Development of Microemulsion Containing Alpinia galanga Oil and Its Major Compounds: Enhancement of Antimicrobial Activities
Abstract
1. Introduction
2. Materials and Methods
2.1. Materials and Microorganisms
2.2. Formulation of ME-AGO, ME-C, and ME-M
2.3. Characterization of ME-AGO, ME-C, and ME-M
2.4. Antibacterial Activity of ME-AGO, ME-C, and ME-M
2.4.1. Agar Diffusion Analysis
2.4.2. Broth Microdilution Analysis
2.4.3. Time-Killing Kinetic Study
2.5. Antifungal Activity of ME-AGO, ME-C, and ME-M
2.6. Stability Study
2.6.1. Physical Stability
2.6.2. Antimicrobial Activity after Storage
2.7. Statistical Analysis
3. Results and Discussion
3.1. AGO and Its Chemical Compounds-Based ME Preparation and Characterization
3.2. Antimicrobial Activities ME-AGO, ME-C, and ME-M
3.2.1. Antibacterial Activity
3.2.2. Antifungal Activity
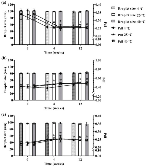
3.3. Stability Study
3.3.1. Physical Stability
3.3.2. Antimicrobial Activity after Storage
4. Conclusions
Author Contributions
Funding
Institutional Review Board Statement
Informed Consent Statement
Data Availability Statement
Acknowledgments
Conflicts of Interest
References
- Martinović, T.; Andjelković, U.; Gajdošik, M.Š.; Rešetar, D.; Josić, D. Foodborne pathogens and their toxins. J. Proteom. 2016, 147, 226–235. [Google Scholar] [CrossRef]
- Gallucci, M.N.; Oliva, M.; Casero, C.; Dambolena, J.; Luna, A.; Zygadlo, J.; Demo, M. Antimicrobial combined action of terpenes against the food-borne microorganisms Escherichia coli, Staphylococcus aureus and Bacillus cereus. Flavour Fragr. J. 2009, 24, 348–354. [Google Scholar] [CrossRef]
- Thanaboripat, D.; Suvathi, Y.; Srilohasin, P.; Sripakdee, S.; Patthanawanitchai, O.; Charoensettasilp, S. Inhibitory effect of essential oils on the growth of Aspergillus flavus. KMITL Sci. Technol. J. 2007, 6, 18–24. [Google Scholar]
- De Ruyck, K.; De Boevre, M.; Huybrechts, I.; De Saeger, S. Dietary mycotoxins, co-exposure, and carcinogenesis in humans: Short review. Mutat. Res. Mutat. Res. 2015, 766, 32–41. [Google Scholar] [CrossRef]
- Oonmetta-aree, J.; Suzuki, T.; Gasaluck, P.; Eumkeb, G. Antimicrobial properties and action of galangal (Alpinia galanga Linn.) on Staphylococcus aureus. LWT Food Sci. Technol. 2006, 39, 1214–1220. [Google Scholar] [CrossRef]
- Chudiwal, A.K.; Jain, D.P.; Somani, R.S. Alpinia galanga Willd—An overview on phyto-pharmacological properties. Indian J. Nat. Prod. Resour. 2010, 1, 143–149. [Google Scholar]
- Jantan, I.B.; Ahmad, F.B.; Ahmad, A.S. Constituents of the rhizome and seed oils of greater galangal alpinia galanga (L.) Willd. From Malaysia. J. Essent. Oil Res. 2004, 16, 174–176. [Google Scholar] [CrossRef]
- Khumpirapang, N.; Pikulkaew, S.; Anuchapreeda, S.; Okonogi, S. Alpinia galanga oil—A new natural source of fish anaesthetic. Aquac. Res. 2018, 49, 1546–1556. [Google Scholar] [CrossRef]
- Sybiya Vasantha Packiavathy, I.A.; Agilandeswari, P.; Musthafa, K.S.; Karutha Pandian, S.; Veera Ravi, A. Antibiofilm and quorum sensing inhibitory potential of Cuminum cyminum and its secondary metabolite methyl eugenol against Gram negative bacterial pathogens. Food Res. Int. 2012, 45, 85–92. [Google Scholar] [CrossRef]
- Bakkali, F.; Averbeck, S.; Averbeck, D.; Idaomar, M. Biological effects of essential oils–A review. Food Chem. Toxicol. 2008, 46, 446–475. [Google Scholar] [CrossRef]
- Kahkeshani, N.; Hadjiakhoondi, A.; Navidpour, L.; Akbarzadeh, T.; Safavi, M.; Karimpour-Razkenari, E.; Khanavi, M. Chemodiversity of Nepeta menthoides Boiss. & Bohse. Essential oil from Iran and antimicrobial, acetylcholinesterase inhibitory and cytotoxic properties of 1,8-cineole chemotype. Nat. Prod. Res. 2018, 32, 2745–2748. [Google Scholar] [PubMed]
- Khumpirapang, N.; Pikulkaew, S.; Anuchapreeda, S.; Okonogi, S. Anesthetic activity of plant essential oils on Cyprinus carpio (koi carp). Drug Discov. Ther. 2018, 12, 21–30. [Google Scholar] [CrossRef] [PubMed]
- Kheawfu, K.; Pikulkaew, S.; Hamamoto, H.; Sekimizu, K.; Okonogi, S. Influence of clove oil and eugenol on muscle contraction of silkworm (Bombyx mori). Drug Discov. Ther. 2017, 11, 64–69. [Google Scholar] [CrossRef][Green Version]
- Saeio, K.; Chaiyana, W.; Okonogi, S. Antityrosinase and antioxidant activities of essential oils of edible Thai plants. Drug Discov. Ther. 2011, 5, 144–149. [Google Scholar] [CrossRef] [PubMed]
- Sikkema, J.; de Bont, J.A.; Poolman, B. Mechanisms of membrane toxicity of hydrocarbons. Microbiol. Rev. 1995, 59, 201–222. [Google Scholar] [CrossRef]
- Lambert, R.J.W.; Skandamis, P.N.; Coote, P.J.; Nychas, G. A study of the minimum inhibitory concentration and mode of action of oregano essential oil, thymol and carvacrol. J. Appl. Microbiol. 2001, 91, 453–462. [Google Scholar] [CrossRef] [PubMed]
- Carson, C.F.; Mee, B.J.; Riley, T. V Mechanism of action of Melaleuca alternifolia (tea tree) oil on Staphylococcus aureus determined by time-kill, lysis, leakage, and salt tolerance assays and electron microscopy. Antimicrob. Agents Chemother. 2002, 46, 1914–1920. [Google Scholar] [CrossRef]
- Bajpai, V.K.; Sharma, A.; Baek, K.-H. Antibacterial mode of action of Cudrania tricuspidata fruit essential oil, affecting membrane permeability and surface characteristics of food-borne pathogens. Food Control 2013, 32, 582–590. [Google Scholar] [CrossRef]
- Lv, F.; Liang, H.; Yuan, Q.; Li, C. In vitro antimicrobial effects and mechanism of action of selected plant essential oil combinations against four food-related microorganisms. Food Res. Int. 2011, 44, 3057–3064. [Google Scholar] [CrossRef]
- Moreira, M.R.; Ponce, A.G.; Dell Valle, C.E.; Roura, S.I. Inhibitory parameters of essential oils to reduce a foodborne pathogen. Food Sci. Technol. 2005, 38, 565–570. [Google Scholar] [CrossRef]
- Juneja, V.K.; Dwivedi, H.P.; Yan, X. Novel natural food antimicrobials. Annu. Rev. Food Sci. Technol. 2012, 3, 381–403. [Google Scholar] [CrossRef]
- Lawrence, M.J.; Rees, G.D. Microemulsion-based media as novel drug delivery systems. Adv. Drug Deliv. Rev. 2012, 45, 89–121. [Google Scholar] [CrossRef]
- Ghosh, P.K.; Majithiya, R.J.; Umrethia, M.L.; Murthy, R.S.R. Design and development of microemulsion drug delivery system of acyclovir for improvement of oral bioavailability. AAPS PharmSciTech 2006, 7, E1–E6. [Google Scholar] [CrossRef] [PubMed]
- Rao, Y.S.; Deepthi, K.S.; Chowdary, K.P. Microemulsions: A novel drug carrier system. Int. J. Drug Deliv. Technol. 2009, 1, 39–41. [Google Scholar] [CrossRef][Green Version]
- Gupta, A.K.; Davey, V.; Mcphail, H. Evaluation of the effectiveness of imiquimod and 5-fluorouracil for the treatment of actinic keratosis: Critical review and meta-analysis of efficacy studies. J. Cutan. Med. Surg. 2005, 9, 209–214. [Google Scholar] [CrossRef]
- Gallarate, M.; Carlotti, M.E.; Trotta, M.; Bovo, S. On the stability of ascorbic acid in emulsified systems for topical and cosmetic use. Int. J. Pharm. 1999, 188, 233–241. [Google Scholar] [CrossRef]
- Bharti, S.K.; Kesavan, K. Phase-transition W/O microemulsions for ocular delivery: Evaluation of antibacterial activity in the treatment of bacterial keratitis. Ocul. Immunol. Inflamm. 2017, 25, 463–474. [Google Scholar] [CrossRef] [PubMed]
- Ghosh, V.; Saranya, S.; Mukherjee, A.; Chandrasekaran, N. Antibacterial microemulsion prevents sepsis and triggers healing of wound in wistar rats. Colloids Surf. B Biointerfaces 2013, 105, 152–157. [Google Scholar] [CrossRef]
- Chaiyana, W.; Saeio, K.; Hennink, W.E.; Okonogi, S. Characterization of potent anticholinesterase plant oil based microemulsion. Int. J. Pharm. 2010, 401, 32–40. [Google Scholar] [CrossRef] [PubMed]
- National Committee for Clinical Laboratory Standards (NCCLS). CLSI Document M27-A; VA Medical Center: Tuscon, AZ, USA, 1996.
- De Azeredo, G.A.; Stamford, T.L.M.; Nunes, P.C.; Neto, N.J.G.; De Oliveira, M.E.G.; De Souza, E.L. Combined application of essential oils from Origanum vulgare L. and Rosmarinus officinalis L. to inhibit bacteria and autochthonous microflora associated with minimally processed vegetables. Food Res. Int. 2011, 44, 1541–1548. [Google Scholar] [CrossRef]
- Chang, H.T.; Cheng, Y.H.; Wu, C.L.; Chang, S.T.; Chang, T.T.; Su, Y.C. Antifungal activity of essential oil and its constituents from Calocedrus macrolepis var. formosana Florin leaf against plant pathogenic fungi. Bioresour. Technol. 2008, 99, 6266–6270. [Google Scholar]
- Chaiyana, W.; Rades, T.; Okonogi, S. Characterization and in vitro permeation study of microemulsions and liquid crystalline systems containing the anticholinesterase alkaloidal extract from Tabernaemontana divaricata. Int. J. Pharm. 2013, 452, 201–210. [Google Scholar] [CrossRef]
- Sharma, S.; Garg, T.; Rath, G.; Goyal, A.K. Development and characterization of fenofibrate micro emulsion based on pseudo-ternary phase diagram. J. Colloid Sci. Biotechnol. 2015, 4, 49–56. [Google Scholar] [CrossRef]
- Khumpirapang, N.; Pikulkaew, S.; Müllertz, A.; Rades, T.; Okonogi, S. Self-microemulsifying drug delivery system and nanoemulsion for enhancing aqueous miscibility of Alpinia galanga oil. PLoS ONE 2017, 12, e0188848. [Google Scholar] [CrossRef]
- Prieto, C.; Calvo, L. Performance of the biocompatible surfactant Tween 80, for the formation of microemulsions suitable for new pharmaceutical processing. J. Appl. Chem. 2013, 2013, 1–10. [Google Scholar] [CrossRef]
- Schwartzberg, L.S.; Navari, R.M. Safety of Polysorbate 80 in the Oncology Setting. Adv. Ther. 2018, 35, 754–767. [Google Scholar] [CrossRef]
- Yaghmur, A.; Aserin, A.; Garti, N. Phase behavior of microemulsions based on food-grade nonionic surfactants: Effect of polyols and short-chain alcohols. Colloids Surf. A Physicochem. Eng. Asp. 2002, 209, 71–81. [Google Scholar] [CrossRef]
- Melo, A.D.B.; Amaral, A.F.; Schaefer, G.; Luciano, F.B.; de Andrade, C.; Costa, L.B.; Rostagno, M.H. Antimicrobial effect against different bacterial strains and bacterial adaptation to essential oils used as feed additives. Can. J. Vet. Res. 2015, 79, 285–289. [Google Scholar] [PubMed]
- Kurade, N.P.; Jaitak, V.; Kaul, V.K.; Sharma, O.P. Chemical composition and antibacterial activity of essential oils of Lantana camara, Ageratum houstonianum and Eupatorium adenophorum. Pharm. Biol. 2010, 48, 539–544. [Google Scholar] [CrossRef] [PubMed]
- Okonogi, S.; Prakatthagomol, W.; Ampasavate, C.; Klayraung, S. Killing kinetics and bactericidal mechanism of action of Alpinia galanga on food borne bacteria. Afr. J. Microbiol. Res. 2011, 5, 2847–2854. [Google Scholar]
- Sharifi-Rad, J.; Salehi, B.; Varoni, E.M.; Sharopov, F.; Yousaf, Z.; Ayatollahi, S.A.; Kobarfard, F.; Sharifi-Rad, M.; Afdjei, M.H.; Sharifi-Rad, M.; et al. Plants of the Melaleuca Genus as Antimicrobial Agents: From Farm to Pharmacy. Phyther. Res. 2017, 31, 1475–1494. [Google Scholar] [CrossRef]
- Ratledge, C.; Wilkinson, S.G. An overview of microbial lipids. Microb. Lipids 1988, 1, 3–22. [Google Scholar]
- Vaara, M. Agents that increase the permeability of the outer membrane. Microbiol. Mol. Biol. Rev. 1992, 56, 395–411. [Google Scholar] [CrossRef]
- Tassou, C.C.; Drosinos, E.H.; Nychas, G.J.E. Effects of essential oil from mint (Mentha piperita) on Salmonella enteritidis and Listeria monocytogenes in model food systems at 4 °C and 10 °C. J. Appl. Bacteriol. 1995, 78, 593–600. [Google Scholar] [CrossRef]
- Deans, S.G.; Ritchie, G. Antibacterial properties of plant essential oils. Int. J. Food Microbiol. 1987, 5, 165–180. [Google Scholar] [CrossRef]
- Dorman, H.J.D.; Deans, S.G. Antimicrobial agents from plants: Antibacterial activity of plant volatile oils. J. Appl. Microbiol. 2000, 88, 308–316. [Google Scholar] [CrossRef]
- Chalchat, J.C.; Özcan, M.M. Comparative essential oil composition of flowers, leaves and stems of basil (Ocimum basilicum L.) used as herb. Food Chem. 2008, 110, 501–503. [Google Scholar] [CrossRef]
- Morita, H.; Itokawa, H. Cytotoxic and antifungal diterpenes from the seeds of Alpinia galanga. Planta Med. 1988, 54, 117–120. [Google Scholar] [CrossRef] [PubMed]
- Gill, A.O.; Delaquis, P.; Russo, P.; Holley, R.A. Evaluation of antilisterial action of cilantro oil on vacuum packed ham. Int. J. Food Microbiol. 2002, 73, 83–92. [Google Scholar] [CrossRef]
- Mourey, A.; Canillac, N. Anti-Listeria monocytogenes activity of essential oils components of conifers. Food Control 2002, 13, 289–292. [Google Scholar] [CrossRef]
- Appiah, T.; Boakye, Y.D.; Agyare, C. Antimicrobial activities and time-kill kinetics of extracts of selected ghanaian mushrooms. Evid. Based Complement. Altern. Med. 2017, 2017, 1–15. [Google Scholar] [CrossRef]
- Moye, Z.D.; Woolston, J.; Sulakvelidze, A. Bacteriophage Applications for Food Production and Processing. Viruses 2018, 10, 205. [Google Scholar] [CrossRef] [PubMed]
- Black, R.E.; Brown, K.H.; Becker, S.; Alim, A.R.M.A.; Merson, M.H. Contamination of weaning foods and transmission of enterotoxigenic Escherichia coli diarrhoea in children in rural Bangladesh. Trans. R. Soc. Trop. Med. Hyg. 1982, 76, 259–264. [Google Scholar] [CrossRef]
- Robins-Browne, R.M.; Hartland, E.L. Escherichia coli as a cause of diarrhea. J. Gastroenterol. Hepatol. 2002, 17, 467–475. [Google Scholar] [CrossRef]
- Gilbert, P. The revival of micro-organisms sub-lethally treated with chemical agents. In Recovery of Injured Microorganisms; Russell, A.D., Andrews, M.H., Eds.; Academic Press: London, UK, 1984; pp. 175–197. [Google Scholar]
- Dammak, I.; Hamdi, Z.; Kammoun El Euch, S.; Zemni, H.; Mliki, A.; Hassouna, M.; Lasram, S. Evaluation of antifungal and anti-ochratoxigenic activities of Salvia officinalis, Lavandula dentata and Laurus nobilis essential oils and a major monoterpene constituent 1,8-cineole against Aspergillus carbonarius. Ind. Crops Prod. 2019, 128, 85–93. [Google Scholar] [CrossRef]
- Vilela, G.R.; de Almeida, G.S.; D’Arce, M.A.B.R.; Moraes, M.H.D.; Brito, J.O.; da Silva, M.F.D.G.; Silva, S.C.; Piedade, S.M.D.S.; Calori-Domingues, M.A.; da Gloria, E.M. Activity of essential oil and its major compound, 1, 8-cineole, from Eucalyptus globulus Labill., against the storage fungi Aspergillus flavus Link and Aspergillus parasiticus Speare. J. Stored Prod. Res. 2009, 45, 108–111. [Google Scholar] [CrossRef]
- Pinto, E.; Gonçalves, M.-J.; Cavaleiro, C.; Salgueiro, L. Antifungal activity of Thapsia villosa essential oil against Candida, Cryptococcus, Malassezia, Aspergillus and Dermatophyte Species. Molecules 2017, 22, 1595. [Google Scholar] [CrossRef] [PubMed]
- Ahmad, A.; Khan, A.; Khan, L.A.; Manzoor, N. In vitro synergy of eugenol and methyleugenol with fluconazole against clinical Candida isolates. J. Med. Microbiol. 2010, 59, 1178–1184. [Google Scholar] [CrossRef]
- Hamouda, T.; Baker, J.R., Jr. Antimicrobial mechanism of action of surfactant lipid preparations in enteric Gram-negative bacilli. J. Appl. Microbiol. 2000, 89, 397–403. [Google Scholar] [CrossRef]
- Al-Adham, I.S.I.; Khalil, E.; Al-Hmoud, N.D.; Kierans, M.; Collier, P. Microemulsions are membrane-active, antimicrobial, self-preserving systems. J. Appl. Microbiol. 2000, 89, 32–39. [Google Scholar] [CrossRef] [PubMed]





| Formulation | API | Smix | Water | Size (nm) | PdI | |
|---|---|---|---|---|---|---|
| ME-AGO-1 | AGO | 20 | 60 | 20 | 85.7 ± 0.5 a | 0.5 ± 0.1 a | 
| ME-AGO-2 | 25 | 55 | 20 | 93.10 ± 1.7 b | 0.5 ± 0.1 a | |
| ME-AGO-3 | 30 | 50 | 20 | 101.1 ± 1.3 c | 0.3 ± 0.1 b | |
| ME-C-1 | 1,8-cineole | 20 | 60 | 20 | 55.7 ± 1.8 a | 0.8 ± 0.1 a | 
| ME-C-2 | 25 | 55 | 20 | 74.4 ± 2.6 b | 0.4 ± 0.1 b | |
| ME-C-3 | 30 | 50 | 20 | 80.9 ± 1.1 c | 0.4 ± 0.1 b | |
| ME-M-1 | methyl eugenol | 20 | 60 | 20 | 41.8 ± 4.6 a | 0.7 ± 0.1 a | 
| ME-M-2 | 25 | 55 | 20 | 74.9 ± 0.1 b | 0.2 ± 0.1 b | |
| ME-M-3 | 30 | 50 | 20 | 96.6 ± 2.0 b | 0.2 ± 0.1 b | |
| Samples | Diameter of Inhibition Zone * (mm) | ||||
|---|---|---|---|---|---|
| B. cereus | S. aureus | E. coli | S. typhi | S. sonnei | |
| AGO | 7.4 ± 0.2 a | 7.8 ± 0.2 a | 8.4 ± 0.3 a | 8.1 ± 0.2 a | 7.0 ± 0.1 a | 
| 1,8-cineole | 7.2 ± 0.3 a | 7.5 ± 0.5 a | 6.1 ± 0.2 a | 7.2 ± 0.1 a | 7.6 ± 0.4 a | 
| Methyl eugenol | 7.7 ± 0.3 a | 8.2 ± 0.1 a | 7.5 ± 0.3 a | 8.2 ± 0.3 a | 7.1 ± 0.2 a | 
| ME-AGO-3 | 10.4 ± 0.7 b | 11.4 ± 0.2 b | 8.2 ± 0.3 b | 7.6 ± 0.5 a | 9.2 ± 0.6 a,b | 
| ME-C-3 | 11.9 ± 0.3 b | 12.4 ± 0.5 c | 8.8 ± 0.2 c | 8.9 ± 0.4 b | 10.5 ± 0.5 b | 
| ME-M-3 | 10.4 ± 1.0 b | 11.3 ± 0.2 b | 8.1 ± 0.4 b | 8.1 ± 0.2 a | 9.5 ± 0.6 a,b | 
| Gentamycin | 17.1 ± 2.1 c | 22.1 ± 0.5 d | 21.2 ± 0.4 d | 22.6 ± 0.3 c | 23.1 ± 0.2 c | 
| Ethanol | NZ | NZ | NZ | NZ | NZ | 
| Blank ME-API | NZ | NZ | NZ | NZ | NZ | 
| Samples | Foodborne Bacteria | ||||
|---|---|---|---|---|---|
| B. cereus | S. aureus | E. coli | S. typhi | S. sonnei | |
| AGO | 15.63 | 15.63 | 7.81 | 7.81 | 7.81 | 
| 1,8-cineole | 31.25 | 31.25 | 15.63 | 31.25 | 31.25 | 
| Methyl eugenol | 7.81 | 7.81 | 31.25 | 7.81 | 7.81 | 
| ME-AGO-3 | 7.81 | 15.63 | 7.81 | 7.81 | 3.91 | 
| ME-C-3 | 7.81 | 31.25 | 15.63 | 7.81 | 7.81 | 
| ME-M-3 | 15.63 | 15.63 | 15.63 | 3.91 | 7.81 | 
| Gentamycin | 0.13 | 0.13 | 0.49 | 0.13 | 0.13 | 
| Ethanol | 125 | 250 | 250 | 125 | 125 | 
| Blank ME-API | 250 | >500 | >500 | 250 | >500 | 
| Samples | Fungal Species * | ||
|---|---|---|---|
| A. flavus | A. niger | F. solani | |
| AGO | 2.47 ± 0.05 a | 2.01 ± 0.03 a | 3.24 ± 0.10 a | 
| 1,8-cineole | >5 | >5 | >5 | 
| Methyl eugenol | 2.02 ± 0.03 b | 1.88 ± 0.01 a | 2.00 ± 0.07 b | 
| ME-AGO-3 | 1.53 ± 0.09 c | 1.38 ± 0.14 b | 1.04 ± 0.29 c | 
| ME-C-3 | >5 | >5 | 1.83 ± 0.27 b | 
| ME-M-3 | 1.15 ± 0.07 d | 1.05 ± 0.01 c | 0.46 ± 0.13 d | 
| Nystatin | 1.22 ± 0.09 d | 1.30 ± 0.08 b | 1.04 ± 0.20 c | 
| Ethanol | NA | NA | NA | 
| Blank ME-API | NA | NA | NA | 
| Publisher’s Note: MDPI stays neutral with regard to jurisdictional claims in published maps and institutional affiliations. | 
© 2021 by the authors. Licensee MDPI, Basel, Switzerland. This article is an open access article distributed under the terms and conditions of the Creative Commons Attribution (CC BY) license (http://creativecommons.org/licenses/by/4.0/).
Share and Cite
Khumpirapang, N.; Klayraung, S.; Tima, S.; Okonogi, S. Development of Microemulsion Containing Alpinia galanga Oil and Its Major Compounds: Enhancement of Antimicrobial Activities. Pharmaceutics 2021, 13, 265. https://doi.org/10.3390/pharmaceutics13020265
Khumpirapang N, Klayraung S, Tima S, Okonogi S. Development of Microemulsion Containing Alpinia galanga Oil and Its Major Compounds: Enhancement of Antimicrobial Activities. Pharmaceutics. 2021; 13(2):265. https://doi.org/10.3390/pharmaceutics13020265
Chicago/Turabian StyleKhumpirapang, Nattakanwadee, Srikanjana Klayraung, Singkome Tima, and Siriporn Okonogi. 2021. "Development of Microemulsion Containing Alpinia galanga Oil and Its Major Compounds: Enhancement of Antimicrobial Activities" Pharmaceutics 13, no. 2: 265. https://doi.org/10.3390/pharmaceutics13020265
APA StyleKhumpirapang, N., Klayraung, S., Tima, S., & Okonogi, S. (2021). Development of Microemulsion Containing Alpinia galanga Oil and Its Major Compounds: Enhancement of Antimicrobial Activities. Pharmaceutics, 13(2), 265. https://doi.org/10.3390/pharmaceutics13020265
 
        


 
                         
       