Photodegradation of Bexarotene and Its Implication for Cytotoxicity
Abstract
:1. Introduction
2. Experimental
2.1. Materials and Methods
2.1.1. Reagents
2.1.2. Preparation of Reagent Solutions
2.1.3. Bexarotene Gel Preparation (1 mg g−1)
2.1.4. Photostability Tests of Bexarotene in Ethanolic Solution
2.2. Photostability Tests of Bexarotene in Gel Formulation
2.2.1. Preparation of Chemical Filters
2.2.2. Preparation of Paste with Titanium(IV) Oxide and Zinc(II) Oxide at 5% Concentration
2.2.3. Preparation of Gels Containing Bexarotene and UV Filters
2.2.4. Photostability Tests of Bexarotene in Gel Preparation
3. UPLC-MS/MS Analysis
4. Method Validation
5. In Vitro Cytotoxicity Assays
5.1. Investigated Solutions
5.2. Cell Lines and Cell Growth Inhibitory Assay
5.3. In Silico Toxicity Prediction
6. Statistical Analysis
7. Results and Discussion
8. Photostability Studies
Identification of Degradation Photoproducts
9. UV Irradiation of Bexarotene in Solution in the Presence of UV Absorbers
10. UV Irradiation of Bexarotene in Formulations
10.1. In Vitro Antiproliferative Assays
10.2. In Silico Toxicity Predictions
11. Conclusions
Author Contributions
Funding
Institutional Review Board Statement
Conflicts of Interest
References
- ICH. Guidance for Industry Q1B Photostability Testing of New Drug Substances and Products. 1996. Available online: https://www.fda.gov/regulatory-information/search-fda-guidance-documents/q1b-photostability-testing-new-drug-substances-and-products (accessed on 11 January 2021).
- Roy, J. Pharmaceutical Impurities—A Mini-Review. AAPS PharmSciTech 2002, 3, 1–8. [Google Scholar] [CrossRef]
- Jamrógiewicz, M.; Pieńkowska, K. Recent Breakthroughs in the Stability Testing of Pharmaceutical Compounds. TrAC Trends Anal. Chem. 2019, 111, 118–127. [Google Scholar] [CrossRef]
- Thielitz, A.; Gollnick, H. Topical Retinoids in Acne Vulgaris: Update on Efficacy and Safety. Am. J. Clin. Dermatol. 2008, 9, 369–381. [Google Scholar] [CrossRef]
- Mukherjee, S.; Date, A.; Patravale, V.; Korting, H.C.; Roeder, A.; Weindl, G. Retinoids in the Treatment of Skin Aging: An Overview of Clinical Efficacy and Safety. Clin. Interv. Aging 2006, 1, 327–348. [Google Scholar] [CrossRef]
- Bushue, N.; Wan, Y.J.Y. Retinoid Pathway and Cancer Therapeutics. Adv. Drug Deliv. Rev. 2010, 62, 1285–1298. [Google Scholar] [CrossRef] [PubMed] [Green Version]
- Balak, D.M.W. Topical Trifarotene: A New Retinoid. Br. J. Dermatol. 2018, 179, 231–232. [Google Scholar] [CrossRef] [PubMed]
- Scott, L.J. Trifarotene: First Approval. Drugs 2019, 79, 1905–1909. [Google Scholar] [CrossRef]
- Baertschi, S.W.; Clapham, D.; Foti, C.; Kleinman, M.H.; Kristensen, S.; Reed, R.A.; Templeton, A.C.; Tønnesen, H.H. Implications of In-Use Photostability: Proposed Guidance for Photostability Testing and Labeling to Support the Administration of Photosensitive Pharmaceutical Products, Part 2: Topical Drug Product. J. Pharm. Sci. 2015, 104, 2688–2701. [Google Scholar] [CrossRef] [PubMed]
- Kryczyk-Poprawa, A.; Kwiecień, A.; Opoka, W. Photostability of Topical Agents Applied to the Skin: A Review. Pharmaceutics 2020, 12, 10. [Google Scholar] [CrossRef] [Green Version]
- Tolleson, W.H.; Cherng, S.H.; Xia, Q.; Boudreau, M.; Yin, J.J.; Wamer, W.G.; Howard, P.C.; Yu, H.; Fu, P.P. Photodecomposition and Phototoxicity of Natural Retinoids. Int. J. Environ. Res. Public Health 2005, 2, 147–155. [Google Scholar] [CrossRef] [Green Version]
- Fu, P.P.; Cheng, S.H.; Coop, L.; Xia, Q.; Culp, S.J.; Tolleson, W.H.; Wamer, W.G.; Howard, P.C. Photoreaction, Phototoxicity, and Photocarcinogenicity of Retinoids. J. Environ. Sci Health Part. C Environ. Carcinog. Ecotoxicol. Rev. 2003, 21, 165–197. [Google Scholar] [CrossRef]
- Khalil, S.; Bardawil, T.; Stephan, C.; Darwiche, N.; Abbas, O.; Kibbi, A.G.; Nemer, G.; Kurban, M. Retinoids: A Journey from the Molecular Structures and Mechanisms of Action to Clinical Uses in Dermatology and Adverse Effects. J. Dermatol. Treat. 2017, 28, 684–696. [Google Scholar] [CrossRef]
- EMEA. European Medical Agency Targretin Review. Available online: https://www.ema.europa.eu/en/medicines/human/EPAR/targretin (accessed on 11 January 2021).
- Hurst, R.E. Bexarotene Ligand Pharmaceuticals. Curr. Opin. Investig. Drugs 2000, 1, 514–523. [Google Scholar]
- Altucci, L.; Gronemeyer, H. The Promise of Retinoids to Fight against Cancer. Nat. Rev. Cancer 2001, 1, 181–193. [Google Scholar] [CrossRef] [PubMed]
- Ramlau, R.; Zatloukal, P.; Jassem, J.; Schwarzenberger, P.; Orlov, S.V.; Gottfried, M.; Pereira, J.R.; Temperley, G.; Negro-Vilar, R.; Rahal, S.; et al. Randomized Phase III Trial Comparing Bexarotene (L1069-49)/Cisplatin/Vinorelbine with Cisplatin/Vinorelbine in Chemotherapy-Naïve Patients with Advanced or Metastatic Non-Small-Cell Lung Cancer: SPIRIT I. J. Clin. Oncol. 2008, 26, 1886–1892. [Google Scholar] [CrossRef]
- Blumenschein, G.R.; Khuri, F.R.; Von Pawel, J.; Gatzemeier, U.; Miller, W.H.; Jotte, R.M.; Le Treut, J.; Sun, S.L.; Zhang, J.K.; Dziewanowska, Z.E.; et al. Phase III Trial Comparing Carboplatin, Paclitaxel, and Bexarotene with Carboplatin and Paclitaxel in Chemotherapy-Naïve Patients with Advanced or Metastatic Non-Small-Cell Lung Cancer: SPIRIT II. J. Clin. Oncol. 2008, 26, 1879–1885. [Google Scholar] [CrossRef]
- Esteva, F.J.; Glaspy, J.; Baidas, S.; Laufman, L.; Hutchins, L.; Dickler, M.; Tripathy, D.; Cohen, R.; DeMichele, A.; Yocum, R.C.; et al. Multicenter Phase II Study of Oral Bexarotene for Patients with Metastatic Breast Cancer. J. Clin. Oncol. 2003, 21, 999–1006. [Google Scholar] [CrossRef]
- Dragnev, K.H.; Petty, W.J.; Shah, S.; Biddle, A.; Desai, N.B.; Memoli, V.; Rigas, J.R.; Dmitrovsky, E. Bexarotene and Erlotinib for Aerodigestive Tract Cancer. J. Clin. Oncol. 2005, 23, 8757–8764. [Google Scholar] [CrossRef]
- Tsai, D.E.; Luger, S.M.; Andreadis, C.; Vogl, D.T.; Kemner, A.; Potuzak, M.; Goradia, A.; Loren, A.W.; Perl, A.E.; Schuster, S.J.; et al. A Phase I Study of Bexarotene, a Retinoic X Receptor Agonist, in Non-M3 Acute Myeloid Leukemia. Clin. Cancer Res. 2008, 14, 5619–5625. [Google Scholar] [CrossRef] [Green Version]
- Certo, M.; Endo, Y.; Ohta, K.; Sakurada, S.; Bagetta, G.; Amantea, D. Activation of RXR/PPARγ Underlies Neuroprotection by Bexarotene in Ischemic Stroke. Pharmacol. Res. 2015, 102, 298–307. [Google Scholar] [CrossRef]
- Zhong, J.; Cheng, C.; Liu, H.; Huang, Z.; Wu, Y.; Teng, Z.; He, J.; Zhang, H.; Wu, J.; Cao, F.; et al. Bexarotene Protects against Traumatic Brain Injury in Mice Partially through Apolipoprotein E. Neuroscience 2017, 343, 434–444. [Google Scholar] [CrossRef] [PubMed]
- McFarland, K.; Spalding, T.A.; Hubbard, D.; Ma, J.N.; Olsson, R.; Burstein, E.S. Low Dose Bexarotene Treatment Rescues Dopamine Neurons and Restores Behavioral Function in Models of Parkinson’s Disease. ACS Chem. Neurosci. 2013, 4, 1430–1438. [Google Scholar] [CrossRef] [Green Version]
- Bomben, V.; Holth, J.; Reed, J.; Cramer, P.; Landreth, G.; Noebels, J. Bexarotene Reduces Network Excitability in Models of Alzheimer’s Disease and Epilepsy. Neurobiol. Aging 2014, 35, 2091–2095. [Google Scholar] [CrossRef] [Green Version]
- Litzenburger, B.C.; Brown, P.H. Advances in Preventive Therapy for Estrogen-Receptor-Negative Breast Cancer. Curr. Breast Cancer Rep. 2014, 6, 96–109. [Google Scholar] [CrossRef] [PubMed] [Green Version]
- Trawiński, J.; Skibiński, R. Studies on Photodegradation Process of Psychotropic Drugs: A Review. Environ. Sci. Pollut. Res. 2017, 24, 1152–1199. [Google Scholar] [CrossRef] [Green Version]
- Melo, S.R.D.O.; Homem-de-Mello, M.; Silveira, D.; Simeoni, L.A. Advice on Degradation Products in Pharmaceuticals: A Toxicological Evaluation. PDA J. Pharm. Sci. Technol. 2014, 68, 221–238. [Google Scholar] [CrossRef]
- Wingert, N.R.; Arbo, M.D.; Göethel, G.; da Costa, B.; Altknecht, L.F.; Garcia, S.C.; Steppe, M. In Vitro Toxicity Assessment of Rivaroxaban Degradation Products and Kinetic Evaluation to Decay Process. Drug Chem. Toxicol. 2019, 42, 509–518. [Google Scholar] [CrossRef]
- Rim, K.-T. In Vitro Models for Chemical Toxicity: Review of Their Applications and Prospects. Toxicol. Environ. Health Sci. 2019, 11, 94–103. [Google Scholar] [CrossRef]
- Osiris Property Explorer. Available online: https://www.organic-chemistry.org/prog/peo/ (accessed on 11 January 2021).
- Szymura-Oleksiak, J.; Kryczyk, A.; Szafarz, M.; Jawień, W.; Łazewska, D.; Kieć-Kononowicz, K. Binding of 1-[3-(4-Tert-Butyl-Phenoxy)Propyl]Piperidine, a New Non Imidazole Histamine H3 Receptor Antagonist to Bovine Serum Albumin. Acta Pol. Pharm. Drug Res. 2012, 69, 1043–1047. [Google Scholar]
- Breneman, D.; Duvic, M.; Kuzel, T.; Yocum, R.; Truglia, J.; Stevens, V.J. Phase 1 and 2 Trial of Bexarotene Gel for Skin-Directed Treatment of Patients with Cutaneous T-Cell Lymphoma. Arch. Dermatol. 2002, 138, 325–332. [Google Scholar] [CrossRef] [Green Version]
- FDA. Highlights of Prescribing Information, Targretin Safely and Effectively. 1999. Available online: https://www.accessdata.fda.gov/drugsatfda_docs/label/2015/021055s010lbl.pdf (accessed on 11 January 2021).
- Vahlquist, A.; Duvic, M. Retinoids and Carotenoids in Dermatology; CRC Press: Boca Raton, FL, USA, 2007. [Google Scholar] [CrossRef]
- Kryczyk-Poprawa, A.; Żmudzki, P.; Koczurkiewicz, P.; Pękala, E.; Hubicka, U. Photostability of Terbinafine Under UVA Irradiation: The Effect of UV Absorbers. Photochem. Photobiol. 2019, 95, 911–923. [Google Scholar] [CrossRef]
- Farner Budarz, J.; Turolla, A.; Piasecki, A.F.; Bottero, J.Y.; Antonelli, M.; Wiesner, M.R. Influence of Aqueous Inorganic Anions on the Reactivity of Nanoparticles in TiO2 Photocatalysis. Langmuir 2017, 33, 2770–2779. [Google Scholar] [CrossRef] [PubMed]
- Bhirud, S.B.; Sarin, G.S.; Sharma, B.K.; Gera, P. Process for the Preparation of Highly Pure Bexarotene. WO2011141928A1, 9 March 2011. [Google Scholar]
- Kryczyk-Poprawa, A.; Zupkó, I.; Bérdi, P.; Żmudzki, P.; Popiół, J.; Muszyńska, B.; Opoka, W. Photostability Testing of a Third-Generation Retinoid—Tazarotene in the Presence of Uv Absorbers. Pharmaceutics 2020, 12, 1–20. [Google Scholar] [CrossRef]





| Compound | RT [min] | [M+H+] | Fragmentation Ions | Structure |
|---|---|---|---|---|
| BEXP-1 | 8.49 | 425.1 [M-H]− 409.1 [M+H-H2O]+ | ESI(−): 304.8, 348.01 ESI(+): 218.1, 293.1, 305.2, 323.2, 339.2, 365.1, 381.1 | ![]() |
| BEXP-2 | 9.03 | 351.2 | 149.0, 229.2, 239.1, 253.1, 267.1, 281.1, 297.1 | ![]() |
| BEXP-3 | 9.11 | 365.1 | 149.0, 239.1, 253.1, 267.1, 281.1, 297.1 | ![]() |
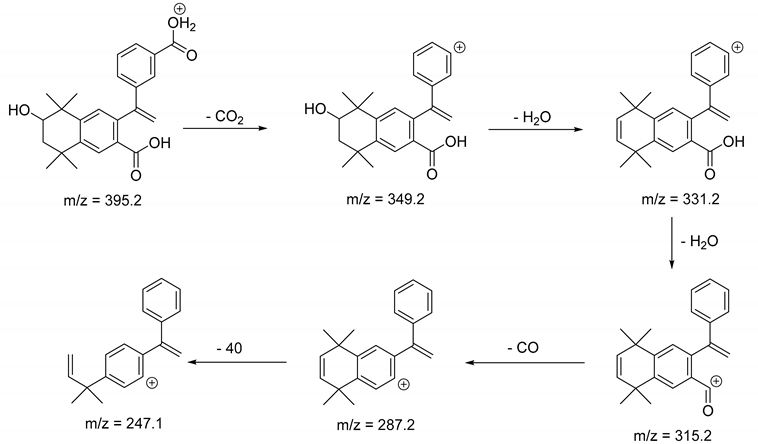
| BEXP-4 | 9.48 | 395.2 | 247.1, 287.2, 315.2, 331.2, 349.2 | ![]() |
| BEX | 9.99 | 349.2 | 142.0, 227.2, 237.1, 251.1, 265.1, 279.1, 295.2 | ![]() |
| Bexarotene |
|---|
![]() |
BEXP-1![]() |
BEXP-2 and BEXP-3![]() |
BEXP-4![]() |
Publisher’s Note: MDPI stays neutral with regard to jurisdictional claims in published maps and institutional affiliations. |
© 2021 by the authors. Licensee MDPI, Basel, Switzerland. This article is an open access article distributed under the terms and conditions of the Creative Commons Attribution (CC BY) license (https://creativecommons.org/licenses/by/4.0/).
Share and Cite
Kryczyk-Poprawa, A.; Zupkó, I.; Bérdi, P.; Żmudzki, P.; Piotrowska, J.; Pękala, E.; Berdys, A.; Muszyńska, B.; Opoka, W. Photodegradation of Bexarotene and Its Implication for Cytotoxicity. Pharmaceutics 2021, 13, 1220. https://doi.org/10.3390/pharmaceutics13081220
Kryczyk-Poprawa A, Zupkó I, Bérdi P, Żmudzki P, Piotrowska J, Pękala E, Berdys A, Muszyńska B, Opoka W. Photodegradation of Bexarotene and Its Implication for Cytotoxicity. Pharmaceutics. 2021; 13(8):1220. https://doi.org/10.3390/pharmaceutics13081220
Chicago/Turabian StyleKryczyk-Poprawa, Agata, István Zupkó, Péter Bérdi, Paweł Żmudzki, Joanna Piotrowska, Elżbieta Pękala, Aleksandra Berdys, Bożena Muszyńska, and Włodzimierz Opoka. 2021. "Photodegradation of Bexarotene and Its Implication for Cytotoxicity" Pharmaceutics 13, no. 8: 1220. https://doi.org/10.3390/pharmaceutics13081220
APA StyleKryczyk-Poprawa, A., Zupkó, I., Bérdi, P., Żmudzki, P., Piotrowska, J., Pękala, E., Berdys, A., Muszyńska, B., & Opoka, W. (2021). Photodegradation of Bexarotene and Its Implication for Cytotoxicity. Pharmaceutics, 13(8), 1220. https://doi.org/10.3390/pharmaceutics13081220










