Exploration of Neusilin® US2 as an Acceptable Filler in HPMC Matrix Systems—Comparison of Pharmacopoeial and Dynamic Biorelevant Dissolution Study
Abstract
1. Introduction
2. Materials and Methods
2.1. Materials
2.2. Preparation and Evaluation of Powder Blends for Direct Compression and Matrix Tablets
2.3. Scanning Electron Microscopy (SEM)
2.4. Pharmacopeial Dissolution Study Using USP Apparatus 2
2.5. Biorelevant Dissolution Study Using Golem® v2 Apparatus
2.6. Similarity Factor Analysis and Drug Release Kinetics
2.7. Dynamic Characteristics of the Gel Layer
2.8. Characterization of Gel Layer by Scanning Electron Cryomicroscopy (CryoSEM)
2.9. Multivariate Data Analysis
3. Results and Discussion
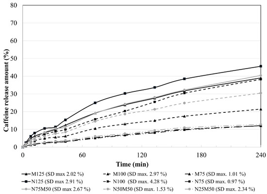
3.1. Pharmacopeial Dissolution Study Using USP Apparatus 2, Similarity Factor Analysis, Drug Release Kinetics, Multivariate Data Analysis
3.2. Investigation of Gel Layer Characteristics (USP Apparatus 2)
3.3. Multivariate Data Analysis (USP Apparatus 2)
3.4. Biorelevant Dissolution Study
4. Conclusions
Author Contributions
Funding
Institutional Review Board Statement
Informed Consent Statement
Data Availability Statement
Conflicts of Interest
References
- Ghori, M.U.; Conway, B.R. Hydrophilic Matrices for Oral Control Drug Delivery. Am. J. Pharm. Sci. 2015, 3, 103–109. [Google Scholar] [CrossRef]
- Mašková, E.; Kubová, K.; Raimi-Abraham, B.T.; Vllasaliu, D.; Vohlidalova, E.; Turanek, J.; Mašek, J. Hypromellose–A traditional pharmaceutical excipient with modern applications in oral and oromucosal drug delivery. J. Control. Release 2020, 324, 695–727. [Google Scholar] [CrossRef] [PubMed]
- Ghimire, M.; Hodges, L.A.; Band, J.; Mullen, A.B. In-vitro and in-vivo erosion profiles of hydroxypropylmethylcellulose (HPMC) matrix tablets. J. Control. Release 2010, 147, 70–75. [Google Scholar] [CrossRef] [PubMed]
- Nokhodchi, A.; Raja, S.; Patel, P.; Asare-Addo, K. The Role of Oral Controlled Release Matrix Tablets in Drug Delivery Systems. BioImpacts 2012, 2, 175–187. [Google Scholar] [CrossRef] [PubMed][Green Version]
- Leskinen, J.T.T.; Hakulinen, M.A.; Kuosmannen, M.; Ketolainen, J.; Abrahmsén-Alami, S.; Lappalainen, R. Monitoring of swelling of hydrophilic polymer matrix tablets by ultrasound techniques. Int. J. Pharm. 2011, 404, 142–147. [Google Scholar] [CrossRef] [PubMed]
- Hentzschel, C.M.; Sakmann, A.; Leopold, C.S. Suitability of various excipients as carrier and coating materials for liquisolid compacts. Drug Dev. Ind. Pharm. 2011, 37, 1200–1207. [Google Scholar] [CrossRef] [PubMed]
- Rowe, R.C.; Sheskey, P.J.; Weller, P.J. Handbook of Pharmaceutical Excipients; The Pharmaceutical Press: London, UK, 2003. [Google Scholar]
- Mutalik, S.; Naha, A.; Usha, A.N.; Ranjith, A.K.; Musmade, P.; Manoj, K.; Prasanna, S. Preparation, in vitro, preclinical and clinical evaluations of once-daily sustained release tablets of aceclofenac. Arch. Pharm. Res. 2007, 30, 222–234. [Google Scholar] [CrossRef]
- Algin, E.Y.; Kilicarslan, M.; Yuksel, N.; Baykara, T. Effects of direct tableting agents on drug release kinetics and swelling behavior of hydrophilic matrix tablets. Turk. J. Med. Sci. 2006, 36, 177–184. [Google Scholar]
- Vaidya, M.P.; Avachat, A.M. Investigation of the impact of insoluble diluents on the compression and release properties of matrix based sustained release tablets. Powder Technol. 2011, 214, 375–381. [Google Scholar] [CrossRef]
- Kostelanská, K.; Gajdziok, J.; Vetchý, D. Porous Carriers Used in Pharmaceutical Technology. Chem. Listy 2018, 112, 840–847. [Google Scholar]
- Nikolakakis, I.; Partheniadis, I. Self-Emulsifying Granules and Pellets: Composition and Formation Mechanisms for Instant or Controlled Release. Pharmaceutics 2017, 9, 50. [Google Scholar] [CrossRef] [PubMed]
- Shete, A.; Salunkhe, A.; Yadav, A.; Sakhare, S.; Doijad, R. Neusilin based liquisolid compacts of albendazole: Design, development, characterization and in vitro anthelmintic activity. J. Res. Pharm. 2019, 23, 441–456. [Google Scholar] [CrossRef]
- Karmarkar, A.; Gonjari, I.; Hosman, A.; Dhabal, P.; Bhis, S. Liquisolid tablets: A novel approach for drug delivery. Int. J. Health Res. 2010, 2, 93–98. [Google Scholar] [CrossRef]
- Fuji Chemical Industries Co., Ltd. Pharmaceuticals. 2019. Available online: http://www.fujichemical.co.jp/english/medical/medicine/neusilin/index.html (accessed on 29 July 2019).
- Khanfar, M.; Fares, M.M.; Salem, M.S.; Qandil, A.M. Mesoporous silica based macromolecules for dissolution enhancement of irbesartan drug using pre-adjusted pH method. Micropor. Mesopor. Mater. 2013, 173, 22–28. [Google Scholar] [CrossRef]
- Vraníková, B.; Gajdziok, J.; Doležel, P. The effect of superdisintegrants on the properties and dissolution profiles of liquisolid tablets containing rosuvastatin. Pharm. Dev. Technol. 2017, 22, 138–147. [Google Scholar] [CrossRef] [PubMed]
- Krupa, A.; Jachowicz, R.; Kurek, M.; Figiel, W.; Kwiecień, M. Preparation of solid self-emulsifying drug delivery systems using magnesium aluminometasilicates and fluid-bed coating process. Powder Technol. 2014, 266, 329–339. [Google Scholar] [CrossRef]
- Kamel, R.; Basha, M. Preparation and in vitro evaluation of rutin nanostructured liquisolid delivery systém. Bull. Fac. Pharm. Cairo Univ. 2013, 51, 261–272. [Google Scholar] [CrossRef]
- Gajdziok, J.; Vranikova, B. Enhancing of drug bioavailability using liquisolid system formulation. Ces. Slov. Farm. 2015, 64, 55–66. [Google Scholar]
- Zeman, J.; Vetchý, D.; Franc, A.; Pavloková, S.; Pitschmann, V.; Matějovský, L. The development of a butyrylcholinesterase porous pellet for innovative detection of cholinesterase inhibitors. Eur. J. Pharm. Sci. 2017, 109, 548–555. [Google Scholar] [CrossRef]
- Lou, H.; Liu, M.; Wang, L.; Mishra, S.R.; Qu, W.; Johnson, J.; Almoazen, H. Development of a mini-tablet of co-grinded prednisone–neusilin complex for pediatric use. AAPS PharmSciTech 2013, 14, 950–958. [Google Scholar] [CrossRef]
- Naiserová, M.; Kubová, K.; Vysloužil, J.; Pavloková, S.; Vetchý, D.; Urbanová, M.; Brus, J.; Vysloužil, J.; Kulich, P. Investigation of Dissolution Behavior HPMC/Eudragit®/Magnesium Aluminometasilicate Oral Matrices Based on NMR Solid-State Spectroscopy and Dynamic Characteristics of Gel Layer. AAPS PharmSciTech 2018, 19, 681–692. [Google Scholar] [CrossRef] [PubMed]
- Pongjanyakul, T.; Rojtanatanya, S. Use of Propranolol–Magnesium Aluminium Silicate Intercalated Complexes as Drug Reservoirs in Polymeric Matrix Tablets. Ind. J. Pharm. Sci. 2012, 74, 292–301. [Google Scholar] [CrossRef] [PubMed]
- Franc, A.; et Sova, P.U.S. U.S. Patent and Trademark Office. Patent No. 7,655,697, 2 February 2010. [Google Scholar]
- Stupák, I.; Pavloková, S.; Vysloužil, J.; Dohnal, J.; Čulen, M. Optimization of dissolution compartments in a biorelevant dissolution apparatus golem v2, supported by multivariate analysis. Molecules 2017, 22, 2042. [Google Scholar] [CrossRef] [PubMed]
- Hussain, R.; Nazeer, T.; Aziz, N.K.; Ali, M. Effects of fasting intervals on gastric volume and pH. Pak. J. Med. Health Sci. 2011, 5, 582–586. [Google Scholar]
- Jiang, Y.; Lin, M.; Fan, G.; Chen, Y.; Li, Z.; Zhao, W.; Hu, J. Rapid determination of granisetron in human plasma by liquid chromatography coupled to tandem mass spectrometry and its application to bioequivalence study. J. Pharm. Biomed. Anal. 2006, 42, 464–473. [Google Scholar] [CrossRef] [PubMed]
- Lydon, A.; Murray, C.; McGinley, J.; Plant, R.; Duggan, F.; Shorten, G. Cisapride does not alter gastric volume or pH in patients undergoing ambulatory surgery. Can. J. Anesth. 1999, 46, 1181. [Google Scholar] [CrossRef]
- Lindahl, A.; Ungell, A.L.; Knutson, L.; Lennernäs, H. Characterization of fluids from the stomach and proximal jejunum in men and women. Pharm. Res. 1997, 14, 497–502. [Google Scholar] [CrossRef]
- Youngberg, C.A.; Berardi, R.R.; Howatt, W.F.; Hyneck, M.L.; Amidon, G.L.; Meyer, J.H.; Dressman, J.B. Comparison of gastrointestinal pH in cystic fibrosis and healthy subjects. Dig. Dis. Sci. 1987, 32, 472–480. [Google Scholar] [CrossRef]
- Aulton, M.E.; Taylor, K.M. Aulton’s pharmaceutics. Des. Manuf. Med. 2007, 3, 176–178. [Google Scholar]
- Ewe, K.; Press, A.G.; Bollen, S.; Schuhn, I. Gastric emptying of indigestible tablets in relation to composition and time of ingestion of meals studied by metal detector. Dig. Dis. Sci. 1991, 36, 146–152. [Google Scholar] [CrossRef]
- Fadda, H.M.; McConnell, E.L.; Short, M.D.; Basit, A.W. Meal-induced acceleration of tablet transit through the human small intestine. Pharm. Res. 2009, 26, 356–360. [Google Scholar] [CrossRef]
- Costa, P.; Lobo, J.M.S. Modeling and comparison of dissolution profiles. Eur. J. Pharm. Sci. 2001, 13, 123–133. [Google Scholar] [CrossRef]
- Li, H.; Hardy, R.J.; Gu, X. Effect of drug solubility on polymer hydration and drug dissolution from polyethylene oxide (PEO) matrix tablets. AAPS PharmSciTech 2008, 9, 437–443. [Google Scholar] [CrossRef] [PubMed]
- Pěček, D.; Štýbnarová, M.; Mašková, E.; Doležel, P.; Kejdušová, M.; Vetchý, D. The Use of Texture Analysis in Development and Evaluation of Matrix Tablets with Prolonged Drug Release. Chem. Listy 2014, 108, 483–487. [Google Scholar]
- Thoorens, G.; Krier, F.; Leclercq, B.; Carlin, B.; Evrard, B. Microcrystalline cellulose, a direct compression binder in a quality by design environment-A review. Int. J. Pharm. 2014, 473, 64–72. [Google Scholar] [CrossRef]
- Liu, L.X.; Marziano, I.; Bentham, A.C.; Litster, J.D.; White, E.T.; Howes, T. Effect of particle properties on the flowability of ibuprofen powders. Int. J. Pharm. 2008, 362, 109–117. [Google Scholar] [CrossRef]
- Kanojia, N.; Kaur, L.; Nagpal, M.; Bala, R. Modified excipients in novel drug delivery: Need of the day. J. Pharm. Technol. Res. Manag. 2013, 1, 81–107. [Google Scholar] [CrossRef]
- Adebisi, A.O.; Conway, B.R.; Asare-Addo, K. The Influence of Fillers on Theophylline Release from Clay Matrices. Am. J. Pharm. Sci. 2015, 3, 120–125. [Google Scholar]
- Patel, V.F.; Patel, N.M. Statistical evaluation of influence of viscosity and content of polymer on dipyridamole release from floating matrix tablets: A technical note. AAPS PharmSciTech 2007, 8, 140–144. [Google Scholar] [CrossRef]
- Lotfipour, F.; Nokhodchi, A.; Saeedi, M.; Norouzi-Sani, S.; Sharbafi, J.; Siahi-Shadbad, M.R. The effect of hydrophilic and lipophilic polymers and fillers on the release rate of atenolol from HPMC matrices. II Farmaco 2004, 59, 819–825. [Google Scholar] [CrossRef]
- Pygall, P.; Melia, S.R.; Timmins, C.D. Hydrophilic matrix tablets for oral controlled release. In Design and Evaluation of Hydroxypropyl Methylcellulose Matrix Tablets for Oral Controlled Release: A Historical Perspective; Ford, J.L., Ed.; Springer: New York, NY, USA, 2014; Volume 2, pp. 17–51. [Google Scholar]
- Zuleger, S.; Lippold, B.C. Polymer particle erosion controlling drug release. I. Factors influencing drug release and characterization of the release mechanism. Int. J. Pharm. 2001, 217, 139–152. [Google Scholar] [CrossRef]
- Kawashima, Y.; Takecuchi, H.; Hino, T.; Niwa, T.; Lin, T.L.; Sekigawa, F. Preparation of a Directly Tabletable Controlled-Release Matrix Filler with Microcrystalline Cellulose Modified with Hydroxypropymethylcellulose. Chem. Pharm. Bull. 1993, 41, 2156–2160. [Google Scholar] [CrossRef][Green Version]
- Gao, P.; Skoug, J.W.; Nixon, P.R.; Ju, T.R.; Stemm, N.L.; Sung, K.C. Swelling of hydroxypropyl methylcellulose matrix tablets. 2. Mechanistic study of the influence of formulation variables on matrix performance and drug release. J. Pharm. Sci. 1996, 85, 732–740. [Google Scholar] [CrossRef] [PubMed]
- Tukaram, B.N.; Rajagopalan, I.V.; Shartchandra, P.S.I. The Effects of Lactose, Microcrystalline Cellulose and Dicalcium Phosphate on Swelling and Erosion of Compressed HPMC Matrix Tablets: Texture Analyzer. Iran. J. Pharm. Res. 2010, 9, 349–358. [Google Scholar] [CrossRef]
- Colombo, P.; Bettini, R.; Santi, P.; Peppas, N.A. Swellable matrices for controlled drug delivery: Gel-layer behaviour, mechanisms and optimal performance. Pharm. Sci. Technol. Today 2000, 3, 198–204. [Google Scholar] [CrossRef]
- Scheubel, E.; Lindenberg, M.; Beyssac, E.; Cardot, J.M. Small volume dissolution testing as a powerful method during pharmaceutical development. Pharmaceutics 2010, 2, 351–363. [Google Scholar] [CrossRef]
- Ardelean, M.; Stoicescu, S.M.; Andrei, C.L.; Lupuliasa, D.; Viziteu, H.M.; Miron, D.S.; Mitu, M.A. Comparison of the in vitro dissolution profiles for a high solubility drug from immediate-release formulations using USP apparatuses 3 and 4. Farmacia 2018, 66, 477–482. [Google Scholar] [CrossRef]
- Čulen, M.; Tuszyński, P.K.; Polak, S.; Jachowicz, R.; Mendyk, A.; Dohnal, J. Development of in vitro-in vivo correlation/relationship modeling approaches for immediate release formulations using compartmental dynamic dissolution data from “golem”: A novel apparatus. BioMed Res. Int. 2015, 2015, 328628. [Google Scholar] [CrossRef]
- Pezzini, B.R.; Issa, M.G.; Duque, M.D.; Ferraz, H.G. Applications of USP apparatus 3 in assessing the in vitro release of solid oral dosage forms. Braz. J. Pharm. Sci. 2015, 51, 265–272. [Google Scholar] [CrossRef]
- Emara, L.H.; Taha, N.F.; Mursi, N.M. Investigation of the effect of different flow-through cell designs on the release of diclofenac sodium SR tablets. Dissolution Technol. 2009, 16, 23–31. [Google Scholar] [CrossRef]









| Sample ** | Caffeine | HPMC K4M | MCC PH 102 | Neusilin® US2 | ||||
|---|---|---|---|---|---|---|---|---|
| (mg) | (%) | (mg) | (%) | (mg) | (%) | (mg) | (%) | |
| M125 | 100.0 | 38.8 | 25.0 | 9.7 | 125.0 | 48.5 | 0.0 | 0.0 |
| M100 | 100.0 | 38.8 | 50.0 | 19.4 | 100.0 | 38.8 | 0.0 | 0.0 |
| M75 | 100.0 | 38.8 | 75.0 | 29.1 | 75.0 | 29.1 | 0.0 | 0.0 |
| N125 | 100.0 | 38.8 | 25.0 | 9.7 | 0.0 | 0.0 | 125.0 | 48.5 |
| N100 | 100.0 | 38.8 | 50.0 | 19.4 | 0.0 | 0.0 | 100.0 | 38.8 |
| N75 | 100.0 | 38.8 | 75.0 | 29.1 | 0.0 | 0.0 | 75.0 | 29.1 |
| N75M50 | 100.0 | 38.8 | 25.0 | 9.7 | 50.0 | 19.4 | 75.0 | 29.1 |
| N50M50 | 100.0 | 38.8 | 50.0 | 19.4 | 50.0 | 19.4 | 50.0 | 19.4 |
| N25M50 | 100.0 | 38.8 | 75.0 | 29.1 | 50.0 | 19.4 | 25.0 | 9.7 |
| Sample | Hausner Ratio ± SD | Average Weight ± SD [mg] | Hardness SD ± [N] | Friability [%] | Average Content ± SD [%] |
|---|---|---|---|---|---|
| M125 | 1.33 ± 0.04 | 256.7 ± 0.0010 | 129.8 ± 3.80 | 0.30 | 103.13 ± 1.75 |
| M100 | 1.37 ± 0.01 | 251.9 ± 0.0038 | 107.8 ± 3.90 | 0.28 | 104.65 ± 3.08 |
| M75 | 1.39 ± 0.00 | 256.5 ± 0.0011 | 133.0 ± 4.00 | 0.14 | 108.49 ± 3.67 |
| N125 | 1.28 ± 0.00 | 261.7 ± 0.0035 | 118.2 ± 3.30 | 0.18 | 103.01± 2.57 |
| N100 | 1.30 ± 0.00 | 250.3 ± 0.0031 | 98.2 ± 5.90 | 0.19 | 104.93 ± 1.48 |
| N75 | 1.30 ± 0.01 | 250.1 ± 0.0020 | 105.1 ± 6.70 | 0.13 | 103.78 ± 1.24 |
| N75M50 | 1.29 ± 0.01 | 255.6 ± 0.0023 | 156.0 ± 5.90 | 0.23 | 103.77 ± 3.99 |
| N50M50 | 1.32 ± 0.01 | 251.3 ± 0.0019 | 142.5 ± 6.40 | 0.21 | 108.07 ± 2.71 |
| N25M50 | 1.37 ± 0.01 | 257.4 ± 0.0021 | 139.2 ± 5.90 | 0.23 | 107.54 ± 4.61 |
| Determination Coefficients for Mathematical Models | ||||||||
|---|---|---|---|---|---|---|---|---|
| Higuchi | Korsmeyer– | Zero- | First- | Weibull | Included Time Interval (min) | |||
| Peppas | Order | Order | ||||||
| Sample | R2 | R2 | Release Exponent n | R2 | R2 | R2 | b | |
| M125 | 0.9572 | 0.9983 | 0.515 | 0.2929 | 0.9801 | 0.9979 | 0.73 | 540 |
| M100 | 0.921 | 0.9928 | 0.485 | 0.1304 | 0.9865 | 0.9983 | 0.78 | 540 |
| M75 | 0.9375 | 0.9924 | 0.508 | 0.26 | 0.9906 | 0.9975 | 0.82 | 540 |
| N125 | xx | 0.99 | 0.307 | xx | 0.8842 | 0.9965 | 0.52 | 240 |
| N100 | 0.8125 | 0.9924 | 0.561 | xx | 0.9902 | 0.9955 | 0.89 | 240 |
| N75 | 0.8821 | 0.9899 | 0.573 | 0.1626 | 0.9948 | 0.9944 | 1.01 | 240 |
| N75M50 | 0.9916 | 0.9991 | 0.568 | 0.6066 | 0.9861 | 0.9997 | 0.73 | 720 |
| N50M50 | 0.9963 | 0.9978 | 0.543 | 0.6602 | 0.9832 | 0.9999 | 0.66 | 720 |
| N25M50 | 0.9821 | 0.9915 | 0.494 | 0.5366 | 0.9885 | 0.999 | 0.77 | 720 |
| Dissolution Apparatus. | USP 2 | Biorelevant | USP 2 vs. Biorelevant | ||||
|---|---|---|---|---|---|---|---|
| Compared Samples | f2 | f2 | Compared Samples | f2 | |||
| M125/N75M50 | 73.05 | S * | 95.29 | S | M125/M125 | 47.48 | N |
| M125/N125 | 37.94 | N ** | 66.94 | S | N75M50/N75M50 | 58.66 | S |
| N75M50/N125 | 34.35 | N | 67.81 | S | N125/N125 | 29.28 | N |
| M100/N50M50 | 69.52 | S | 66.24 | S | M100/M100 | 40.01 | N |
| M100/N100 | 45.96 | N | 55.19 | S | N50M50/N50M50 | 55.45 | S |
| N50M50/N100 | 47.2 | N | 73.14 | S | N100/N100 | 40.31 | N |
| M75/N25M50 | 83.63 | S | 94.54 | S | M75/M75 | 36.31 | N |
| M75/N75 | 68.52 | S | 99.29 | S | N25M50/N25M50 | 37.9 | N |
| N25M50/N75 | 61.95 | S | 96.87 | S | N75/N75 | 38.98 | N |
| Sample | Penetration Force (N) | ||||||||
|---|---|---|---|---|---|---|---|---|---|
| Time Point (min) | 15 | 30 | 60 | 120 | 180 | 240 | 300 | 360 | Max. SD |
| M125 | 0.72 | 0.71 | 0.69 | 0.60 | 0.71 | 0.64 | 0.61 | 0.65 | 0.13 |
| M100 | 0.69 | 0.68 | 0.60 | 0.61 | 0.58 | 0.60 | 0.57 | 0.59 | 0.09 |
| M75 | 0.76 | 0.60 | 0.58 | 0.57 | 0.55 | 0.61 | 0.71 | 0.56 | 0.09 |
| N125 | 0.63 | 0.62 | 0.67 | 0.68 | 0.70 | 0.74 | 0.72 | 0.72 | 0.04 |
| N100 | 0.63 | 0.59 | 0.61 | 0.71 | 0.72 | 0.71 | 0.73 | 0.66 | 0.06 |
| N75 | 0.69 | 0.65 | 0.58 | 0.61 | 0.63 | 0.65 | 0.71 | 0.73 | 0.06 |
| N75M50 | 0.76 | 0.63 | 0.64 | 0.66 | 0.68 | 0.69 | 0.64 | 0.63 | 0.05 |
| N50M50 | 0.68 | 0.60 | 0.58 | 0.58 | 0.57 | 0.55 | 0.57 | 0.55 | 0.08 |
| N25M50 | 0.68 | 0.59 | 0.58 | 0.64 | 0.58 | 0.55 | 0.52 | 0.51 | 0.04 |
| Determination Coefficients for Mathematical Models | ||||||||
|---|---|---|---|---|---|---|---|---|
| Higuchi | Korsmeyer—Peppas | Zero-Order | First-Order | Weibull | Included Time Interval (min) | |||
| Sample | R2 | R2 | Release Exponent n | R2 | R2 | R2 | b | |
| M125 | 0.9655 | 0.9966 | 0.64 (0.61; 0.68) | 0.8862 | 0.9889 | 0.9973 | 0.73 (0.62; 0.85) | 240 |
| M100 | 0.9669 | 0.9912 | 0.63 (0.57; 0.68) | 0.8654 | 0.9722 | 0.9901 | 0.63 | 240 |
| M75 | 0.9426 | 0.9931 | 0.70 (0.64; 0.76) | 0.9243 | 0.9906 | 0.9935 | 0.81 (0.62; 0.99) | 240 |
| N125 | 0.9685 | 0.9884 | 0.61 (0.55; 0.68) | 0.8450 | 0.9873 | 0.9920 | 0.80 (0.62; 0.97) | 240 |
| N100 | 0.9336 | 0.9962 | 0.73 (0.69; 0.78) | 0.9463 | 0.9891 | 0.9957 | 0.73 | 240 |
| N75 | 0.9356 | 0.9949 | 0.72 (0.67; 0.78) | 0.9393 | 0.9885 | 0.9949 | 0.72 | 240 |
| N75M50 | 0.9530 | 0.9967 | 0.68 (0.64; 0.72) | 0.9145 | 0.9931 | 0.9969 | 0.79 (0.69; 0.90) | 240 |
| N50M50 | 0.9499 | 0.9943 | 0.68 (0.63; 0.73) | 0.9135 | 0.9942 | 0.9967 | 0.84 (0.71; 0.97) | 240 |
| N25M50 | 0.9569 | 0.9925 | 0.66 (0.60; 0.72) | 0.8948 | 0.9875 | 0.9930 | 0.76 (0.58; 0.95) | 240 |
Publisher’s Note: MDPI stays neutral with regard to jurisdictional claims in published maps and institutional affiliations. |
© 2022 by the authors. Licensee MDPI, Basel, Switzerland. This article is an open access article distributed under the terms and conditions of the Creative Commons Attribution (CC BY) license (https://creativecommons.org/licenses/by/4.0/).
Share and Cite
Bílik, T.; Vysloužil, J.; Naiserová, M.; Muselík, J.; Pavelková, M.; Mašek, J.; Čopová, D.; Čulen, M.; Kubová, K. Exploration of Neusilin® US2 as an Acceptable Filler in HPMC Matrix Systems—Comparison of Pharmacopoeial and Dynamic Biorelevant Dissolution Study. Pharmaceutics 2022, 14, 127. https://doi.org/10.3390/pharmaceutics14010127
Bílik T, Vysloužil J, Naiserová M, Muselík J, Pavelková M, Mašek J, Čopová D, Čulen M, Kubová K. Exploration of Neusilin® US2 as an Acceptable Filler in HPMC Matrix Systems—Comparison of Pharmacopoeial and Dynamic Biorelevant Dissolution Study. Pharmaceutics. 2022; 14(1):127. https://doi.org/10.3390/pharmaceutics14010127
Chicago/Turabian StyleBílik, Tomáš, Jakub Vysloužil, Martina Naiserová, Jan Muselík, Miroslava Pavelková, Josef Mašek, Drahomíra Čopová, Martin Čulen, and Kateřina Kubová. 2022. "Exploration of Neusilin® US2 as an Acceptable Filler in HPMC Matrix Systems—Comparison of Pharmacopoeial and Dynamic Biorelevant Dissolution Study" Pharmaceutics 14, no. 1: 127. https://doi.org/10.3390/pharmaceutics14010127
APA StyleBílik, T., Vysloužil, J., Naiserová, M., Muselík, J., Pavelková, M., Mašek, J., Čopová, D., Čulen, M., & Kubová, K. (2022). Exploration of Neusilin® US2 as an Acceptable Filler in HPMC Matrix Systems—Comparison of Pharmacopoeial and Dynamic Biorelevant Dissolution Study. Pharmaceutics, 14(1), 127. https://doi.org/10.3390/pharmaceutics14010127

