokinetics. Pharmaceutics 2022, 14, 568. https://doi.org/10.3390/pharmaceutics14030568
Ogawa K, Katsumi H, Moroto Y, Morishita M, Yamamoto A. Processing Parameters and Ion Excipients Affect the Physicochemical Characteristics of the Stereocomplex-Formed Polylactide-b-Polyethylene Glycol Nanoparticles and Their Pharmacokinetics. Pharmaceutics. 2022; 14(3):568. https://doi.org/10.3390/pharmaceutics14030568
Chicago/Turabian StyleOgawa, Kohei, Hidemasa Katsumi, Yasushi Moroto, Masaki Morishita, and Akira Yamamoto. 2022. "Processing Parameters and Ion Excipients Affect the Physicochemical Characteristics of the Stereocomplex-Formed Polylactide-b-Polyethylene Glycol Nanoparticles and Their Pharmacokinetics" Pharmaceutics 14, no. 3: 568. https://doi.org/10.3390/pharmaceutics14030568
APA StyleOgawa, K., Katsumi, H., Moroto, Y., Morishita, M., & Yamamoto, A. (2022). Processing Parameters and Ion Excipients Affect the Physicochemical Characteristics of the Stereocomplex-Formed Polylactide-b-Polyethylene Glycol Nanoparticles and Their Pharmacokinetics. Pharmaceutics, 14(3), 568. https://doi.org/10.3390/pharmaceutics14030568

