Formulation and Evaluation of a Drug-in-Adhesive Patch for Transdermal Delivery of Colchicine
Abstract
1. Introduction
2. Materials and Methods
2.1. Materials and Animals
2.2. Solubility of COL in PSAs
2.3. Preparation of COL-DIA Patches
2.4. Determination of COL Content in the Patch
2.5. In Vitro Skin Permeation Studies
2.6. In Vivo Pharmacokinetic Studies
2.6.1. In Vivo Pharmacokinetic Experimental Design
2.6.2. Determination of Drug Concentration in Plasma
2.7. In Vivo Pharmacodynamics Studies
2.7.1. Establishment of an Acute Gouty Arthritis Model and Treatment Scheme
2.7.2. Observation Indicator and Curative Effect Evaluation
3. Results and Discussion
3.1. Solubility of COL in PSAs
3.2. Preparation of COL-DIA Patches
3.2.1. Effect of PSAs on the Skin Permeation of COL
3.2.2. Effect of COL Loading on Skin Permeation
3.2.3. Effect of Permeation Enhancers on the Skin Permeation of COL
3.3. In Vivo Pharmacokinetic Studies
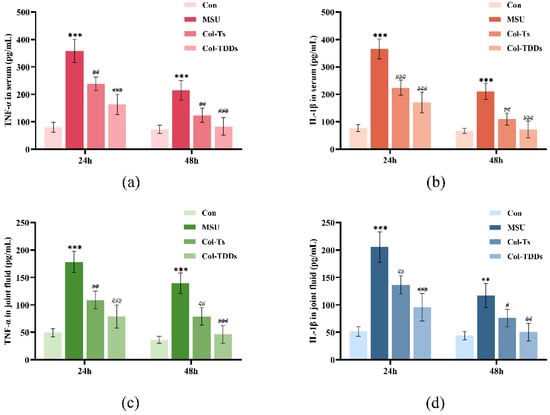
3.4. In Vivo Pharmacodynamics Studies
4. Conclusions
Author Contributions
Funding
Institutional Review Board Statement
Informed Consent Statement
Data Availability Statement
Conflicts of Interest
References
- Dehlin, M.; Jacobsson, L.; Roddy, E. Global epidemiology of gout: Prevalence, incidence, treatment patterns and risk factors. Nat. Rev. Rheumatol. 2020, 16, 380–390. [Google Scholar] [CrossRef] [PubMed]
- Dalbeth, N.; Gosling, A.L.; Gaffo, A.; Abhishek, A. Gout. Lancet 2021, 397, 1843–1855. [Google Scholar] [CrossRef]
- Dalbeth, N.; Merriman, T.R.; Stamp, L.K. Gout. Lancet 2016, 388, 2039–2052. [Google Scholar] [CrossRef]
- Neogi, T. Gout. Ann. Intern. Med. 2016, 165, ITC1–ITC16. [Google Scholar] [CrossRef]
- FitzGerald, J.D.; Dalbeth, N.; Mikuls, T.; Brignardello-Petersen, R.; Guyatt, G.; Abeles, A.M.; Gelber, A.C.; Harrold, L.R.; Khanna, D.; King, C.; et al. 2020 American College of Rheumatology Guideline for the Management of Gout. Arthritis Rheumatol. 2020, 72, 879–895. [Google Scholar] [CrossRef] [PubMed]
- Hui, M.; Carr, A.; Cameron, S.; Davenport, G.; Doherty, M.; Forrester, H.; Jenkins, W.; Jordan, K.M.; Mallen, C.D.; McDonald, T.M.; et al. The British Society for Rheumatology Guideline for the Management of Gout. Rheumatology 2017, 56, 1056–1059. [Google Scholar] [CrossRef]
- Richette, P.; Doherty, M.; Pascual, E.; Barskova, V.; Becce, F.; Castaneda-Sanabria, J.; Coyfish, M.; Guillo, S.; Jansen, T.L.; Janssens, H.; et al. 2016 updated EULAR evidence-based recommendations for the management of gout. Ann. Rheum. Dis. 2017, 76, 29–42. [Google Scholar] [CrossRef] [PubMed]
- Slobodnick, A.; Shah, B.; Krasnokutsky, S.; Pillinger, M.H. Update on colchicine, 2017. Rheumatology 2018, 57, i4–i11. [Google Scholar] [CrossRef] [PubMed]
- Wei, W.; Ayad, N.G.; Wan, Y.; Zhang, G.J.; Kirschner, M.W.; Kaelin, W.G., Jr. Degradation of the SCF component Skp2 in cell-cycle phase G1 by the anaphase-promoting complex. Nature 2004, 428, 194–198. [Google Scholar] [CrossRef]
- Angelidis, C.; Kotsialou, Z.; Kossyvakis, C.; Vrettou, A.R.; Zacharoulis, A.; Kolokathis, F.; Kekeris, V.; Giannopoulos, G. Colchicine Pharmacokinetics and Mechanism of Action. Curr. Pharm. Des. 2018, 24, 659–663. [Google Scholar] [CrossRef] [PubMed]
- McKenzie, B.J.; Wechalekar, M.D.; Johnston, R.V.; Schlesinger, N.; Buchbinder, R. Colchicine for acute gout. Cochrane Database Syst. Rev. 2021, 8, CD006190. [Google Scholar] [CrossRef] [PubMed]
- Roubille, F.; Kritikou, E.; Busseuil, D.; Barrere-Lemaire, S.; Tardif, J.-C. Colchicine: An Old Wine in a New Bottle? Anti-Inflamm. Anti-Allergy Agents Med. Chem. 2013, 12, 14–23. [Google Scholar] [CrossRef] [PubMed]
- Bayes-Genis, A.; Adler, Y.; de Luna, A.B.; Imazio, M. Colchicine in Pericarditis. Eur. Heart J. 2017, 38, 1706–1709. [Google Scholar] [CrossRef]
- Ozen, S.; Kone-Paut, I.; Gul, A. Colchicine resistance and intolerance in familial mediterranean fever: Definition, causes, and alternative treatments. Semin. Arthritis Rheum. 2017, 47, 115–120. [Google Scholar] [CrossRef] [PubMed]
- Tardif, J.C.; Kouz, S.; Waters, D.D.; Bertrand, O.F.; Diaz, R.; Maggioni, A.P.; Pinto, F.J.; Ibrahim, R.; Gamra, H.; Kiwan, G.S.; et al. Efficacy and Safety of Low-Dose Colchicine after Myocardial Infarction. N. Engl. J. Med. 2019, 381, 2497–2505. [Google Scholar] [CrossRef] [PubMed]
- Finkelstein, Y.; Aks, S.E.; Hutson, J.R.; Juurlink, D.N.; Nguyen, P.; Dubnov-Raz, G.; Pollak, U.; Koren, G.; Bentur, Y. Colchicine poisoning: The dark side of an ancient drug. Clin. Toxicol. 2010, 48, 407–414. [Google Scholar] [CrossRef] [PubMed]
- Pascart, T.; Richette, P. Colchicine in Gout: An Update. Curr. Pharm. Des. 2018, 24, 684–689. [Google Scholar] [CrossRef]
- Lv, B.; Yang, G.; Wei, Y.; Lei, Y.; Ding, Y.; Gong, W.; Wang, Y.; Gao, C.; Han, C. A pharmacokinetic and pharmacodynamic evaluation of colchicine sustained-release pellets for preventing gout. J. Drug Deliv. Sci. Technol. 2022, 67, 103051. [Google Scholar] [CrossRef]
- MD, Y.M. Update on colchicine and its mechanism of action. Curr. Rheumatol. Rep. 2002, 4, 252–256. [Google Scholar] [CrossRef]
- Nuki, G. Colchicine: Its mechanism of action and efficacy in crystal-induced inflammation. Curr. Rheumatol. Rep. 2008, 10, 218–227. [Google Scholar] [CrossRef] [PubMed]
- Prausnitz, M.R.; Langer, R. Transdermal drug delivery. Nat. Biotechnol. 2008, 26, 1261–1268. [Google Scholar] [CrossRef] [PubMed]
- Sairam Maduri, V.R.A. Formulation of colchicine ointment for the treatment of acute gout. Singap. Med. J. 2012, 53, 750–754. [Google Scholar]
- Abdulbaqi, I.M.; Darwis, Y.; Assi, R.A.; Khan, N.A.K. Transethosomal gels as carriers for the transdermal delivery of colchicine: Statistical optimization, characterization, and ex vivo evaluation. Drug Des. Devel. Ther. 2018, 12, 795–813. [Google Scholar] [CrossRef] [PubMed]
- Nasr, M.; Younes, H.; Abdel-Rashid, R.S. Formulation and evaluation of cubosomes containing colchicine for transdermal delivery. Drug Deliv. Transl. Res. 2020, 10, 1302–1313. [Google Scholar] [CrossRef] [PubMed]
- Parashar, P.; Mazhar, I.; Kanoujia, J.; Yadav, A.; Kumar, P.; Saraf, S.A.; Saha, S. Appraisal of anti-gout potential of colchicine-loaded chitosan nanoparticle gel in uric acid-induced gout animal model. Arch. Physiol. Biochem. 2022, 128, 547–557. [Google Scholar] [CrossRef] [PubMed]
- Zhang, Y.; Zhang, N.; Song, H.; Li, H.; Wen, J.; Tan, X.; Zheng, W. Design, characterization and comparison of transdermal delivery of colchicine via borneol-chemically-modified and borneol-physically-modified ethosome. Drug Deliv. 2019, 26, 70–77. [Google Scholar] [CrossRef]
- Pastore, M.N.; Kalia, Y.N.; Horstmann, M.; Roberts, M.S. Transdermal patches: History, development and pharmacology. Br. J. Pharmacol. 2015, 172, 2179–2209. [Google Scholar] [CrossRef]
- Joshi, S.A.; Jalalpure, S.S.; Kempwade, A.A.; Peram, M.R. Fabrication and in-vivo evaluation of lipid nanocarriers based transdermal patch of colchicine. J. Drug Deliv. Sci. Technol. 2017, 41, 444–453. [Google Scholar] [CrossRef]
- Sachdeva, V.; Bai, Y.; Kydonieus, A.; Banga, A.K. Formulation and optimization of desogestrel transdermal contraceptive patch using crystallization studies. Int. J. Pharm. 2013, 441, 9–18. [Google Scholar] [CrossRef]
- Bozorg, B.D.; Banga, A.K. Effect of Different Pressure-Sensitive Adhesives on Performance Parameters of Matrix-Type Transdermal Delivery Systems. Pharmaceutics 2020, 12, 209. [Google Scholar] [CrossRef]
- Maibach, G.A.S.H.I. The Pig as an Experimental Animal Model of Percutaneous Permeation in Man: Qualitative and Quantitative Observations—An Overview. Skin Pharmacol. Appl. Skin Physiol. 2000, 13, 229–234. [Google Scholar]
- Ganti, S.S.; Bhattaccharjee, S.A.; Murnane, K.S.; Blough, B.E.; Banga, A.K. Formulation and evaluation of 4-benzylpiperidine drug-in-adhesive matrix type transdermal patch. Int. J. Pharm. 2018, 550, 71–78. [Google Scholar] [CrossRef] [PubMed]
- Jain, P.; Banga, A.K. Induction and inhibition of crystallization in drug-in-adhesive-type transdermal patches. Pharm. Res. 2013, 30, 562–571. [Google Scholar] [CrossRef] [PubMed]
- Lobo, S.; Sachdeva, S.; Goswami, T. Role of pressure-sensitive adhesives in transdermal drug delivery systems. Ther. Deliv. 2016, 7, 33–48. [Google Scholar] [CrossRef]
- Liu, C.; Hui, M.; Quan, P.; Fang, L. Drug in adhesive patch of palonosetron: Effect of pressure sensitive adhesive on drug skin permeation and in vitro-in vivo correlation. Int. J. Pharm. 2016, 511, 1088–1097. [Google Scholar] [CrossRef]
- Liu, C.; Quan, P.; Li, S.; Zhao, Y.; Fang, L. A systemic evaluation of drug in acrylic pressure sensitive adhesive patch in vitro and in vivo: The roles of intermolecular interaction and adhesive mobility variation in drug controlled release. J. Control. Release 2017, 252, 83–94. [Google Scholar] [CrossRef]
- Yang, D.; Wan, X.; Quan, P.; Liu, C.; Fang, L. The role of carboxyl group of pressure sensitive adhesive in controlled release of propranolol in transdermal patch: Quantitative determination of ionic interaction and molecular mechanism characterization. Eur. J. Pharm. Sci. 2018, 115, 330–338. [Google Scholar] [CrossRef]
- Puri, A.; Bhattaccharjee, S.A.; Zhang, W.; Clark, M.; Singh, O.; Doncel, G.F.; Banga, A.K. Development of a Transdermal Delivery System for Tenofovir Alafenamide, a Prodrug of Tenofovir with Potent Antiviral Activity Against HIV and HBV. Pharmaceutics 2019, 11, 173. [Google Scholar] [CrossRef]
- Jain, P.; Banga, A.K. Inhibition of crystallization in drug-in-adhesive-type transdermal patches. Int. J. Pharm. 2010, 394, 68–74. [Google Scholar] [CrossRef]
- Kovacik, A.; Kopecna, M.; Vavrova, K. Permeation enhancers in transdermal drug delivery: Benefits and limitations. Expert Opin. Drug Deliv. 2020, 17, 145–155. [Google Scholar] [CrossRef]
- Zeng, L.; Huang, F.; Zhang, Q.; Liu, J.; Quan, D.; Song, W. Molecular perspective of efficiency and safety problems of chemical enhancers: Bottlenecks and recent advances. Drug Deliv. Transl. Res. 2022, 12, 1376–1394. [Google Scholar] [CrossRef] [PubMed]
- Karande, P.; Jain, A.; Mitragotri, S. Insights into synergistic interactions in binary mixtures of chemical permeation enhancers for transdermal drug delivery. J. Control. Release 2006, 115, 85–93. [Google Scholar] [CrossRef] [PubMed]
- Atef, E.; Altuwaijri, N. Using Raman Spectroscopy in Studying the Effect of Propylene Glycol, Oleic Acid, and Their Combination on the Rat Skin. AAPS PharmSciTech 2018, 19, 114–122. [Google Scholar] [CrossRef]
- Pham, Q.D.; Bjorklund, S.; Engblom, J.; Topgaard, D.; Sparr, E. Chemical penetration enhancers in stratum corneum—Relation between molecular effects and barrier function. J. Control. Release 2016, 232, 175–187. [Google Scholar] [CrossRef]
- Ruan, J.; Zhong, T.; Zhang, S.; Liu, C.; Quan, P.; Fang, L. A Systematic Quantitative Evaluation of Permeation Enhancement Window: Transdermal Permeation Enhancing Dynamics Establishment and Molecular Mechanisms Characterization of Permeation Enhancer. J. Pharm. Sci. 2022, 111, 1962–1972. [Google Scholar] [CrossRef] [PubMed]
- Zeng, L.; Song, W.; He, W.; Zhang, J.; Wang, Y.; Bian, J.; Mao, Z.; Quan, D.; Liu, J. Unconventional Passive Enhancement of Transdermal Drug Delivery: Toward a Mechanistic Understanding of Penetration Enhancers Releasing from Acrylic Pressure-Sensitive Adhesive of Patches. Pharm. Res. 2020, 37, 169. [Google Scholar] [CrossRef] [PubMed]
- Aghabiklooei, A.; Zamani, N.; Hassanian-Moghaddam, H.; Nasouhi, S.; Mashayekhian, M. Acute colchicine overdose: Report of three cases. Reumatismo 2014, 65, 307–311. [Google Scholar] [CrossRef]
- Martinon, F.; Petrilli, V.; Mayor, A.; Tardivel, A.; Tschopp, J. Gout-associated uric acid crystals activate the NALP3 inflammasome. Nature 2006, 440, 237–241. [Google Scholar] [CrossRef]







| Pressure-Sensitive Adhesives (PSAs) | Functional Groups | Contents (mg) | Drug (% w/w) 1 | Crystallization | ||
|---|---|---|---|---|---|---|
| Adhesive Wet Weight | Adhesive Dry Weight | Amount of Drug | ||||
| Acrylate Duro-Tak 87-900A | none | 2000 | 860 | 4.30 | 0.50 | No |
| 2000 | 860 | 8.60 | 1.00 | No | ||
| 2000 | 860 | 12.90 | 1.50 | No | ||
| 2000 | 860 | 17.20 | 2.00 | Yes | ||
| Acrylate Duro-Tak 87-2677 | -COOH | 2000 | 790 | 63.20 | 8.00 | No |
| 2000 | 790 | 71.10 | 9.00 | No | ||
| 2000 | 790 | 79.00 | 10.00 | No | ||
| 2000 | 790 | 86.90 | 11.00 | Yes | ||
| Acrylate Duro-Tak 87-2516 | -OH | 2000 | 830 | 66.40 | 8.00 | No |
| 2000 | 830 | 83.00 | 10.00 | No | ||
| 2000 | 830 | 99.60 | 12.00 | No | ||
| 2000 | 830 | 124.50 | 15.00 | Yes | ||
| PIB Duro-Tak 87-6908 | none | 2000 | 760 | The wet blend saturation point was less than 1%, so further research was discontinued | ||
| 2000 | 760 | |||||
| 2000 | 760 | |||||
| 2000 | 760 | |||||
| Code | Formulation Details | Q48h (μg∙cm−2) | Flux (μg∙cm−2∙h−1) | Tlag (h) | ||
|---|---|---|---|---|---|---|
| PSAs | Colchicine Loading | Enhancers | ||||
| F1 | Duro-Tak 87-900A | 1.50% | - | 6.68 ± 3.39 ** | 0.15 ± 0.11 ** | 3.25 ± 0.42 ** |
| F2 | Duro-Tak 87-2677 | 10.00% | - | 16.29 ± 4.61 ** | 0.37 ± 0.06 ** | 3.57 ± 0.51 ** |
| F3 | Duro-Tak 87-2516 | 12.00% | - | 146.54 ± 8.52 | 3.15 ± 0.23 | 1.83 ± 0.18 |
| Code | Formulation Details | Q48h (μg∙cm−2) | Flux (μg∙cm−2∙h−1) | Tlag (h) | ||
|---|---|---|---|---|---|---|
| PSAs | Colchicine Loading | Enhancers | ||||
| F4 | Duro-Tak 87-2516 | 6.00% | - | 52.95 ± 9.05 ** | 1.13 ± 0.12 ** | 1.92 ± 0.19 |
| F5 | Duro-Tak 87-2516 | 8.00% | - | 72.44 ± 8.75 ** | 1.64 ± 0.14 ** | 1.81 ± 0.33 |
| F6 | Duro-Tak 87-2516 | 10.00% | - | 117.44 ± 12.98 | 2.44 ± 0.32 | 1.96 ± 0.21 |
| F7 | Duro-Tak 87-2516 | 12.00% | - | Crystallization after two months at room temperature | ||
| Code | Formulation Details | Q48h (μg∙cm−2) | Flux (μg∙cm−2∙h−1) | Tlag (h) | ||
|---|---|---|---|---|---|---|
| PSAs | Colchicine Loading | Enhancers | ||||
| F6 | Duro-Tak 87-2516 | 10.00% | - | 117.36 ± 12.98 | 2.44 ± 0.32 | 1.96 ± 0.21 |
| F8 | Duro-Tak 87-2516 | 10.00% | 5%AZ | 127.68 ± 8.31 | 2.72 ± 0.41 | 1.69 ± 0.17 |
| F9 | Duro-Tak 87-2516 | 10.00% | 5%OA | 172.62 ± 8.48 ** | 3.59 ± 0.17 ** | 0.89 ± 0.33 ** |
| F10 | Duro-Tak 87-2516 | 10.00% | 5%PG | 120.26 ± 8.47 | 2.55 ± 0.61 | 1.92 ± 0.15 |
| F11 | Duro-Tak 87-2516 | 10.00% | 5%NMP | 78.50 ± 9.76 ** | 1.68 ± 0.39 * | 2.94 ± 0.39 ** |
| F12 | Duro-Tak 87-2516 | 10.00% | 1%OA | 139.94 ± 10.76 * | 3.05 ± 0.28 * | 1.38 ± 0.20 * |
| F13 | Duro-Tak 87-2516 | 10.00% | 3%OA | 123.91 ± 12.31 | 2.71 ± 0.56 | 1.91 ± 0.37 |
| F14 | Duro-Tak 87-2516 | 10.00% | 7%OA | 152.97 ± 9.47 ** | 3.34 ± 0.12 ** | 0.95 ± 0.36 ** |
| F15 | Duro-Tak 87-2516 | 10.00% | 10%OA | 193.65 ± 9.98 ** | 4.14 ± 0.24 ** | 0.82 ± 0.24 ** |
| F16 | Duro-Tak 87-2516 | 10.00% | 7%SLA + 3%PP | 195.86 ± 9.64 ** | 4.27 ± 0.31 ** | 1.82 ± 0.15 |
| F17 | Duro-Tak 87-2516 | 10.00% | 5%OA + 5%PEG | 180.65 ± 12.17 ** | 3.96 ± 0.18 ** | 1.84 ± 0.21 |
| F18 | Duro-Tak 87-2516 | 10.00% | 5%OA + 5%PG | 235.14 ± 14.47 ** | 4.91 ± 0.22 ** | 1.02 ± 0.18 ** |
| Parameters | Oral Administration | Transdermal Administration |
|---|---|---|
| Cmax (ng/L) | 5.38 ± 1.07 | 2.65 ± 0.26 |
| Tmax (h) | 0.50 ± 0.00 | 2.25 ± 0.50 |
| MRT (h) | 4.92 ± 1.25 | 37.47 ± 7.64 |
| AUC0–∞ (ng/L·h) | 12.66 ± 1.55 | 63.06 ± 6.93 |
Publisher’s Note: MDPI stays neutral with regard to jurisdictional claims in published maps and institutional affiliations. |
© 2022 by the authors. Licensee MDPI, Basel, Switzerland. This article is an open access article distributed under the terms and conditions of the Creative Commons Attribution (CC BY) license (https://creativecommons.org/licenses/by/4.0/).
Share and Cite
Lei, Y.; Yang, G.; Du, F.; Yi, J.; Quan, L.; Liu, H.; Zhou, X.; Gong, W.; Han, J.; Wang, Y.; et al. Formulation and Evaluation of a Drug-in-Adhesive Patch for Transdermal Delivery of Colchicine. Pharmaceutics 2022, 14, 2245. https://doi.org/10.3390/pharmaceutics14102245
Lei Y, Yang G, Du F, Yi J, Quan L, Liu H, Zhou X, Gong W, Han J, Wang Y, et al. Formulation and Evaluation of a Drug-in-Adhesive Patch for Transdermal Delivery of Colchicine. Pharmaceutics. 2022; 14(10):2245. https://doi.org/10.3390/pharmaceutics14102245
Chicago/Turabian StyleLei, Yaran, Guobao Yang, Feng Du, Jiahe Yi, Liangzhu Quan, Hanhan Liu, Xun Zhou, Wei Gong, Jing Han, Yuli Wang, and et al. 2022. "Formulation and Evaluation of a Drug-in-Adhesive Patch for Transdermal Delivery of Colchicine" Pharmaceutics 14, no. 10: 2245. https://doi.org/10.3390/pharmaceutics14102245
APA StyleLei, Y., Yang, G., Du, F., Yi, J., Quan, L., Liu, H., Zhou, X., Gong, W., Han, J., Wang, Y., & Gao, C. (2022). Formulation and Evaluation of a Drug-in-Adhesive Patch for Transdermal Delivery of Colchicine. Pharmaceutics, 14(10), 2245. https://doi.org/10.3390/pharmaceutics14102245

