Lipophilic Polyamines as Promising Components of Liposomal Gene Delivery Systems
Abstract
1. Introduction
2. Cationic Amphiphiles Based on Polyamines or Amino Acids
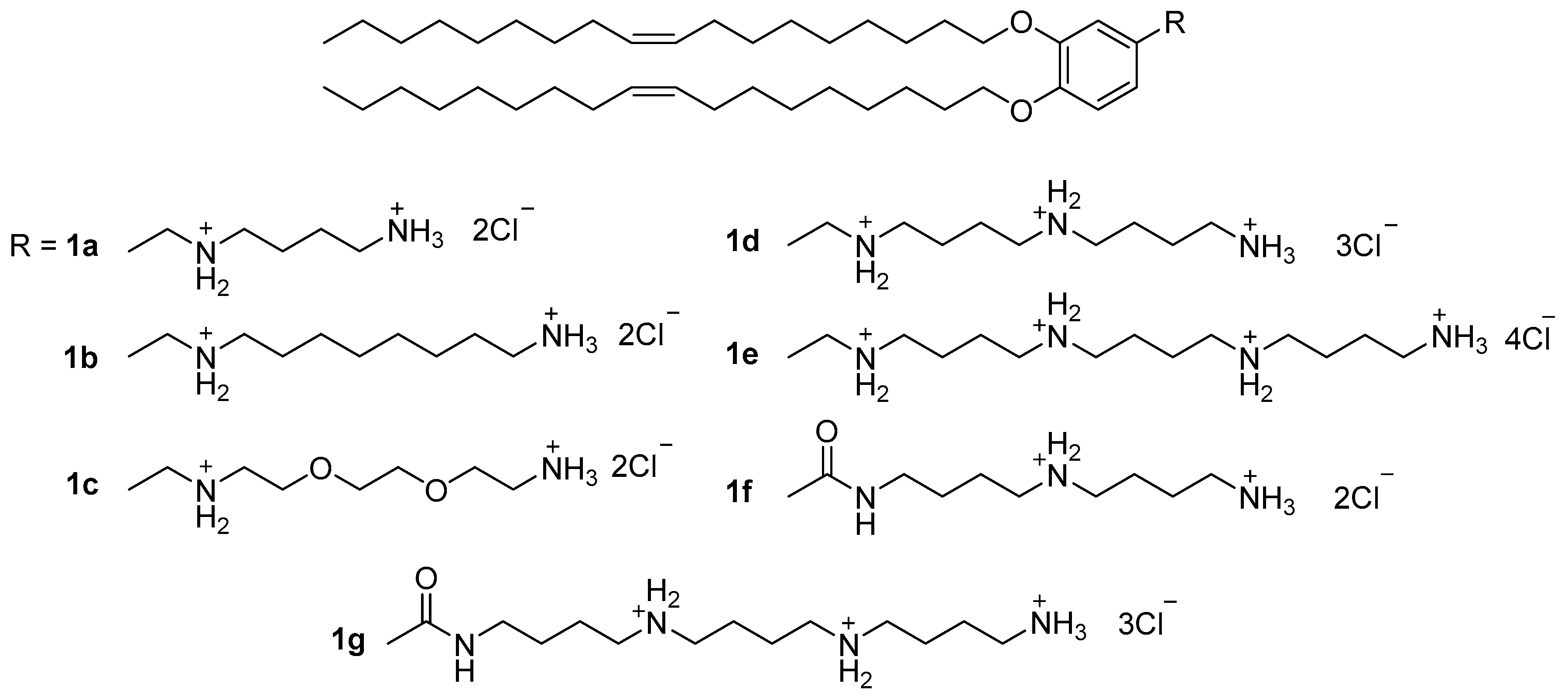
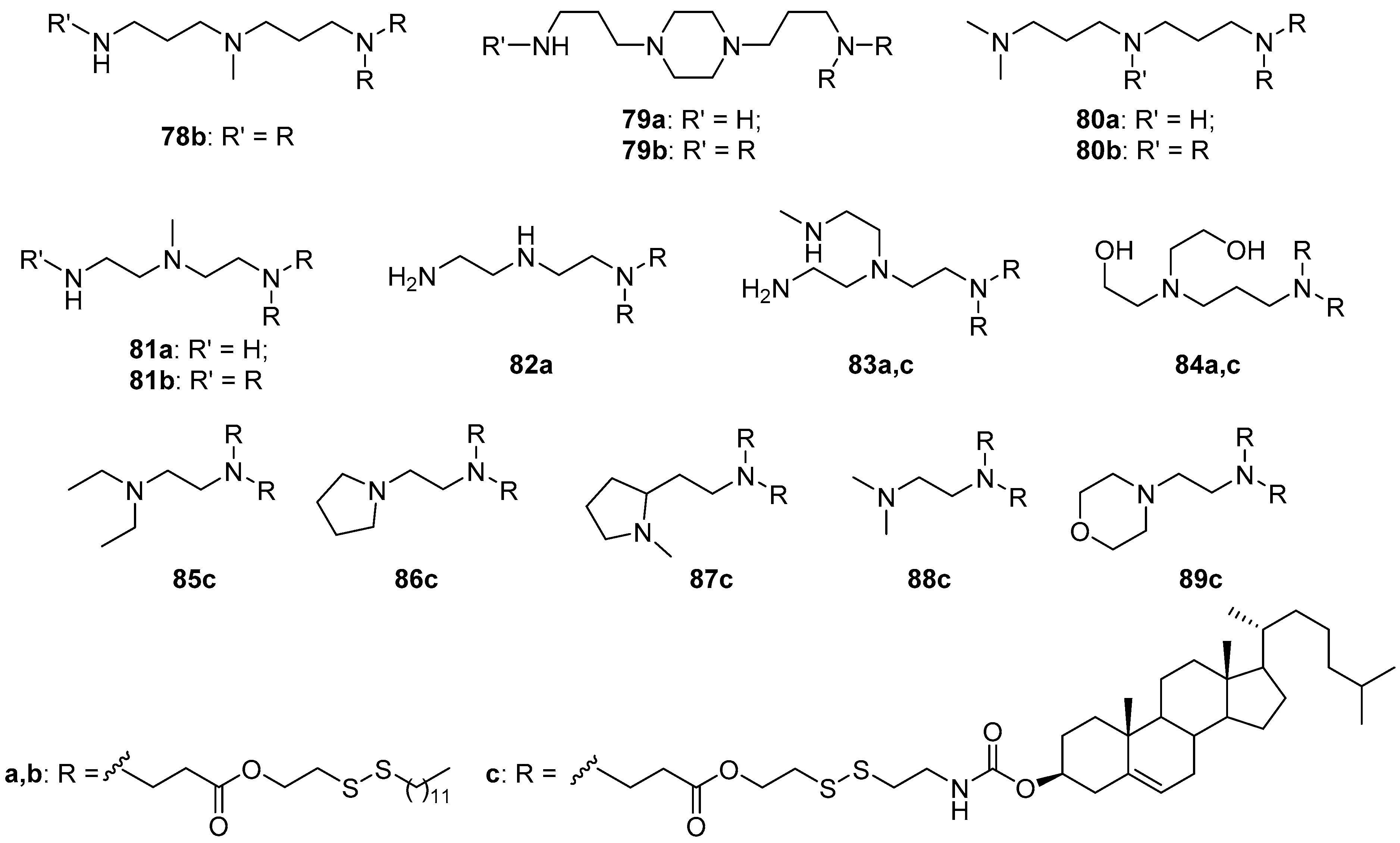
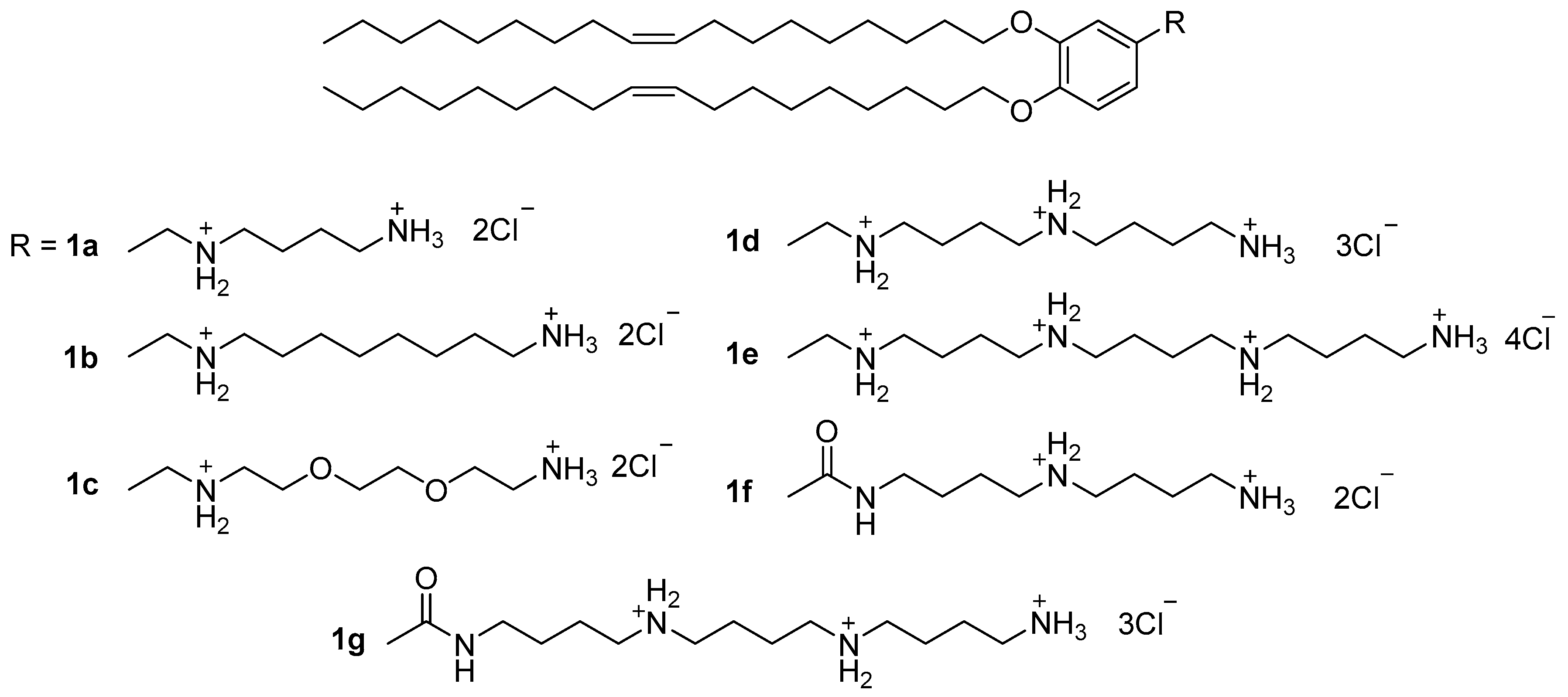
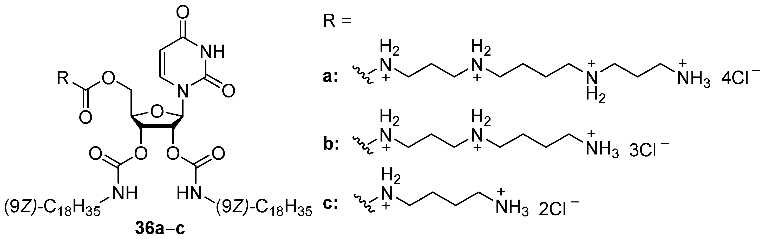
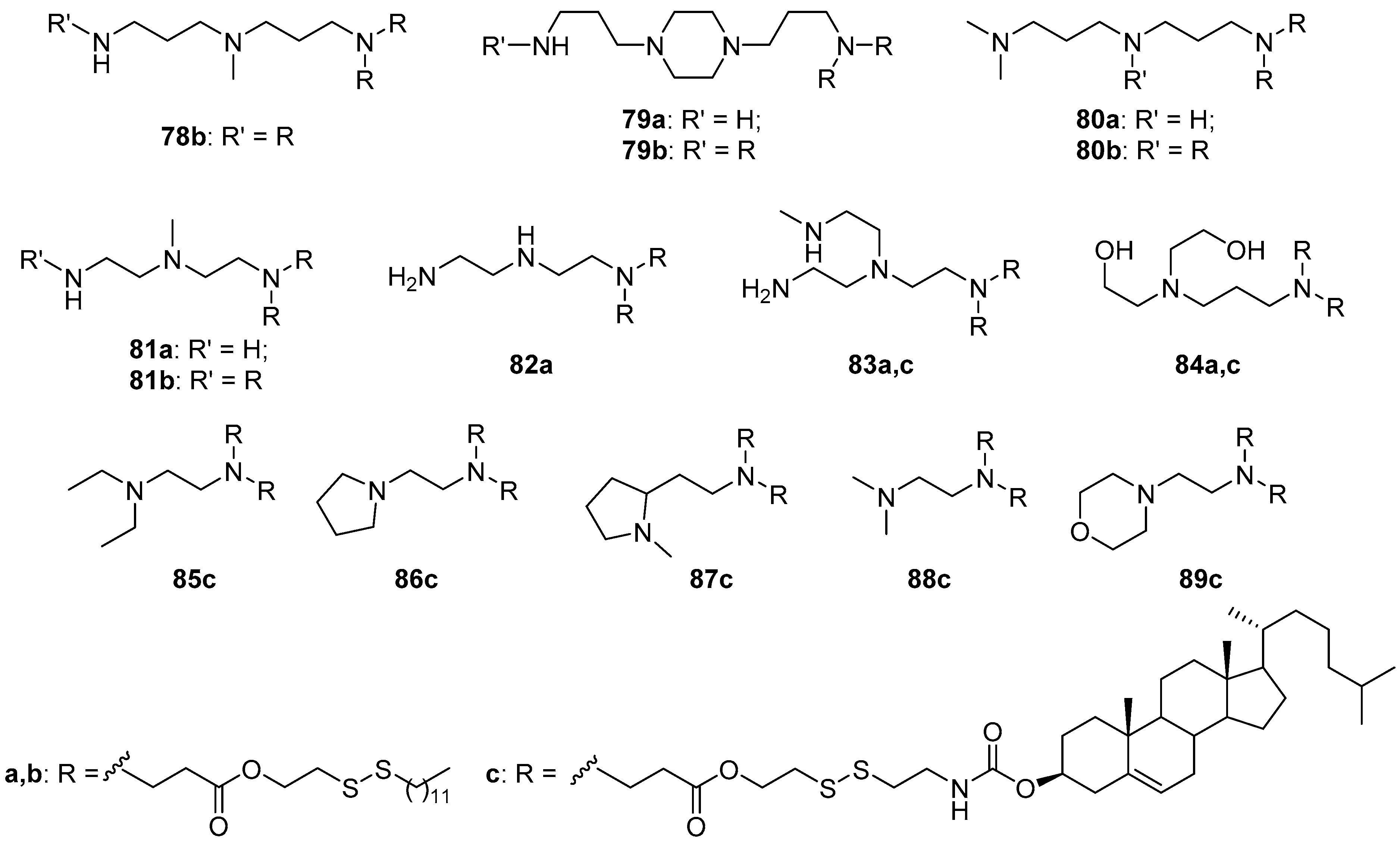
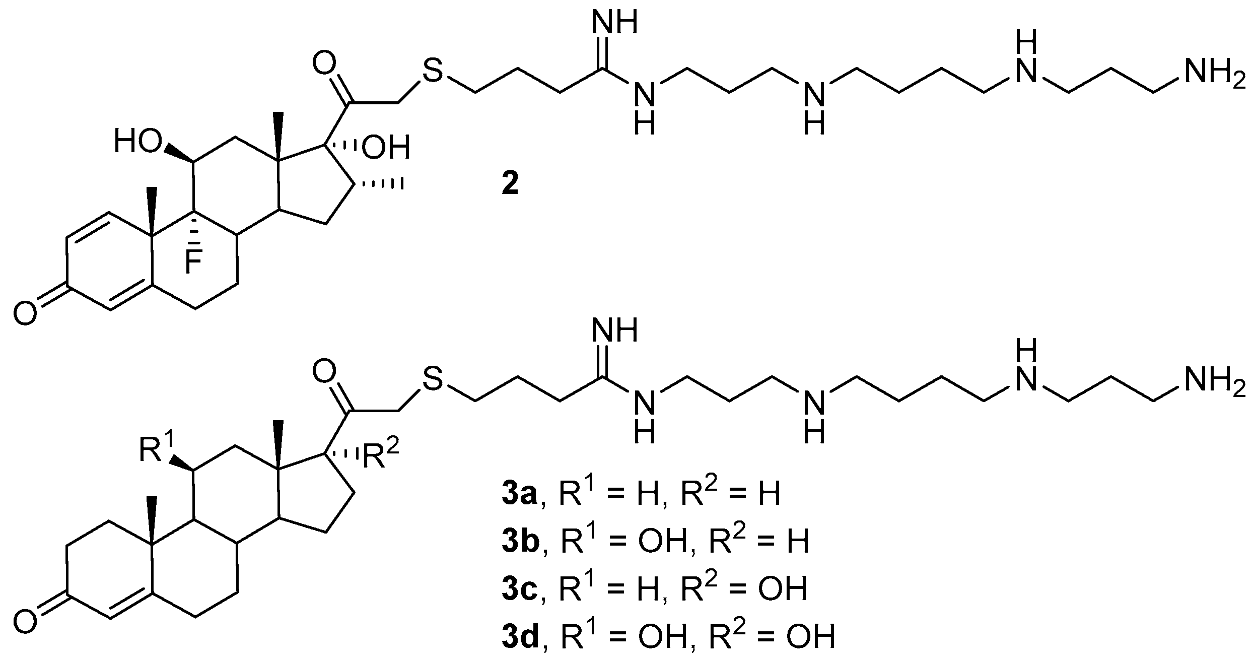
2.1. Cationic Amphiphiles Based on Linear Polyamines
2.2. Cationic Amphiphiles Based on Cyclic Polyamines
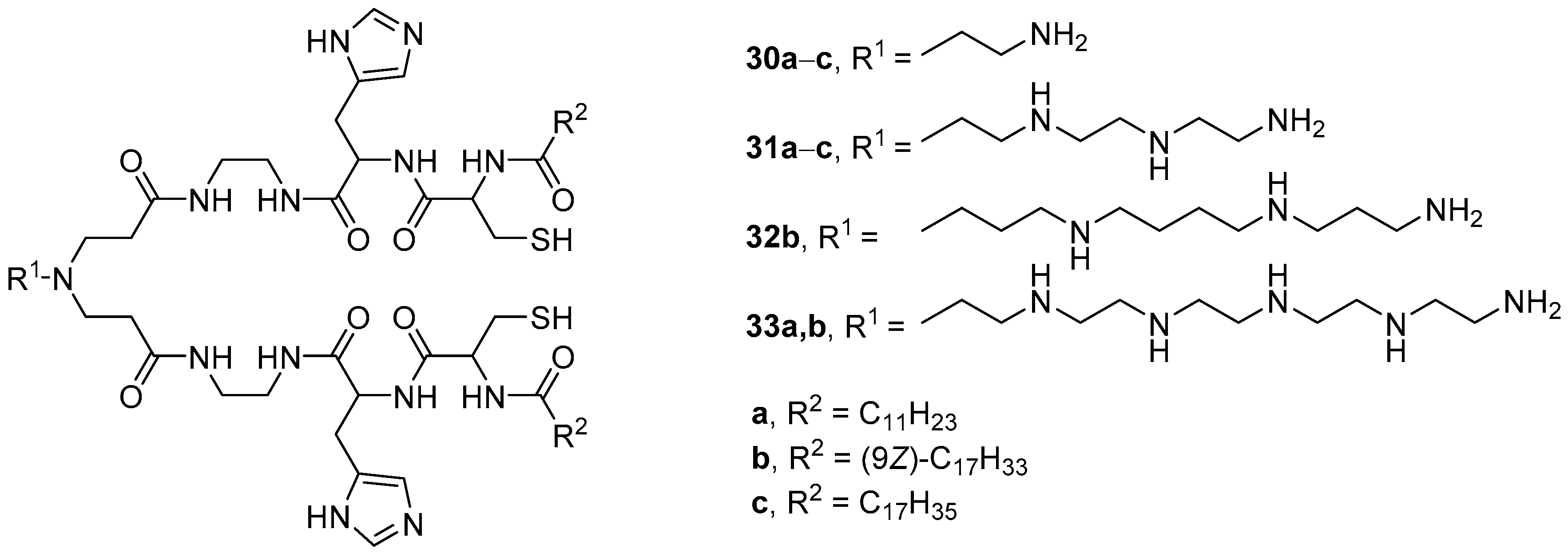
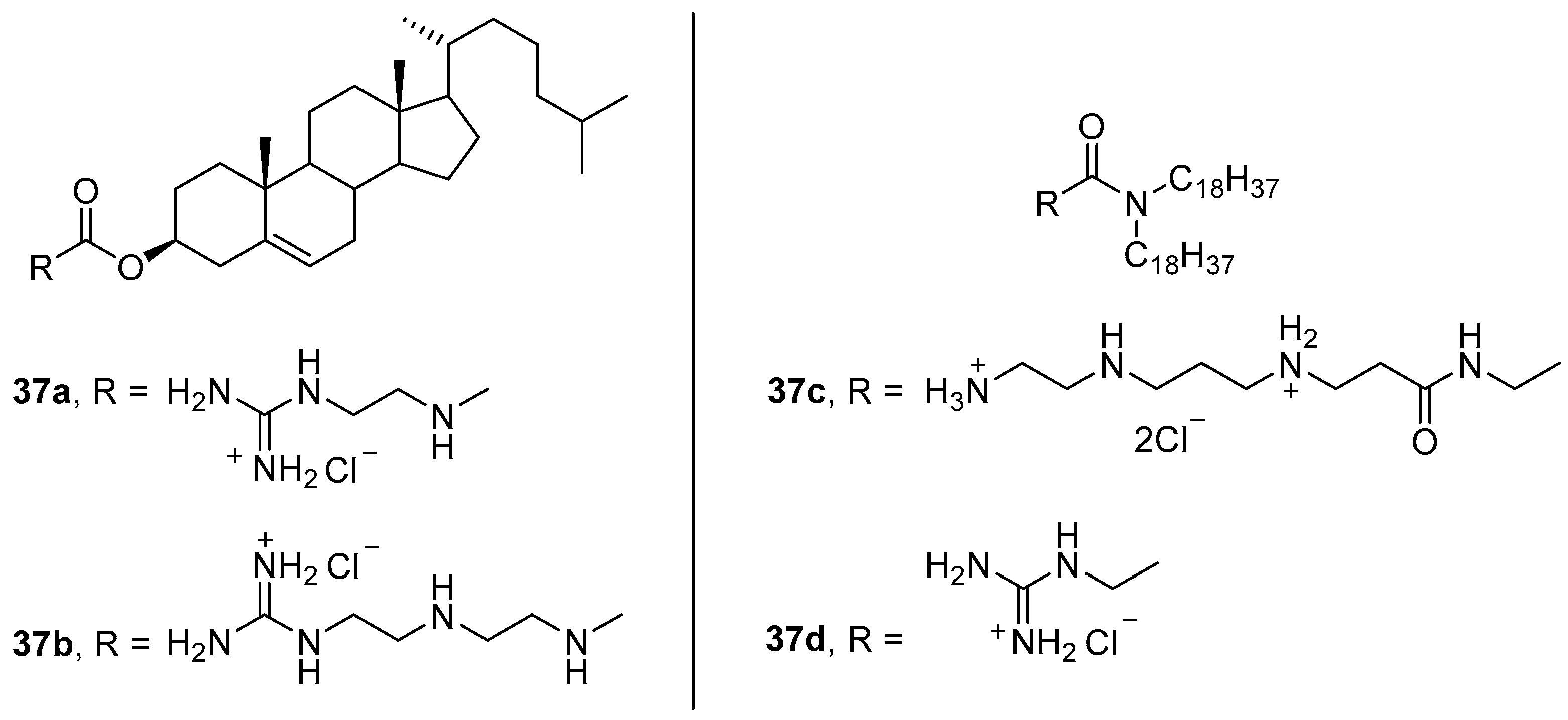
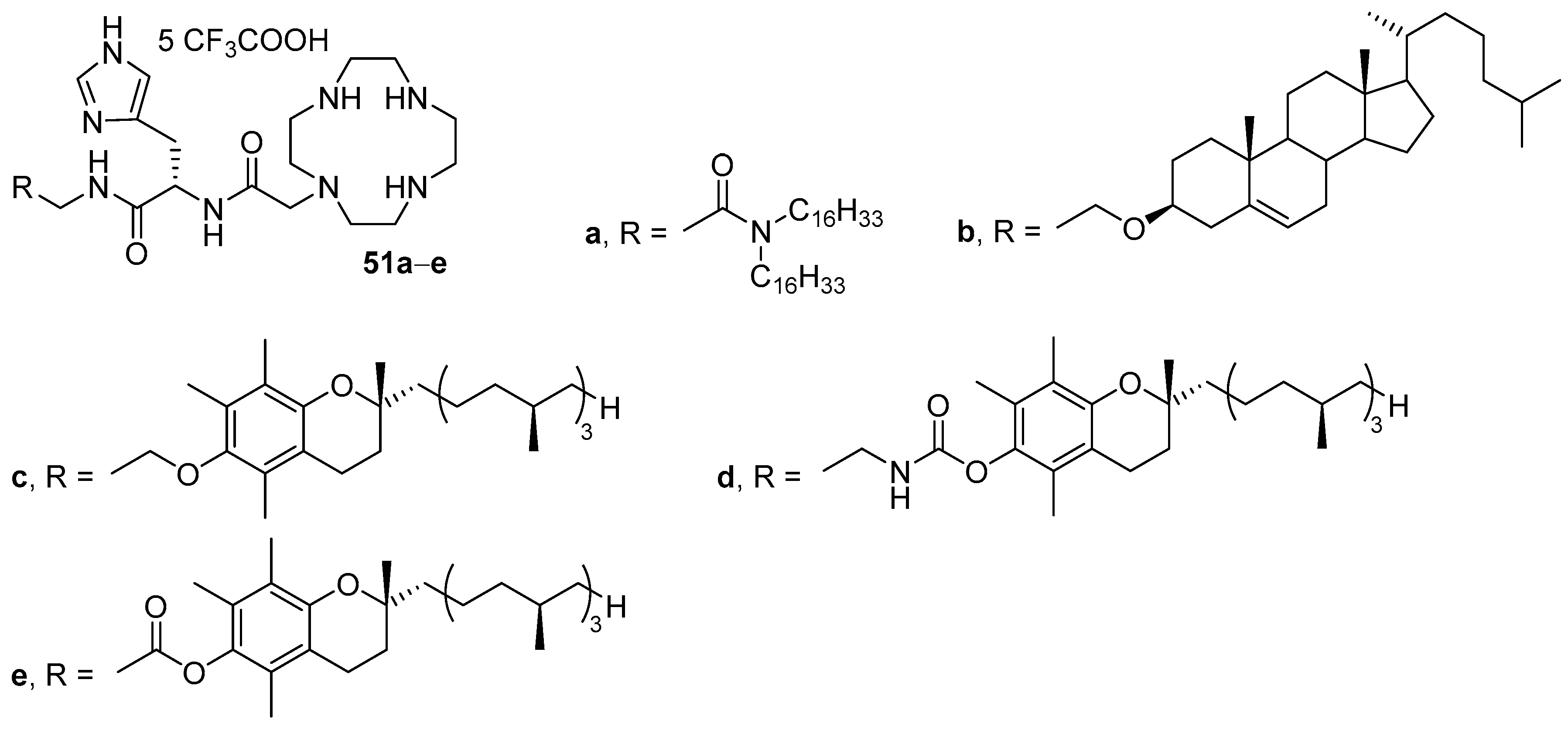
2.3. Cationic Amphiphiles Based on Amino Acids
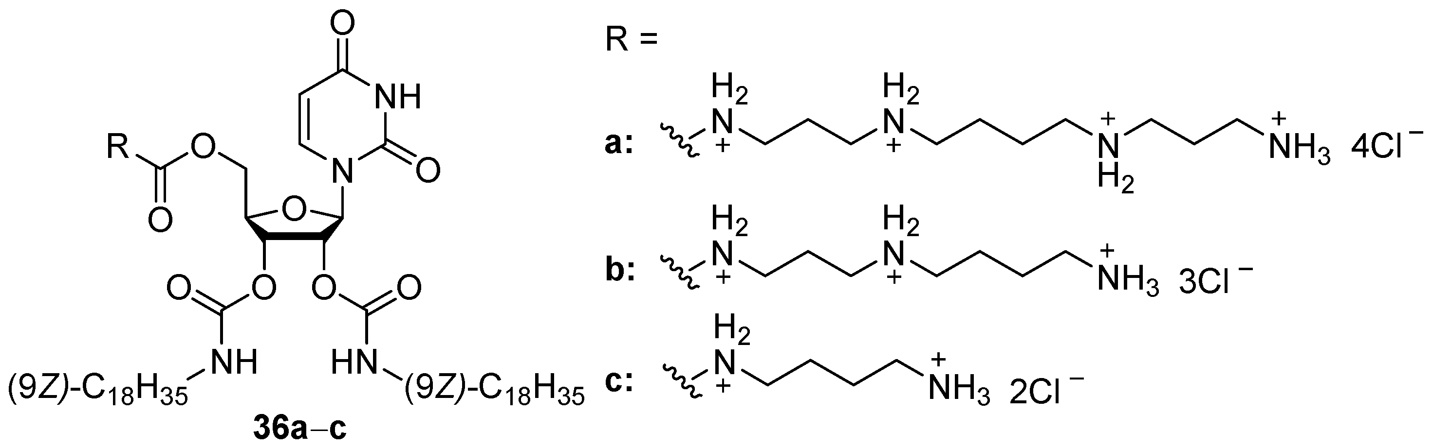
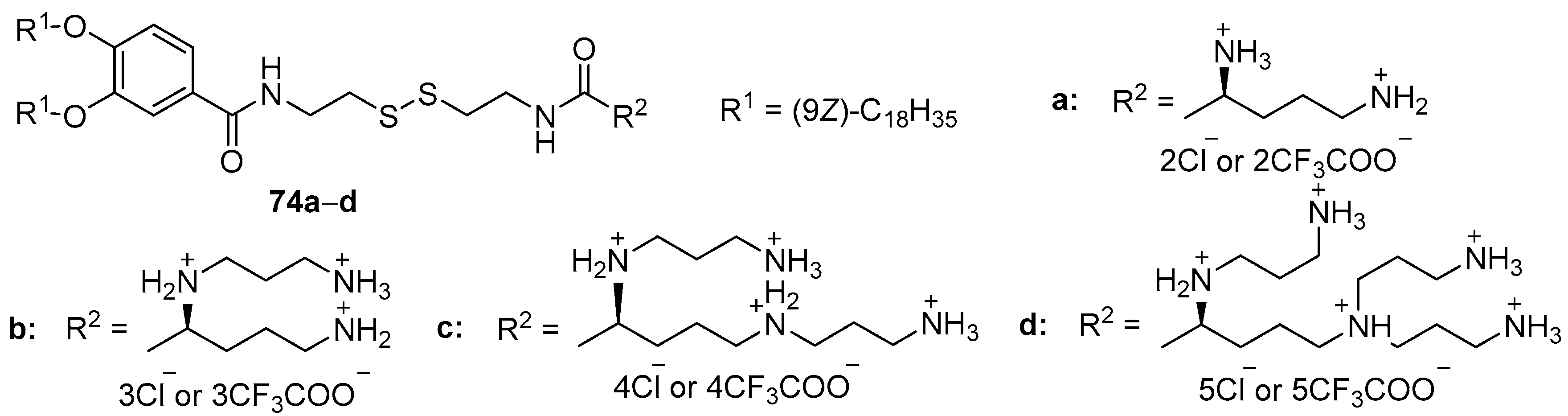
2.4. Disulfide Cationic Amphiphiles
2.5. Influence of Structural Components of Cationic Amphiphiles on the Efficiency of Nucleic Acid Delivery
3. Conclusions and Perspectives
Author Contributions
Funding
Institutional Review Board Statement
Informed Consent Statement
Data Availability Statement
Conflicts of Interest
References
- Behr, J.P. Synthetic gene transfer vectors II: Back to the future. Acc. Chem. Res. 2012, 45, 980–984. [Google Scholar] [CrossRef] [PubMed]
- Räty, J.K.; Pikkarainen, J.T.; Wirth, T.; Ylä-Herttuala, S. Gene therapy: The first approved gene-based medicines, molecular mechanisms and clinical indications. Curr. Mol. Pharmacol. 2008, 1, 13–23. [Google Scholar] [CrossRef]
- Wiethoff, C.M.; Middaugh, C.R. Barriers to nonviral gene delivery. J. Pharm. Sci. 2003, 92, 203–217. [Google Scholar] [CrossRef]
- Gottfried, L.F.; Dean, D.A. Extracellular and intracellular barriers to non-viral gene transfer. In Novel Gene Therapy Approaches; Wei, M., Ed.; InTech: Rijeka, Croatia, 2013; pp. 75–88. ISBN 978-953-51-0966-2. [Google Scholar]
- Konishi, M.; Kawamoto, K.; Izumikawa, M.; Kuriyama, H.; Yamashita, T. Gene transfer into guinea pig cochlea using adeno-associated virus vectors. J. Gene Med. 2008, 10, 610–618. [Google Scholar] [CrossRef]
- Zhao, Y.; Huang, L. Lipid nanoparticles for gene delivery. In Advances in Genetics; Huang, L., Liu, D., Wagner, E., Eds.; Academic Press Inc.: San Diego, CA, USA, 2014; Volume 88, pp. 13–36. ISBN 9780128001486. [Google Scholar]
- Pahle, J.; Walther, W. Vectors and strategies for nonviral cancer gene therapy. Expert Opin. Biol. Ther. 2016, 16, 443–461. [Google Scholar] [CrossRef] [PubMed]
- Junquera, E.; Aicart, E. Recent progress in gene therapy to deliver nucleic acids with multivalent cationic vectors. Adv. Colloid Interface Sci. 2016, 233, 161–175. [Google Scholar] [CrossRef] [PubMed]
- Nordling-David, M.M.; Golomb, G. Gene delivery by liposomes. Isr. J. Chem. 2013, 53, 737–747. [Google Scholar] [CrossRef]
- Pardi, N.; Hogan, M.J.; Porter, F.W.; Weissman, D. mRNA vaccines-a new era in vaccinology. Nat. Rev. Drug Discov. 2018, 17, 261–279. [Google Scholar] [CrossRef]
- Walsh, E.E.; Frenck, R.W.; Falsey, A.R.; Kitchin, N.; Absalon, J.; Gurtman, A.; Lockhart, S.; Neuzil, K.; Mulligan, M.J.; Bailey, R.; et al. Safety and immunogenicity of two RNA-Based Covid-19 vaccine candidates. N. Engl. J. Med. 2020, 383, 2439–2450. [Google Scholar] [CrossRef]
- Mikheev, A.A.; Shmendel, E.V.; Zhestovskaya, E.S.; Nazarov, G.V.; Maslov, M.A. Сationic liposomes as delivery systems for nucleic acids. Fine Chem. Technol. 2020, 15, 7–27. [Google Scholar] [CrossRef]
- Mochizuki, S.; Kanegae, N.; Nishina, K.; Kamikawa, Y.; Koiwai, K.; Masunaga, H.; Sakurai, K. The role of the helper lipid dioleoylphosphatidylethanolamine (DOPE) for DNA transfection cooperating with a cationic lipid bearing ethylenediamine. Biochim. Biophys. Acta Biomembr. 2013, 1828, 412–418. [Google Scholar] [CrossRef] [PubMed]
- Cheng, X.; Lee, R.J. The role of helper lipids in lipid nanoparticles (LNPs) designed for oligonucleotide delivery. Adv. Drug Deliv. Rev. 2016, 99, 129–137. [Google Scholar] [CrossRef] [PubMed]
- Zidovska, A.; Evans, H.M.; Ahmad, A.; Ewert, K.K.; Safinya, C.R. The role of cholesterol and structurally related molecules in enhancing transfection of cationic liposome-DNA complexes. J. Phys. Chem. B 2009, 113, 5208–5216. [Google Scholar] [CrossRef][Green Version]
- Schaffer, D.V.; Lauffenburger, D.A. Targeted synthetic gene delivery vectors. Curr. Opin. Mol. Ther. 2000, 2, 155–161. [Google Scholar]
- Amoozgar, Z.; Yeo, Y. Recent advances in stealth coating of nanoparticle drug delivery systems. Wiley Interdiscip. Rev. Nanomed. Nanobiotechnology 2012, 4, 219–233. [Google Scholar] [CrossRef]
- Hattori, Y.; Nakamura, M.; Takeuchi, N.; Tamaki, K.; Shimizu, S.; Yoshiike, Y.; Taguchi, M.; Ohno, H.; Ozaki, K.I.; Onishi, H. Effect of cationic lipid in cationic liposomes on siRNA delivery into the lung by intravenous injection of cationic lipoplex. J. Drug Target. 2019, 27, 217–227. [Google Scholar] [CrossRef]
- Zhao, Z.; Yao, W.; Wang, N.; Liu, C.; Zhou, H.; Chen, H.; Qiao, W. Synthesis and evaluation of mono- and multi-hydroxyl low toxicity pH-sensitive cationic lipids for drug delivery. Eur. J. Pharm. Sci. 2019, 133, 69–78. [Google Scholar] [CrossRef] [PubMed]
- Maslov, M.A.; Syicheva, E.V.; Morozova, N.G.; Serebrennikova, G.A. Cationic amphiphiles of both lipid and nonlipid nature in gene therapy. Russ. Chem. Bull. 2000, 49, 385–401. [Google Scholar] [CrossRef]
- Bofinger, R.; Zaw-Thin, M.; Mitchell, N.J.; Patrick, P.S.; Stowe, C.; Gomez-Ramirez, A.; Hailes, H.C.; Kalber, T.L.; Tabor, A.B. Development of lipopolyplexes for gene delivery: A comparison of the effects of differing modes of targeting peptide display on the structure and transfection activities of lipopolyplexes. J. Pept. Sci. 2018, 24, e3131. [Google Scholar] [CrossRef] [PubMed]
- Kulkarni, J.A.; Myhre, J.L.; Chen, S.; Tam, Y.Y.C.; Danescu, A.; Richman, J.M.; Cullis, P.R. Design of lipid nanoparticles for in vitro and in vivo delivery of plasmid DNA. Nanomed. Nanotechnol. Biol. Med. 2017, 13, 1377–1387. [Google Scholar] [CrossRef]
- Ju, J.; Huan, M.L.; Wan, N.; Hou, Y.L.; Ma, X.X.; Jia, Y.Y.; Li, C.; Zhou, S.Y.; Zhang, B. Le Cholesterol derived cationic lipids as potential non-viral gene delivery vectors and their serum compatibility. Bioorganic Med. Chem. Lett. 2016, 26, 2401–2407. [Google Scholar] [CrossRef]
- Cui, S.H.; Zhi, D.F.; Zhao, Y.N.; Chen, H.Y.; Meng, Y.; Zhang, C.M.; Zhang, S.B. Cationic lioposomes with folic acid as targeting ligand for gene delivery. Bioorganic Med. Chem. Lett. 2016, 26, 4025–4029. [Google Scholar] [CrossRef]
- Hiwale, A.A.; Voshavar, C.; Dharmalingam, P.; Dhayani, A.; Mukthavaram, R.; Nadella, R.; Sunnapu, O.; Gandhi, S.; Naidu, V.G.M.; Chaudhuri, A.; et al. Scaling the effect of hydrophobic chain length on gene transfer properties of di-alkyl, di-hydroxy ethylammonium chloride based cationic amphiphiles. RSC Adv. 2017, 7, 25398–25405. [Google Scholar] [CrossRef]
- Li, B.; Guo, W.; Zhang, F.; Liu, M.; Wang, S.; Liu, Z.; Xiang, S.; Zeng, Y. Synthesis and evaluation of L-arabinose-based cationic glycolipids as effective vectors for pDNA and siRNA in vitro. PLoS ONE 2017, 12, e0180276. [Google Scholar] [CrossRef] [PubMed]
- Berchel, M.; Akhter, S.; Berthe, W.; Gonçalves, C.; Dubuisson, M.; Pichon, C.; Jaffrès, P.A.; Midoux, P. Synthesis of α-amino-lipophosphonates as cationic lipids or co-lipids for DNA transfection in dendritic cells. J. Mater. Chem. B 2017, 5, 6869–6881. [Google Scholar] [CrossRef] [PubMed]
- Medvedeva, D.A.; Maslov, M.A.; Serikov, R.N.; Morozova, N.G.; Serebrenikova, G.A.; Sheglov, D.V.; Latyshev, A.V.; Vlassov, V.V.; Zenkova, M.A. Novel cholesterol-based cationic lipids for gene delivery. J. Med. Chem. 2009, 52, 6558–6568. [Google Scholar] [CrossRef] [PubMed]
- Stewart, L.; Manvell, M.; Hillery, E.; Etheridge, C.J.; Cooper, R.G.; Stark, H.; Van-Heel, M.; Preuss, M.; Alton, E.W.F.W.; Miller, A.D. Physico-chemical analysis of cationic liposome-DNA complexes (lipoplexes) with respect to in vitro and in vivo gene delivery efficiency. J. Chem. Soc. Perkin Trans. 2001, 2, 624–632. [Google Scholar] [CrossRef]
- Seiler, N.; Delcros, J.G.; Moulinoux, J.P. Polyamine transport in mammalian cells. An update. Int. J. Biochem. Cell Biol. 1996, 28, 843–861. [Google Scholar] [CrossRef]
- Gardner, R.A.; Belting, M.; Svensson, K.; Phanstiel, O.; Iv, O.P. Synthesis and Transfection Efficiencies of New Lipophilic Polyamines. J. Med. Chem. 2007, 50, 308–318. [Google Scholar] [CrossRef]
- Gruneich, J.A.; Diamond, S.L. Synthesis and structure-activity relationships of a series of increasingly hydrophobic cationic steroid lipofection reagents. J. Gene Med. 2007, 9, 381–391. [Google Scholar] [CrossRef]
- Randazzo, R.A.S.; Bucki, R.; Janmey, P.A.; Diamond, S.L. A series of cationic sterol lipids with gene transfer and bactericidal activity. Bioorganic Med. Chem. 2009, 17, 3257–3265. [Google Scholar] [CrossRef]
- Ahmed, O.A.A.; Adjimatera, N.; Pourzand, C.; Blagbrough, I.S. N4,N9-Dioleoyl Spermine Is a Novel Nonviral Lipopolyamine Vector for Plasmid DNA Formulation. Pharm. Res. 2005, 22, 972–980. [Google Scholar] [CrossRef] [PubMed]
- Ghonaim, H.M.; Ahmed, O.A.A.; Pourzand, C.; Blagbrough, I.S. Varying the chain length in N4, N9-diacyl spermines: Non-viral lipopolyamine vectors for efficient plasmid DNA formulation. Mol. Pharm. 2008, 5, 1111–1121. [Google Scholar] [CrossRef] [PubMed]
- Ahmed, O.A.A.; Pourzand, C.; Blagbrough, I.S. Varying the unsaturation in N4,N9-dioctadecanoyl spermines: Nonviral lipopolyamine vectors for more efficient plasmid DNA formulation. Pharm. Res. 2006, 23, 31–40. [Google Scholar] [CrossRef] [PubMed]
- Soltan, M.K.; Ghonaim, H.M.; El Sadek, M.; Kull, M.A.; El-Aziz, L.A.; Blagbrough, I.S. Design and synthesis of N4,N9-disubstituted spermines for non-viral siRNA delivery—Structure-activity relationship studies of sifection efficiency versus toxicity. Pharm. Res. 2009, 26, 286–295. [Google Scholar] [CrossRef]
- Blagbrough, I.S.; Metwally, A.A.; Ghonaim, H.M. Asymmetrical N4,N9-diacyl spermines: SAR studies of nonviral lipopolyamine vectors for efficient siRNA delivery with silencing of EGFP reporter gene. Mol. Pharm. 2012, 9, 1853–1861. [Google Scholar] [CrossRef][Green Version]
- Ghonaim, H.M.; Li, S.; Blagbrough, I.S. N1,N12-diacyl spermines: SAR studies on non-viral lipopolyamine vectors for plasmid DNA and siRNA formulation. Pharm. Res. 2010, 27, 17–29. [Google Scholar] [CrossRef] [PubMed]
- Viola, J.R.; Leijonmarck, H.; Simonson, O.E.; Oprea, I.I.; Frithiof, R.; Purhonen, P.; Moreno, P.M.D.; Lundin, K.E.; Strömberg, R.; Smith, C.I.E. Fatty acid-spermine conjugates as DNA carriers for nonviral in vivo gene delivery. Gene Ther. 2009, 16, 1429–1440. [Google Scholar] [CrossRef]
- Petukhov, I.A.; Maslov, M.A.; Morozova, N.G.; Serebrennikova, G.A. Synthesis of polycationic lipids based on cholesterol and spermine. Russ. Chem. Bull. 2010, 59, 260–268. [Google Scholar] [CrossRef]
- Maslov, M.A.; Kabilova, T.O.; Petukhov, I.A.; Morozova, N.G.; Serebrennikova, G.A.; Vlassov, V.V.; Zenkova, M.A. Novel cholesterol spermine conjugates provide efficient cellular delivery of plasmid DNA and small interfering RNA. J. Control. Release 2012, 160, 182–193. [Google Scholar] [CrossRef] [PubMed]
- Markov, O.O.; Mironova, N.L.; Maslov, M.A.; Petukhov, I.A.; Morozova, N.G.; Vlassov, V.V.; Zenkova, M.A. Novel cationic liposomes provide highly efficient delivery of DNA and RNA into dendritic cell progenitors and their immature offsets. J. Control. Release 2012, 160, 200–210. [Google Scholar] [CrossRef]
- Markov, O.V.; Mironova, N.L.; Shmendel, E.V.; Serikov, R.N.; Morozova, N.G.; Maslov, M.A.; Vlassov, V.V.; Zenkova, M.A. Multicomponent mannose-containing liposomes efficiently deliver RNA in murine immature dendritic cells and provide productive anti-tumour response in murine melanoma model. J. Control. Release 2015, 213, 45–56. [Google Scholar] [CrossRef]
- Kabilova, T.O.; Shmendel, E.V.; Gladkikh, D.V.; Chernolovskaya, E.L.; Markov, O.V.; Morozova, N.G.; Maslov, M.A.; Zenkova, M.A. Targeted delivery of nucleic acids into xenograft tumors mediated by novel folate-equipped liposomes. Eur. J. Pharm. Biopharm. 2018, 123, 59–70. [Google Scholar] [CrossRef]
- Shmendel, E.V.; Kabilova, T.O.; Morozova, N.G.; Zenkova, M.A.; Maslov, M.A. Targeted delivery of nucleic acids by folate-containing liposomes into KB-3-1 and HEK 293 cells. Russ. J. Bioorganic Chem. 2019, 45, 719–725. [Google Scholar] [CrossRef]
- Shmendel, E.; Kabilova, T.; Morozova, N.; Zenkova, M.; Maslov, M. Effects of spacers within a series of novel folate-containing lipoconjugates on the targeted delivery of nucleic acids. J. Drug Deliv. Sci. Technol. 2020, 57, 101609. [Google Scholar] [CrossRef]
- Kabilova, T.O.; Sen’kova, A.V.; Nikolin, V.P.; Popova, N.A.; Zenkova, M.A.; Vlassov, V.V.; Chernolovskaya, E.L. Antitumor and antimetastatic effect of small immunostimulatory RNA against B16 melanoma in mice. PLoS ONE 2016, 11, e0150751. [Google Scholar] [CrossRef] [PubMed]
- Markov, O.V.; Mironova, N.L.; Shmendel, E.V.; Maslov, M.A.; Zenkova, M.A. Systemic delivery of complexes of melanoma RNA with mannosylated liposomes activates highly efficient murine melanoma-specific cytotoxic T cells in vivo. Mol. Biol. 2017, 51, 102–107. [Google Scholar] [CrossRef]
- Puchkov, P.A.; Kartashova, I.A.; Shmendel, E.V.; Luneva, A.S.; Morozova, N.G.; Zenkova, M.A.; Maslov, M.A. Spacer structure and hydrophobicity influences transfection activity of novel polycationic gemini amphiphiles. Bioorganic Med. Chem. Lett. 2017, 27, 3284–3288. [Google Scholar] [CrossRef]
- Puchkov, P.A.; Perevoshchikova, K.A.; Kartashova, I.A.; Luneva, A.S.; Kabilova, T.O.; Morozova, N.G.; Zenkova, M.A.; Maslov, M.A. Polycationic amphiphiles based on triethylenetetramine and their transfection efficacy. Russ. J. Bioorganic Chem. 2017, 43, 561–569. [Google Scholar] [CrossRef]
- Radchatawedchakoon, W.; Krajarng, A.; Niyomtham, N.; Watanapokasin, R.; Yingyongnarongkul, B. High transfection efficiency of cationic lipids with asymmetric acyl-Cholesteryl hydrophobic tails. Chem. A Eur. J. 2011, 17, 3287–3295. [Google Scholar] [CrossRef] [PubMed]
- Wang, X.L.; Ramusovic, S.; Nguyen, T.; Lu, Z.R. Novel polymerizable surfactants with pH-sensitive amphiphilicity and cell membrane disruption for efficient siRNA delivery. Bioconjug. Chem. 2007, 18, 2169–2177. [Google Scholar] [CrossRef] [PubMed]
- Wang, X.L.; Nguyen, T.; Gillespie, D.; Jensen, R.; Lu, Z.R. A multifunctional and reversibly polymerizable carrier for efficient siRNA delivery. Biomaterials 2008, 29, 15–22. [Google Scholar] [CrossRef]
- Xu, R.; Lu, Z.R. Design, synthesis and evaluation of spermine-based pH-sensitive amphiphilic gene delivery systems: Multifunctional non-viral gene carriers. Sci. China Chem. 2011, 54, 359–368. [Google Scholar] [CrossRef]
- Xu, R.Z.; Wang, X.L.; Lu, Z.R. Intracellular siRNA delivery with novel spermine based surfactants. Chin. Sci. Bull. 2012, 57, 3979–3984. [Google Scholar] [CrossRef][Green Version]
- Malamas, A.S.; Gujrati, M.; Kummitha, C.M.; Xu, R.; Lu, Z.R. Design and evaluation of new pH-sensitive amphiphilic cationic lipids for siRNA delivery. J. Control. Release 2013, 171, 296–307. [Google Scholar] [CrossRef]
- Dewa, T.; Asai, T.; Tsunoda, Y.; Kato, K.; Baba, D.; Uchida, M.; Sumino, A.; Niwata, K.; Umemoto, T.; Iida, K.; et al. Liposomal polyamine-dialkyl phosphate conjugates as effective gene carriers: Chemical structure, morphology, and gene transfer activity. Bioconjug. Chem. 2010, 21, 844–852. [Google Scholar] [CrossRef]
- Asai, T.; Matsushita, S.; Kenjo, E.; Tsuzuku, T.; Yonenaga, N.; Koide, H.; Hatanaka, K.; Dewa, T.; Nango, M.; Maeda, N.; et al. Dicetyl phosphate-tetraethylenepentamine-based liposomes for systemic siRNA delivery. Bioconjug. Chem. 2011, 22, 429–435. [Google Scholar] [CrossRef] [PubMed]
- Yonenaga, N.; Kenjo, E.; Asai, T.; Tsuruta, A.; Shimizu, K.; Dewa, T.; Nango, M.; Oku, N. RGD-based active targeting of novel polycation liposomes bearing siRNA for cancer treatment. J. Control. Release 2012, 160, 177–181. [Google Scholar] [CrossRef]
- Kenjo, E.; Asai, T.; Yonenaga, N.; Ando, H.; Ishii, T.; Hatanaka, K.; Shimizu, K.; Urita, Y.; Dewa, T.; Nango, M.; et al. Systemic delivery of small interfering RNA by use of targeted polycation liposomes for cancer therapy. Biol. Pharm. Bull. 2013, 36, 287–291. [Google Scholar] [CrossRef] [PubMed]
- Patil, S.P.; Yi, J.W.; Bang, E.K.; Jeon, E.M.; Kim, B.H. Synthesis and efficient siRNA delivery of polyamine-conjugated cationic nucleoside lipids. Medchemcomm 2011, 2, 505–508. [Google Scholar] [CrossRef]
- Yang, H.W.; Yi, J.W.; Bang, E.K.; Jeon, E.M.; Kim, B.H. Cationic nucleolipids as efficient siRNA carriers. Org. Biomol. Chem. 2011, 9, 291–296. [Google Scholar] [CrossRef]
- Mével, M.; Kamaly, N.; Carmona, S.; Oliver, M.H.; Jorgensen, M.R.; Crowther, C.; Salazar, F.H.; Marion, P.L.; Fujino, M.; Natori, Y.; et al. DODAG; a versatile new cationic lipid that mediates efficient delivery of pDNA and siRNA. J. Control. Release 2010, 143, 222–232. [Google Scholar] [CrossRef]
- Mével, M.; Breuzard, G.; Yaouanc, J.J.; Clément, J.C.; Lehn, P.; Pichon, C.; Jaffrès, P.A.; Midoux, P. Synthesis and transfection activity of new cationic phosphoramidate lipids: High efficiency of an imidazolium derivative. ChemBioChem 2008, 9, 1462–1471. [Google Scholar] [CrossRef]
- Mével, M.; Neveu, C.; Gonçalves, C.; Yaouanc, J.-J.; Pichon, C.; Jaffrès, P.-A.; Midoux, P. Novel neutral imidazole-lipophosphoramides for transfection assays. Chem. Commun. 2008, 3124–3126. [Google Scholar] [CrossRef] [PubMed]
- Aissaoui, A.; Chami, M.; Hussein, M.; Miller, A.D. Efficient topical delivery of plasmid DNA to lung in vivo mediated by putative triggered, PEGylated pDNA nanoparticles. J. Control. Release 2011, 154, 275–284. [Google Scholar] [CrossRef] [PubMed]
- Kim, B.; Doh, K.; Hyeung, J.; Kang, H.; Park, J.; Moon, I.; Seu, Y. Bioorganic & Medicinal Chemistry Letters Synthesis of novel cholesterol-based cationic lipids for gene delivery. Bioorg. Med. Chem. Lett. 2009, 19, 2986–2989. [Google Scholar] [CrossRef]
- Kim, B.K.; Seu, Y.B.; Bae, Y.U.; Kwak, T.W.; Kang, H.; Moon, I.J.; Hwang, G.B.; Park, S.Y.; Doh, K.O. Efficient delivery of plasmid DNA using cholesterol-based cationic lipids containing polyamines and ether linkages. Int. J. Mol. Sci. 2014, 15, 7293–7312. [Google Scholar] [CrossRef]
- Kim, B.K.; Doh, K.O.; Bae, Y.U.; Seu, Y.B. Synthesis and optimization of cholesterol-based diquaternary ammonium gemini surfactant (Chol-GS) as a new gene delivery vector. J. Microbiol. Biotechnol. 2011, 21, 93–99. [Google Scholar] [CrossRef] [PubMed]
- Sparks, J.; Slobodkin, G.; Matar, M.; Congo, R.; Ulkoski, D.; Rea-Ramsey, A.; Pence, C.; Rice, J.; McClure, D.; Polach, K.J.; et al. Versatile cationic lipids for siRNA delivery. J. Control. Release 2012, 158, 269–276. [Google Scholar] [CrossRef]
- Paecharoenchai, O.; Niyomtham, N.; Apirakaramwong, A.; Ngawhirunpat, T.; Rojanarata, T.; Yingyongnarongkul, B.; Opanasopit, P. Structure relationship of cationic lipids on gene transfection mediated by cationic liposomes. AAPS PharmSciTech 2012, 13, 1302–1308. [Google Scholar] [CrossRef] [PubMed][Green Version]
- Niyomtham, N.; Apiratikul, N.; Suksen, K.; Opanasopit, P.; Yingyongnarongkul, B. Synthesis and in vitro transfection efficiency of spermine-based cationic lipids with different central core structures and lipophilic tails. Bioorg. Med. Chem. Lett. 2015, 25, 496–503. [Google Scholar] [CrossRef] [PubMed]
- Akinc, A.; Zumbuehl, A.; Goldberg, M.; Leshchiner, E.S.; Busini, V.; Hossain, N.; Bacallado, S.A.; Nguyen, D.N.; Fuller, J.; Alvarez, R.; et al. A combinatorial library of lipid-like materials for delivery of RNAi therapeutics. Nat. Biotechnol. 2008, 26, 561–569. [Google Scholar] [CrossRef]
- Mahon, K.P.; Love, K.T.; Whitehead, K.A.; Qin, J.; Akinc, A.; Leshchiner, E.; Leshchiner, I.; Langer, R.; Anderson, D.G. Combinatorial approach to determine functional group effects on lipidoid-mediated siRNA delivery. Bioconjug. Chem. 2010, 21, 1448–1454. [Google Scholar] [CrossRef]
- Park, H.-J.; Jeon, E.J.; Lee, J.S.; Hong, S.H.; Cho, A.-N.; Lee, J.; Moon, J.-S.; Jung, K.-E.; Oh, J.-W.; Lee, H.; et al. Galactosylated lipidoid nanoparticles for delivery of small interfering RNA to inhibit Hepatitis C viral replication in vivo. Adv. Healthc. Mater. 2016, 1–11. [Google Scholar] [CrossRef] [PubMed]
- Huang, Q.D.; Ou, W.J.; Chen, H.; Feng, Z.H.; Wang, J.Y.; Zhang, J.; Zhu, W.; Yu, X.Q. Novel cationic lipids possessing protonated cyclen and imidazolium salt for gene delivery. Eur. J. Pharm. Biopharm. 2011, 78, 326–335. [Google Scholar] [CrossRef] [PubMed]
- Huang, Q.-D.; Ren, J.; Chen, H.; Ou, W.-J.; Zhang, J.; Fu, Y.; Zhu, W.; Yu, X.-Q. Cyclen-Based cationic lipids containing carbamate linkages as efficient gene delivery vectors with low toxicity. Chempluschem 2012, 77, 584–591. [Google Scholar] [CrossRef]
- Liu, J.L.; Ma, Q.P.; Huang, Q.D.; Yang, W.H.; Zhang, J.; Wang, J.Y.; Zhu, W.; Yu, X.Q. Cationic lipids containing protonated cyclen and different hydrophobic groups linked by uracil-PNA monomer: Synthesis and application for gene delivery. Eur. J. Med. Chem. 2011, 46, 4133–4141. [Google Scholar] [CrossRef] [PubMed]
- Liu, Q.; Jiang, Q.-Q.; Yi, W.-J.; Zhang, J.; Zhang, X.-C.; Wu, M.-B.; Zhang, Y.-M.; Zhu, W.; Yu, X.-Q. Novel imidazole-functionalized cyclen cationic lipids: Synthesis and application as non-viral gene vectors. Bioorg. Med. Chem. 2013, 21, 3105–3113. [Google Scholar] [CrossRef] [PubMed]
- Chang, D.-C.; Zhang, Y.-M.; Zhang, J.; Liu, Y.-H.; Yu, X.-Q. Cationic lipids with a cyclen headgroup: Synthesis and structure–activity relationship studies as non-viral gene vectors. RSC Adv. 2017, 7, 18681–18689. [Google Scholar] [CrossRef]
- Li, L.; Song, H.; Luo, K.; He, B.; Nie, Y.; Yang, Y.; Wu, Y.; Gu, Z. Gene transfer efficacies of serum-resistant amino acids-based cationic lipids: Dependence on headgroup, lipoplex stability and cellular uptake. Int. J. Pharm. 2011, 408, 183–190. [Google Scholar] [CrossRef] [PubMed]
- Sheng, R.; Luo, T.; Li, H.; Sun, J.; Wang, Z.; Cao, A. Cholesterol-based cationic lipids for gene delivery: Contribution of molecular structure factors to physico-chemical and biological properties. Colloids Surf. B Biointerfaces 2014, 116, 32–40. [Google Scholar] [CrossRef]
- Ju, J.; Huan, M.L.; Wan, N.; Qiu, H.; Zhou, S.Y.; Zhang, B. Le Novel cholesterol-based cationic lipids as transfecting agents of DNA for efficient gene delivery. Int. J. Mol. Sci. 2015, 16, 5666–5681. [Google Scholar] [CrossRef]
- Sheng, R.; Wang, Z.; Luo, T.; Cao, A.; Sun, J.; Kinsella, J. Skeleton-Controlled pDNA delivery of renewable steroid-based cationic lipids, the endocytosis pathway analysis and intracellular localization. Int. J. Mol. Sci. 2018, 19, 369. [Google Scholar] [CrossRef]
- Obata, Y.; Suzuki, D.; Takeoka, S. Evaluation of cationic assemblies constructed with amino acid based lipids for plasmid DNA delivery. Bioconjug. Chem. 2008, 19, 1055–1063. [Google Scholar] [CrossRef]
- Jiang, Q.; Yue, D.; Nie, Y.; Xu, X.; He, Y.; Zhang, S.; Wagner, E.; Gu, Z. Specially-Made lipid-based assemblies for improving transmembrane gene delivery: Comparison of basic amino acid residue rich periphery. Mol. Pharm. 2016, 13, 1809–1821. [Google Scholar] [CrossRef]
- Choi, J.S.; Lee, E.J.; Jang, H.S.; Park, J.S. New cationic liposomes for gene transfer into mammalian cells with high efficiency and low toxicity. Bioconjug. Chem. 2001, 12, 108–113. [Google Scholar] [CrossRef]
- Sarker, S.R.; Arai, S.; Murate, M.; Takahashi, H.; Takata, M.; Kobayashi, T.; Takeoka, S. Evaluation of the influence of ionization states and spacers in the thermotropic phase behaviour of amino acid-based cationic lipids and the transfection efficiency of their assemblies. Int. J. Pharm. 2012, 422, 364–373. [Google Scholar] [CrossRef] [PubMed]
- Sarker, S.R.; Aoshima, Y.; Hokama, R.; Inoue, T.; Sou, K.; Takeoka, S. Arginine-based cationic liposomes for efficient in vitro plasmid DNA delivery with low cytotoxicity. Int. J. Nanomed. 2013, 8, 1361–1375. [Google Scholar] [CrossRef]
- Radchatawedchakoon, W.; Thongbamrer, C.; Konbamrung, W.; Khattawee, P.; Sakee, U.; Roobsoong, W.; Sattabongkot, J.; Opanasopit, P.; Yingyongnarongkul, B.E. The effect of polar headgroups and spacer length on the DNA transfection of cholesterol-based cationic lipids. RSC Med. Chem. 2020, 11, 212–224. [Google Scholar] [CrossRef]
- Yi, W.J.; Zheng, L.T.; Su, R.C.; Liu, Q.; Zhao, Z.G. Amino acid-based cationic lipids with α-tocopherol hydrophobic tail for efficient gene delivery. Chem. Biol. Drug Des. 2015, 86, 1192–1202. [Google Scholar] [CrossRef] [PubMed]
- Ewert, K.; Ahmad, A.; Evans, H.M.; Schmidt, H.W.; Safinya, C.R. Efficient synthesis and cell-transfection properties of a new multivalent cationic lipid for nonviral gene delivery. J. Med. Chem. 2002, 45, 5023–5029. [Google Scholar] [CrossRef] [PubMed]
- Ahmad, A.; Evans, H.M.; Ewert, K.; George, C.X.; Samuel, C.E.; Safinya, C.R. New multivalent cationic lipids reveal bell curve for transfection efficiency versus membrane charge density: Lipid—DNA complexes for gene delivery. J. Gene Med. 2005, 7, 739–748. [Google Scholar] [CrossRef] [PubMed]
- Bouxsein, N.F.; McAllister, C.S.; Ewert, K.K.; Samuel, C.E.; Safinya, C.R. Structure and gene silencing activities of monovalent and pentavalent cationic lipid vectors complexed with siRNA. Biochemistry 2007, 46, 4785–4792. [Google Scholar] [CrossRef] [PubMed]
- Martínez-Negro, M.; Blanco-Fernández, L.; Tentori, P.M.; Pérez, L.; Pinazo, A.; de Ilarduya, C.T.; Aicart, E.; Junquera, E. A gemini cationic lipid with histidine residues as a novel lipid-based gene nanocarrier: A biophysical and biochemical study. Nanomaterials 2018, 8, 1061. [Google Scholar] [CrossRef] [PubMed]
- Pinazo, A.; Pons, R.; Bustelo, M.; Manresa, M.Á.; Morán, C.; Raluy, M.; Pérez, L. Gemini histidine based surfactants: Characterization; surface properties and biological activity. J. Mol. Liq. 2019, 289. [Google Scholar] [CrossRef]
- Ostergaard, H.; Tachibana, C.; Winther, J.R. Monitoring disulfide bond formation in the eukaryotic cytosol. J. Cell Biol. 2004, 166, 337–345. [Google Scholar] [CrossRef]
- Chen, X.; Yang, J.; Liang, H.; Jiang, Q.; Ke, B.; Nie, Y. Disulfide modified self-assembly of lipopeptides with arginine-rich periphery achieve excellent gene transfection efficiency at relatively low nitrogen to phosphorus ratios. J. Mater. Chem. B 2017, 5, 1482–1497. [Google Scholar] [CrossRef]
- Dauty, E.; Remy, J.S.; Blessing, T.; Behr, J.P. Dimerizable cationic detergents with a low cmc condense plasmid DNA into nanometric particles and transfect cells in culture. J. Am. Chem. Soc. 2001, 123, 9227–9234. [Google Scholar] [CrossRef]
- Zheng, L.-T.; Yi, W.-J.; Su, R.-C.; Liu, Q.; Zhao, Z.-G. Reducible amino acid based cationic lipids as highly efficient and serum-tolerant gene vectors. Chempluschem 2016, 81, 125–134. [Google Scholar] [CrossRef]
- Shirazi, R.S.; Ewert, K.K.; Leal, C.; Majzoub, R.N.; Bouxsein, N.F.; Safinya, C.R. Synthesis and characterization of degradable multivalent cationic lipids with disulfide-bond spacers for gene delivery. Biochim. Biophys. Acta Biomembr. 2011, 1808, 2156–2166. [Google Scholar] [CrossRef]
- Sheng, R.; Luo, T.; Zhu, Y.; Li, H.; Sun, J.; Chen, S.; Sun, W.; Cao, A. The intracellular plasmid DNA localization of cationic reducible cholesterol-disulfide lipids. Biomaterials 2011, 32, 3507–3519. [Google Scholar] [CrossRef] [PubMed]
- Bajaj, A.; Kondaiah, P.; Bhattacharya, S. Effect of the nature of the spacer on gene transfer efficacies of novel thiocholesterol derived gemini lipids in different cell lines: A structure-activity investigation. J. Med. Chem. 2008, 51, 2533–2540. [Google Scholar] [CrossRef] [PubMed]
- Puchkov, P.A.; Shmendel, E.V.; Luneva, A.S.; Morozova, N.G.; Zenkova, M.A.; Maslov, M.A. Design, synthesis and transfection efficiency of a novel redox-sensitive polycationic amphiphile. Bioorganic Med. Chem. Lett. 2016, 26, 5911–5915. [Google Scholar] [CrossRef]
- Puchkov, P.A.; Shmendel, E.V.; Andreeva, V.D.; Morozova, N.G.; Zenkova, M.A.; Maslov, M.A. A novel disulfide-containing polycationic amphiphile: 1,28-di[(cholest-5-en-3β-yl)disulfanyl]-4,25-dioxo-3,8,12,17,21,26-hexaazaoctacosane tetrahydrochloride. Molbank 2018, 2018, M981. [Google Scholar] [CrossRef]
- Puchkov, P.A.; Shmendel, E.V.; Luneva, A.S.; Zenkova, M.A.; Maslov, M.A. Position of disulfide bond determines the properties of novel stimuli-responsive cationic lipids. ChemistrySelect 2020, 5, 4509–4514. [Google Scholar] [CrossRef]
- Li, Y.; Bolinger, J.; Yu, Y.; Glass, Z.; Shi, N.; Yang, L.; Wang, M.; Xu, Q. Intracellular delivery and biodistribution study of CRISPR/Cas9 ribonucleoprotein loaded bioreducible lipidoid nanoparticles. Biomater. Sci. 2019, 7, 596–606. [Google Scholar] [CrossRef] [PubMed]
- Liu, J.; Chang, J.; Jiang, Y.; Meng, X.; Sun, T.; Mao, L.; Xu, Q.; Wang, M. Fast and efficient CRISPR/Cas9 genome editing in vivo enabled by bioreducible lipid and messenger RNA nanoparticles. Adv. Mater. 2019, 31, 1–7. [Google Scholar] [CrossRef]
- Zhao, X.; Glass, Z.; Chen, J.; Yang, L.; Kaplan, D.L.; Xu, Q. mRNA delivery using bioreducible lipidoid nanoparticles facilitates neural differentiation of human mesenchymal stem cells. Adv. Healthc. Mater. 2020, 2000938, 1–7. [Google Scholar] [CrossRef] [PubMed]
- Li, Y.; Jarvis, R.; Zhu, K.; Glass, Z.; Ogurlu, R.; Gao, P.; Li, P.; Chen, J.; Yu, Y.; Yang, Y.; et al. Protein and mRNA delivery enabled by cholesteryl-based biodegradable lipidoid nanoparticles. Angew. Chemie Int. Ed. 2020, 59, 14957–14964. [Google Scholar] [CrossRef]
- Terekhov, S.S.; Smirnov, I.V.; Stepanova, A.V.; Bobik, T.V.; Mokrushina, Y.A.; Ponomarenko, N.A.; Belogurov, A.A.; Rubtsova, M.P.; Kartseva, O.V.; Gomzikova, M.O.; et al. Microfluidic droplet platform for ultrahigh-throughput single-cell screening of biodiversity. Proc. Natl. Acad. Sci. USA 2017, 114, 2550–2555. [Google Scholar] [CrossRef]




































Publisher’s Note: MDPI stays neutral with regard to jurisdictional claims in published maps and institutional affiliations. |
© 2021 by the authors. Licensee MDPI, Basel, Switzerland. This article is an open access article distributed under the terms and conditions of the Creative Commons Attribution (CC BY) license (https://creativecommons.org/licenses/by/4.0/).
Share and Cite
Puchkov, P.A.; Maslov, M.A. Lipophilic Polyamines as Promising Components of Liposomal Gene Delivery Systems. Pharmaceutics 2021, 13, 920. https://doi.org/10.3390/pharmaceutics13060920
Puchkov PA, Maslov MA. Lipophilic Polyamines as Promising Components of Liposomal Gene Delivery Systems. Pharmaceutics. 2021; 13(6):920. https://doi.org/10.3390/pharmaceutics13060920
Chicago/Turabian StylePuchkov, Pavel A., and Michael A. Maslov. 2021. "Lipophilic Polyamines as Promising Components of Liposomal Gene Delivery Systems" Pharmaceutics 13, no. 6: 920. https://doi.org/10.3390/pharmaceutics13060920
APA StylePuchkov, P. A., & Maslov, M. A. (2021). Lipophilic Polyamines as Promising Components of Liposomal Gene Delivery Systems. Pharmaceutics, 13(6), 920. https://doi.org/10.3390/pharmaceutics13060920

