Role of Surfactant Micellization for Enhanced Dissolution of Poorly Water-Soluble Cilostazol Using Poloxamer 407-Based Solid Dispersion via the Anti-Solvent Method
Abstract
1. Introduction
2. Materials and Methods
2.1. Materials
2.2. Preparation of CLT-SDs
2.2.1. Solvent Evaporation Method
2.2.2. Fusion Method
2.2.3. Anti-Solvent Method
2.3. Solubility Study
2.4. In Vitro Dissolution Studies
2.5. HPLC Analysis
2.6. Differential Scanning Calorimetry (DSC)
2.7. Fourier Transform Infrared (FTIR) Spectroscopy
2.8. Powder X-ray Diffraction (PXRD)
2.9. Field-Emission Scanning Electron Microscopy (FE-SEM)
2.10. Particle Size Distribution Analysis
2.11. Measurement of the Contact Angle
3. Results
3.1. Excipients Screening
3.2. Effect of SLS Micellization on Dissolution Profiles of CLT
3.3. DSC
3.4. FTIR
3.5. PXRD
3.6. FE-SEM
3.7. Solid Particle Size Distribution
3.8. Effect of SLS Micellization in SD Systems
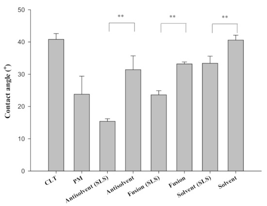
3.9. Analysis of the Wetting Properties
3.10. Commentary for Mechanistic Roles of Micellar SLS
4. Conclusions
Supplementary Materials
Author Contributions
Funding
Institutional Review Board Statement
Informed Consent Statement
Data Availability Statement
Acknowledgments
Conflicts of Interest
References
- Park, C.; Meghani, N.M.; Amin, H.H.; Nguyen, V.H.; Lee, B.-J. Patient-centered drug delivery and its potential applications for unmet medical needs. Ther. Deliv. 2017, 8, 775–790. [Google Scholar] [CrossRef] [PubMed]
- Alabi, C.O.; Singh, I.; Odeku, O.A. Evaluation of natural and pregelatinized forms of three tropical starches as excipients in tramadol tablet formulation. J. Pharm. Investig. 2018, 48, 333–340. [Google Scholar] [CrossRef]
- Khatri, P.; Shah, M.K.; Patel, N.; Jain, S.; Vora, N.; Lin, S. Preparation and characterization of pyrimethamine solid dispersions and an evaluation of the physical nature of pyrimethamine in solid dispersions. J. Drug Deliv. Sci. Technol. 2018, 45, 110–123. [Google Scholar] [CrossRef]
- Park, J.-B.; Park, C.; Piao, Z.Z.; Amin, H.H.; Meghani, N.M.; Tran, P.H.L.; Tran, T.T.D.; Cui, J.-H.; Cao, Q.-R.; Oh, E.; et al. pH-independent controlled release tablets containing nanonizing valsartan solid dispersions for less variable bioavailability in humans. J. Drug Deliv. Sci. Technol. 2018, 46, 365–377. [Google Scholar] [CrossRef]
- Liu, X.; Feng, X.; Williams, R.O.; Zhang, F. Characterization of amorphous solid dispersions. J. Pharm. Investig. 2018, 48, 19–41. [Google Scholar] [CrossRef]
- Medarević, D.; Cvijić, S.; Dobričić, V.; Mitrić, M.; Djuriš, J.; Ibrić, S. Assessing the potential of solid dispersions to improve dissolution rate and bioavailability of valsartan: In vitro-in silico approach. Eur. J. Pharm. Sci. 2018, 124, 188–198. [Google Scholar] [CrossRef]
- Luu, T.D.; Lee, B.-J.; Tran, P.H.L.; Tran, T.T.D. Modified sprouted rice for modulation of curcumin crystallinity and dissolution enhancement by solid dispersion. J. Pharm. Investig. 2019, 49, 127–134. [Google Scholar] [CrossRef]
- Thapaliya, R.; Shrestha, K.; Sharma, A.; Dhakal, N.; Manandhar, P.; Shrestha, S.; Bhattarai, R. Physicochemical characterization of naproxen microcrystals for colon specific pulsatile drug delivery designed using pulsincap technique. J. Pharm. Investig. 2019, 49, 553–564. [Google Scholar] [CrossRef]
- Meng, F.; Ferreira, R.; Zhang, F. Effect of surfactant level on properties of celecoxib amorphous solid dispersions. J. Drug Deliv. Sci. Technol. 2019, 49, 301–307. [Google Scholar] [CrossRef]
- Zi, P.; Zhang, C.; Ju, C.; Su, Z.; Bao, Y.; Gao, J.; Sun, J.; Lu, J.; Zhang, C. Solubility and bioavailability enhancement study of lopinavir solid dispersion matrixed with a polymeric surfactant—Soluplus. Eur. J. Pharm. Sci. 2019. [Google Scholar] [CrossRef]
- Koziolek, M.; Garbacz, G.; Neumann, M.; Weitschies, W. Simulating the Postprandial Stomach: Biorelevant Test Methods for the Estimation of Intragastric Drug Dissolution. Mol. Pharm. 2013, 10, 2211–2221. [Google Scholar] [CrossRef]
- Lee, G.H.; Shin, D.H.; Suh, H.-W.; Lee, J.-Y.; Lim, S.S.; Kim, J.-S. Liposomal formulation and pharmacokinetic study of CPD409, a novel sodium channel blocker. J. Pharm. Investig. 2019, 49, 565–573. [Google Scholar] [CrossRef]
- Alizadeh, M.N.; Shayanfar, A.; Jouyban, A. Solubilization of drugs using sodium lauryl sulfate: Experimental data and modeling. J. Mol. Liq. 2018, 268, 410–414. [Google Scholar] [CrossRef]
- Tang, L.; Khan, S.U.; Muhammad, N.A. Evaluation and Selection of Bio-relevant Dissolution Media for a Poorly Water-Soluble New Chemical Entity. Pharm. Dev. Technol. 2001, 6, 531–540. [Google Scholar] [CrossRef]
- Taupitz, T.; Klein, S. Can biorelevant media be simplified by using SLS and tween 80 to replace bile compounds? Open Drug Deliv. J. TODDJ 2013, 4, 30–37. [Google Scholar] [CrossRef][Green Version]
- Van Nguyen, H.; Park, C.; Oh, E.; Lee, B.-J. Improving the dissolution rate of a poorly water-soluble drug via adsorption onto pharmaceutical diluents. J. Drug Deliv. Sci. Technol. 2016, 35, 146–154. [Google Scholar] [CrossRef]
- Lee, E.-J.; Lee, S.-W.; Choi, H.-G.; Kim, C.-K. Bioavailability of cyclosporin A dispersed in sodium lauryl sulfate–dextrin based solid microspheres. Int. J. Pharm. 2001, 218, 125–131. [Google Scholar] [CrossRef]
- de Waard, H.; Hinrichs, W.L.J.; Visser, M.R.; Bologna, C.; Frijlink, H.W. Unexpected differences in dissolution behavior of tablets prepared from solid dispersions with a surfactant physically mixed or incorporated. Int. J. Pharm. 2008, 349, 66–73. [Google Scholar] [CrossRef]
- Nokhodchi, A.; Norouzi-Sani, S.; Siahi-Shadbad, M.-R.; Lotfipoor, F.; Saeedi, M. The effect of various surfactants on the release rate of propranolol hydrochloride from hydroxypropylmethylcellulose (HPMC)-Eudragit matrices. Eur. J. Pharm. Biopharm. 2002, 54, 349–356. [Google Scholar] [CrossRef]
- Desai, D.; Wong, B.; Huang, Y.; Ye, Q.; Tang, D.; Guo, H.; Huang, M.; Timmins, P. Surfactant-Mediated Dissolution of Metformin Hydrochloride Tablets: Wetting Effects Versus Ion Pairs Diffusivity. J. Pharm. Sci. 2014, 103, 920–926. [Google Scholar] [CrossRef]
- Huang, Z.; Parikh, S.; Fish, W.P. Interactions between a poorly soluble cationic drug and sodium dodecyl sulfate in dissolution medium and their impact on in vitro dissolution behavior. Int. J. Pharm. 2018, 535, 350–359. [Google Scholar] [CrossRef] [PubMed]
- Bhattachar, S.N.; Risley, D.S.; Werawatganone, P.; Aburub, A. Weak bases and formation of a less soluble lauryl sulfate salt/complex in sodium lauryl sulfate (SLS) containing media. Int. J. Pharm. 2011, 412, 95–98. [Google Scholar] [CrossRef] [PubMed]
- Qi, S.; Roser, S.; Edler, K.J.; Pigliacelli, C.; Rogerson, M.; Weuts, I.; Van Dycke, F.; Stokbroekx, S. Insights into the Role of Polymer-Surfactant Complexes in Drug Solubilisation/Stabilisation During Drug Release from Solid Dispersions. Pharm. Res. 2013, 30, 290–302. [Google Scholar] [CrossRef] [PubMed]
- Seo, J.H.; Park, J.B.; Choi, W.-K.; Park, S.; Sung, Y.J.; Oh, E.; Bae, S.K. Improved oral absorption of cilostazol via sulfonate salt formation with mesylate and besylate. Drug Des. Devel. Ther. 2015, 9, 3961–3968. [Google Scholar] [CrossRef]
- Sai Gouthami, K.; Kumar, D.; Thipparaboina, R.; Chavan, R.B.; Shastri, N.R. Can crystal engineering be as beneficial as micronisation and overcome its pitfalls?: A case study with cilostazol. Int. J. Pharm. 2015, 491, 26–34. [Google Scholar] [CrossRef]
- Mustapha, O.; Kim, K.S.; Shafique, S.; Kim, D.S.; Jin, S.G.; Seo, Y.G.; Youn, Y.S.; Oh, K.T.; Yong, C.S.; Kim, J.O.; et al. Comparison of three different types of cilostazol-loaded solid dispersion: Physicochemical characterization and pharmacokinetics in rats. Colloids Surfaces B Biointerfaces 2017, 154, 89–95. [Google Scholar] [CrossRef]
- Mustapha, O.; Kim, K.S.; Shafique, S.; Kim, D.S.; Jin, S.G.; Seo, Y.G.; Youn, Y.S.; Oh, K.T.; Lee, B.-J.; Park, Y.J.; et al. Development of novel cilostazol–loaded solid SNEDDS using a SPG membrane emulsification technique: Physicochemical characterization and in vivo evaluation. Colloids Surf. B Biointerfaces 2017, 150, 216–222. [Google Scholar] [CrossRef]
- Mahmoud, D.B.; Shukr, M.H.; Bendas, E.R. In Vitro and in vivo evaluation of self-nanoemulsifying drug delivery systems of cilostazol for oral and parenteral administration. Int. J. Pharm. 2014, 476, 60–69. [Google Scholar] [CrossRef]
- Jinno, J.; Kamada, N.; Miyake, M.; Yamada, K.; Mukai, T.; Odomi, M.; Toguchi, H.; Liversidge, G.G.; Higaki, K.; Kimura, T. Effect of particle size reduction on dissolution and oral absorption of a poorly water-soluble drug, cilostazol, in beagle dogs. J. Control. Release 2006, 111, 56–64. [Google Scholar] [CrossRef]
- Baek, N.; Oh, G.-H.; Park, C.; Tran, T.T.T.; Park, Y.J.; Oh, E.; Le, H.; Tran, T.T.D.; Park, J.-B.; Lee, B.-J. Reprecipitation of poorly water-soluble cilostazol crystals using adsorbing carriers for enhanced dissolution and physicochemical modification. J. Drug Deliv. Sci. Technol. 2018, 43, 477–486. [Google Scholar] [CrossRef]
- Nam, K.-Y.; Cho, S.M.; Choi, Y.-W.; Park, C.; Meghani, N.M.; Park, J.-B.; Lee, B.-J. Double controlled release of highly insoluble cilostazol using surfactant-driven pH dependent and pH-independent polymeric blends and in vivo bioavailability in beagle dogs. Int. J. Pharm. 2019, 558, 284–290. [Google Scholar] [CrossRef]
- Tiwari, S.; Mall, C.; Solanki, P.P. CMC studies of CTAB, SLS & tween 80 by spectral and conductivity methodology to explore its potential in photogalvanic cell. Surfaces Interfaces 2020, 18, 100427. [Google Scholar] [CrossRef]
- Dominguez, A.; Fernandez, A.; Gonzalez, N.; Iglesias, E.; Montenegro, L. Determination of Critical Micelle Concentration of Some Surfactants by Three Techniques. J. Chem. Educ. 1997, 74, 1227. [Google Scholar] [CrossRef]
- Van Ngo, H.; Park, C.; Tran, T.T.D.; Nguyen, V.H.; Lee, B.-J. Mechanistic understanding of salt-induced drug encapsulation in nanosuspension via acid-base neutralization as a nanonization platform technology to enhance dissolution rate of pH-dependent poorly water-soluble drugs. Eur. J. Pharm. Biopharm. 2020, 154, 8–17. [Google Scholar] [CrossRef]
- Patel, S.G.; Rajput, S.J. Enhancement of Oral Bioavailability of Cilostazol by Forming its Inclusion Complexes. AAPS PharmSciTech 2009, 10, 660–669. [Google Scholar] [CrossRef]
- Karolewicz, B.; Gajda, M.; Górniak, A.; Owczarek, A.; Mucha, I. Pluronic F127 as a suitable carrier for preparing the imatinib base solid dispersions and its potential in development of a modified release dosage forms. J. Therm. Anal. Calorim. 2017, 130, 383–390. [Google Scholar] [CrossRef]
- Zhang, P.; Shi, H.; Xiuxiu, R.; Guangren, Q.; Frost, R.L. Na-dodecylsulfate modification of hydrocalumite and subsequent effect on the structure and thermal decomposition. J. Therm. Anal. Calorim. 2011, 104, 743–747. [Google Scholar] [CrossRef]
- Stewart, H.; Golding, M.; Matia-Merino, L.; Archer, R.; Davies, C. Manufacture of lignin microparticles by anti-solvent precipitation: Effect of preparation temperature and presence of sodium dodecyl sulfate. Food Res. Int. 2014, 66, 93–99. [Google Scholar] [CrossRef]







| Code | CLT | POX | PVP | Soluplus | TPGS | PEG6000 | SLS | Method |
|---|---|---|---|---|---|---|---|---|
| F1 | 50 | 150 | — | — | — | — | — | Solvent |
| F2 | 50 | — | 150 | — | — | — | — | Solvent |
| F3 | 50 | — | — | 150 | — | — | — | Solvent |
| F4 | 50 | — | — | — | 150 | — | — | Solvent |
| F5 | 50 | — | — | — | — | 150 | — | Solvent |
| F6 | 50 | 50 | — | — | — | — | 10 | Physical mixture |
| F7 | 50 | 50 | — | — | — | — | — | Antisolvent |
| F8 | 50 | 50 | — | — | — | — | 10 | Antisolvent |
| F9 | 50 | 50 | — | — | — | — | — | Fusion |
| F10 | 50 | 50 | — | — | — | — | 10 | Fusion |
| F11 | 50 | 50 | — | — | — | — | — | Solvent |
| F12 | 50 | 50 | — | — | — | — | 10 | Solvent |
| Media | Solubility (µg/mL) | Role | Physical State |
|---|---|---|---|
| Deionized water | 8.03 ± 1.05 | Medium | Liquid |
| Gastric fluid (pH 1.2) | 8.41 ± 0.96 | Medium | Liquid |
| Intestinal fluid (pH 6.8) | 7.13 ± 0.14 | Medium | Liquid |
| TPGS | 6.79 ± 0.71 | Carrier | Semisolid |
| Soluplus | 14.68 ± 1.46 | Carrier | Solid |
| PVPk30 | 7.77 ± 0.19 | Carrier | Solid |
| PEG6000 | 8.05 ± 0.41 | Carrier | Solid |
| POX | 17.11 ± 0.87 | Carrier | Solid |
| PEO | 12.44 ± 3.85 | Carrier | Solid |
| Primojel | 6.90 ± 0.23 | Carrier | Solid |
| HPMC 6cps | 11.69 ± 0.29 | Carrier | Solid |
| Gelucire 44/14 | 25.37 ± 4.06 | Surfactant | Semisolid |
| Span 20 | 11.55 ± 0.54 | Surfactant | Liquid |
| Span 80 | 8.54 ± 0.50 | Surfactant | Liquid |
| Brij 35 | 45.32 ± 2.96 | Surfactant | Semisolid |
| Brij 56 | 33.99 ± 3.13 | Surfactant | Semisolid |
| Brij 92 | 9.24 ± 0.56 | Surfactant | Semisolid |
| Brij 97 | 46.39 ± 3.98 | Surfactant | Semisolid |
| Brij 98 | 52.88 ± 2.08 | Surfactant | Semisolid |
| Ariacel 83 | 9.17 ± 0.16 | Surfactant | Semisolid |
| Tween 80 | 39.07 ± 0.86 | Surfactant | Liquid |
| SLS | 1170.54 ± 1.05 | Surfactant | Solid |
| Code | CLT (mg) | POX (mg) | SLS (mg) | D10 (µm) | D50 (µm) | D90 (µm) | Method |
|---|---|---|---|---|---|---|---|
| CLT | 50 | — | — | 1.76 | 7.44 | 23.23 | — |
| POX | — | 50 | — | 28.48 | 131.94 | 379.57 | — |
| SLS | — | — | 10 | 5.32 | 65.37 | 254.23 | — |
| F6 | 50 | 50 | 10 | 3.24 | 34.06 | 196.78 | PM |
| F7 | 50 | 50 | — | 4.29 | 40.82 | 303.15 | Antisolvent |
| F8 | 50 | 50 | 10 | 3.62 | 27.4 | 261.28 | Antisolvent |
| F9 | 50 | 50 | — | 34.75 | 227.98 | 394.26 | Fusion |
| F10 | 50 | 50 | 10 | 9.22 | 115.84 | 367.9 | Fusion |
| F11 | 50 | 50 | — | 12.77 | 125.71 | 376.99 | Solvent |
| F12 | 50 | 50 | 10 | 14.14 | 123.49 | 352.17 | Solvent |
| Sample | SLS | Particle Size (µm) | ||
|---|---|---|---|---|
| Before Drying | After Drying | Redispersion a | ||
| F7 | No | 1.17 ± 0.06 | 37.44 ± 4.78 | 3.51 ± 0.29 |
| F8 30mL DW b | Yes | 2.06 ± 0.27 | 69.09 ± 1.06 | 2.36 ± 0.3 |
| F8 30mL GF (pH 1.2) b | Yes | 3.32 ± 0.03 | 93.38 ± 3.05 | 3.73 ± 0.19 |
Publisher’s Note: MDPI stays neutral with regard to jurisdictional claims in published maps and institutional affiliations. |
© 2021 by the authors. Licensee MDPI, Basel, Switzerland. This article is an open access article distributed under the terms and conditions of the Creative Commons Attribution (CC BY) license (https://creativecommons.org/licenses/by/4.0/).
Share and Cite
Jin, G.; Ngo, H.V.; Cui, J.-H.; Wang, J.; Park, C.; Lee, B.-J. Role of Surfactant Micellization for Enhanced Dissolution of Poorly Water-Soluble Cilostazol Using Poloxamer 407-Based Solid Dispersion via the Anti-Solvent Method. Pharmaceutics 2021, 13, 662. https://doi.org/10.3390/pharmaceutics13050662
Jin G, Ngo HV, Cui J-H, Wang J, Park C, Lee B-J. Role of Surfactant Micellization for Enhanced Dissolution of Poorly Water-Soluble Cilostazol Using Poloxamer 407-Based Solid Dispersion via the Anti-Solvent Method. Pharmaceutics. 2021; 13(5):662. https://doi.org/10.3390/pharmaceutics13050662
Chicago/Turabian StyleJin, Gang, Hai V. Ngo, Jing-Hao Cui, Jie Wang, Chulhun Park, and Beom-Jin Lee. 2021. "Role of Surfactant Micellization for Enhanced Dissolution of Poorly Water-Soluble Cilostazol Using Poloxamer 407-Based Solid Dispersion via the Anti-Solvent Method" Pharmaceutics 13, no. 5: 662. https://doi.org/10.3390/pharmaceutics13050662
APA StyleJin, G., Ngo, H. V., Cui, J.-H., Wang, J., Park, C., & Lee, B.-J. (2021). Role of Surfactant Micellization for Enhanced Dissolution of Poorly Water-Soluble Cilostazol Using Poloxamer 407-Based Solid Dispersion via the Anti-Solvent Method. Pharmaceutics, 13(5), 662. https://doi.org/10.3390/pharmaceutics13050662

