Hybrid Inhibitors of DNA Gyrase A and B: Design, Synthesis and Evaluation
Abstract
1. Introduction
2. Materials and Methods
2.1. General Information—Chemistry
2.2. Molecular Docking
2.3. Determination of Inhibitory Activities on Escherichia coli DNA Gyrase and Topoisomerase IV
2.4. Determination of Antibacterial Activities
3. Results and Discussion
3.1. Design
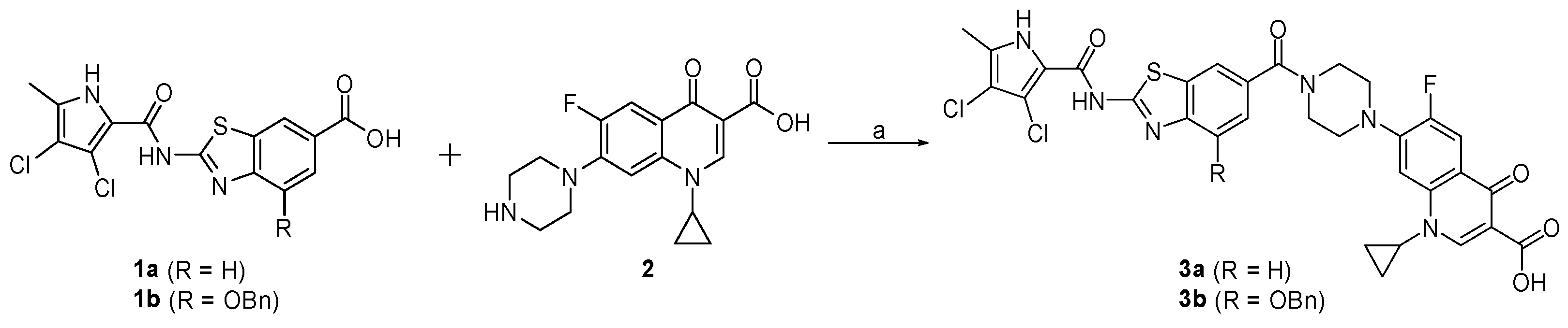
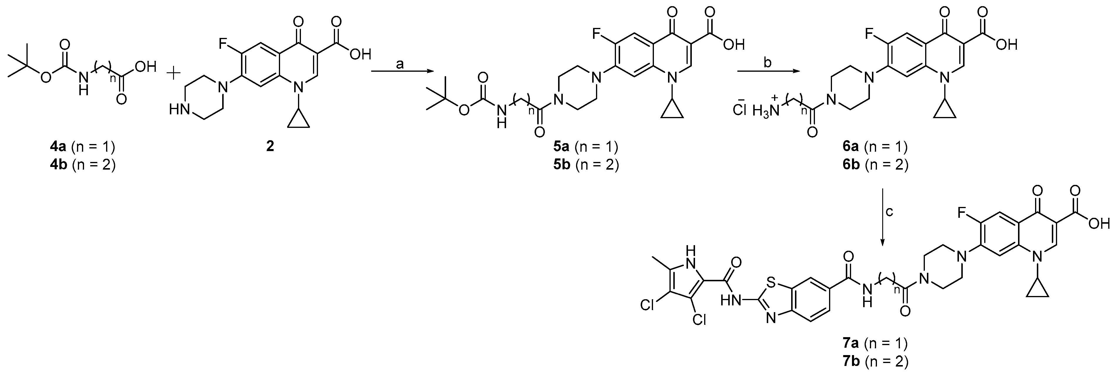
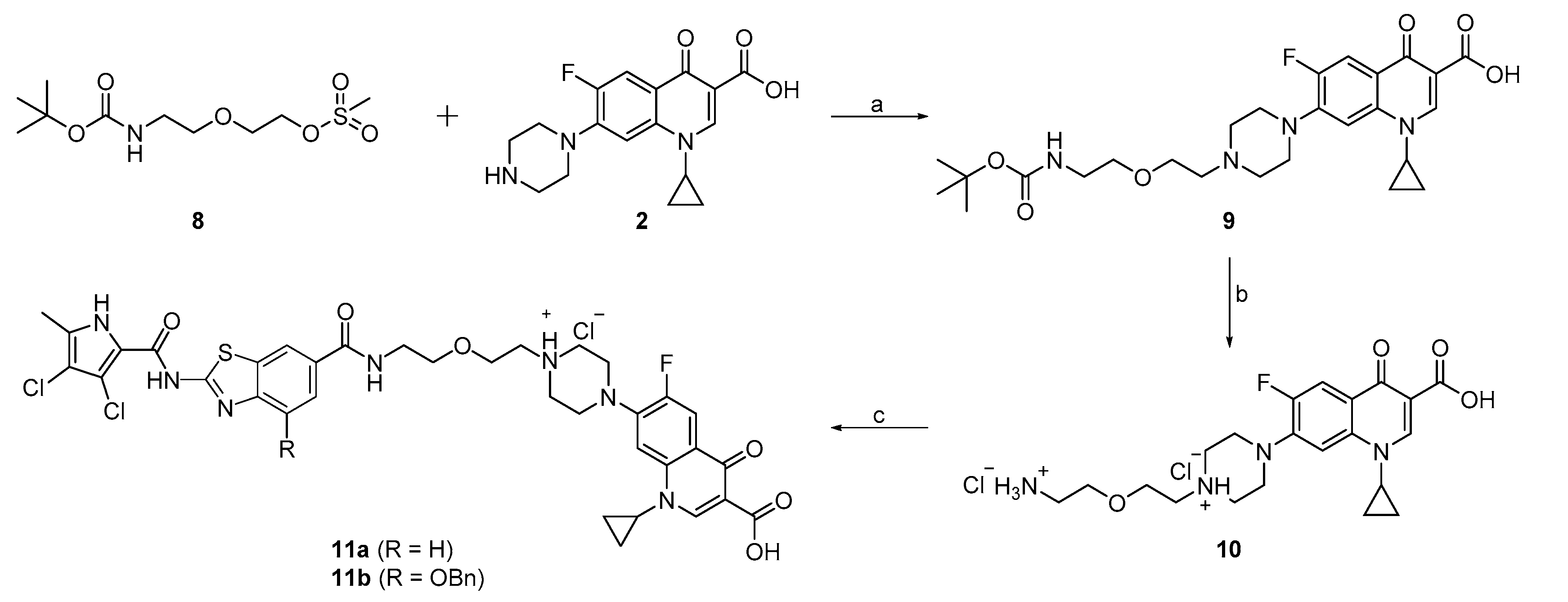
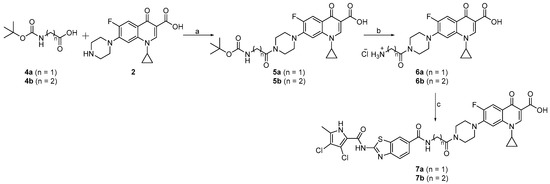
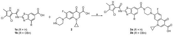
3.2. Chemistry
3.3. Enzyme Inhibition and Antibacterial Activities
4. Conclusions
Supplementary Materials
Author Contributions
Funding
Institutional Review Board Statement
Informed Consent Statement
Data Availability Statement
Acknowledgments
Conflicts of Interest
Appendix A
Synthetic Procedures and Analytical Data
References
- Silver, L.L. Multi-targeting by monotherapeutic antibacterials. Nat. Rev. Drug Discov. 2007, 6, 41–55. [Google Scholar] [CrossRef]
- Mayer, C.; Janin, Y.L. Non-quinolone inhibitors of bacterial type IIA topoisomerases: A feat of bioisosterism. Chem. Rev. 2014, 114, 2313–2342. [Google Scholar] [CrossRef]
- Tomašić, T.; Mašič, L.P. Prospects for developing new antibacterials targeting bacterial type IIA topoisomerases. Curr. Top. Med. Chem. 2014, 14, 130–151. [Google Scholar] [CrossRef] [PubMed]
- Champoux, J.J. DNA Topoisomerases: Structure, function, and mechanism. Ann. Rev. Biochem. 2001, 70, 369–413. [Google Scholar] [CrossRef] [PubMed]
- Hooper, D.C.; Jacoby, G.A. Topoisomerase inhibitors: Fluoroquinolone mechanisms of action and resistance. Cold Spring Harb. Perspect. Med. 2016, 6. [Google Scholar] [CrossRef] [PubMed]
- Pham, T.D.M.; Ziora, Z.M.; Blaskovich, M.A.T. Quinolone antibiotics. Med. Chem. Commun. 2019, 10, 1719–1739. [Google Scholar] [CrossRef] [PubMed]
- Bisacchi, G.S.; Manchester, J.I. A new-class antibacterial—Almost. Lessons in drug discovery and development: A critical analysis of more than 50 years of effort toward ATPase Inhibitors of DNA gyrase and topoisomerase IV. ACS Infect. Dis. 2015, 1, 4–41. [Google Scholar] [CrossRef]
- Gross, C.H.; Parsons, J.D.; Grossman, T.H.; Charifson, P.S.; Bellon, S.; Jernee, J.; Dwyer, M.; Chambers, S.P.; Markland, W.; Botfield, M.; et al. Active-site residues of Escherichia coli DNA gyrase required in coupling ATP hydrolysis to DNA supercoiling and amino acid substitutions leading to novobiocin resistance. Antimicrob. Agents Chemother. 2003, 47, 1037–1046. [Google Scholar] [CrossRef]
- Redgrave, L.S.; Sutton, S.B.; Webber, M.A.; Piddock, L.J.V. Fluoroquinolone resistance: Mechanisms, impact on bacteria, and role in evolutionary success. Trends Microbiol. 2014, 22, 438–445. [Google Scholar] [CrossRef]
- Fluoroquinolone and Quinolone Antibiotics: PRAC Recommends Restrictions on Use. Available online: https://www.ema.europa.eu/en/documents/press-release/fluoroquinolone-quinolone-antibiotics-prac-recommends-restrictions-use_en.pdf (accessed on 5 October 2019).
- Kim, E.S.; Hooper, D.C. Clinical importance and epidemiology of quinolone resistance. Infect. Chemother. 2014, 46, 226–238. [Google Scholar] [CrossRef]
- Aldred, K.J.; Kerns, R.J.; Osheroff, N. Mechanism of quinolone action and resistance. Biochem. 2014, 53, 1565–1574. [Google Scholar] [CrossRef] [PubMed]
- Correia, S.; Poeta, P.; Hébraud, M.; Capelo, J.L.; Igrejas, G. Mechanisms of quinolone action and resistance: Where do we stand? J. Med. Microbiol. 2017, 66, 551–559. [Google Scholar] [CrossRef] [PubMed]
- Collin, F.; Karkare, S.; Maxwell, A. Exploiting bacterial DNA gyrase as a drug target: Current state and perspectives. Appl. Microbiol. Biotechnol. 2011, 92, 479–497. [Google Scholar] [CrossRef] [PubMed]
- Tomašič, T.; Katsamakas, S.; Hodnik, Ž.; Ilaš, J.; Brvar, M.; Solmajer, T.; Montalvão, S.; Tammela, P.; Banjanac, M.; Ergović, G.; et al. Discovery of 4,5,6,7-Tetrahydrobenzo[1,2- d ]thiazoles as Novel DNA gyrase inhibitors targeting the ATP-binding site. J. Med. Chem. 2015, 58, 5501–5521. [Google Scholar] [CrossRef]
- Zidar, N.; Macut, H.; Tomašič, T.; Brvar, M.; Montalvão, S.; Tammela, P.; Solmajer, T.; Peterlin Mašič, L.; Ilaš, J.; Kikelj, D. N -Phenyl-4,5-dibromopyrrolamides and N -Phenylindolamides as ATP competitive DNA gyrase B inhibitors: Design, synthesis, and evaluation. J. Med. Chem. 2015, 58, 6179–6194. [Google Scholar] [CrossRef]
- Gjorgjieva, M.; Tomašič, T.; Barančokova, M.; Katsamakas, S.; Ilaš, J.; Tammela, P.; Peterlin Mašič, L.; Kikelj, D. Discovery of benzothiazole scaffold-based DNA gyrase B inhibitors. J. Med. Chem. 2016, 59, 8941–8954. [Google Scholar] [CrossRef]
- Durcik, M.; Lovison, D.; Skok, Ž.; Durante Cruz, C.; Tammela, P.; Tomašič, T.; Benedetto Tiz, D.; Draskovits, G.; Nyerges, Á.; Pál, C.; et al. New N-phenylpyrrolamide DNA gyrase B inhibitors: Optimization of efficacy and antibacterial activity. Eur. J. Med. Chem. 2018, 154, 117–132. [Google Scholar] [CrossRef]
- Tomašič, T.; Barančoková, M.; Zidar, N.; Ilaš, J.; Tammela, P.; Kikelj, D. Design, synthesis, and biological evaluation of 1-ethyl-3-(thiazol-2-yl)urea derivatives as Escherichia coli DNA gyrase inhibitors. Arch. Pharm. 2018, 351, 1700333. [Google Scholar] [CrossRef]
- Fois, B.; Skok, Ž.; Tomašič, T.; Ilaš, J.; Zidar, N.; Zega, A.; Peterlin Mašič, L.; Szili, P.; Draskovits, G.; Nyerges, Á. Dual Escherichia coli DNA Gyrase A and B Inhibitors with Antibacterial Activity. Chem. Med. Chem. 2020, 15, 265–269. [Google Scholar] [CrossRef]
- Nyerges, A.; Tomašič, T.; Durcik, M.; Revesz, T.; Szili, P.; Draskovits, G.; Bogar, F.; Skok, Ž.; Zidar, N.; Ilaš, J. Rational design of balanced dual-targeting antibiotics with limited resistance. PLoS Biol. 2020, 18, e3000819. [Google Scholar] [CrossRef]
- Rice, L.B. Federal funding for the study of antimicrobial resistance in nosocomial pathogens: No ESKAPE. J. Infect. Dis. 2008, 197, 1079–1081. [Google Scholar] [CrossRef] [PubMed]
- Vanden Broeck, A.; Lotz, C.; Ortiz, J.; Lamour, V. Cryo-EM structure of the complete E. coli DNA gyrase nucleoprotein complex. Nat. Commun. 2019, 10, 4935. [Google Scholar] [CrossRef] [PubMed]
- Chan, P.F.; Srikannathasan, V.; Huang, J.; Cui, H.; Fosberry, A.P.; Gu, M.; Hann, M.M.; Hibbs, M.; Homes, P.; Ingraham, K.; et al. Structural basis of DNA gyrase inhibition by antibacterial QPT-1, anticancer drug etoposide and moxifloxacin. Nat. Commun. 2015, 6, 10048. [Google Scholar] [CrossRef]
- The PyMOL Molecular Graphics System, Version 1.8; Schrödinger, LLC.: New York, NY, USA, 2014.
- Durcik, M.; Tammela, P.; Barančoková, M.; Tomašič, T.; Ilaš, J.; Kikelj, D.; Zidar, N. Synthesis and Evaluation of N-Phenylpyrrolamides as DNA Gyrase B Inhibitors. Chem. Med. Chem. 2018, 13, 186–198. [Google Scholar] [CrossRef] [PubMed]
- Nyerges, Á.; Csörgő, B.; Nagy, I.; Bálint, B.; Bihari, P.; Lázár, V.; Apjok, G.; Umenhoffer, K.; Bogos, B.; Pósfai, G. A highly precise and portable genome engineering method allows comparison of mutational effects across bacterial species. Proc. Natl. Acad. Sci. USA 2016, 113, 2502–2507. [Google Scholar] [CrossRef] [PubMed]
- Szili, P.; Draskovits, G.; Révész, T.; Bogár, F.; Balogh, D.; Martinek, T.; Daruka, L.; Spohn, R.; Vásárhelyi, B.M.; Czikkely, M.; et al. Rapid evolution of reduced susceptibility against a balanced dual-targeting antibiotic through stepping-stone mutations. Antimicrob. Agents Chemother. 2019, 63. [Google Scholar] [CrossRef]
- Baba, T.; Ara, T.; Hasegawa, M.; Takai, Y.; Okumura, Y.; Baba, M.; Datsenko, K.A.; Tomita, M.; Wanner, B.L.; Mori, H. Construction of Escherichia coli K-12 in-frame, single-gene knockout mutants: The Keio collection. Mol. Syst. Biol. 2006, 2, 2006.0008. [Google Scholar] [CrossRef]
- CLSI. Methods for Antimicrobial Susceptibility Testing of Anaerobic Bacteria; Approved Standard—Eighth Edition. CLSI document M11-A8; Clinical and Laboratory Standards Institute: Wayne, PA, USA, 2012. [Google Scholar]
- Baker, K.R.; Sigurðardóttir, H.H.; Jana, B.; Guardabassi, L. Cephem potentiation by inactivation of nonessential genes involved in cell wall biogenesis of β-lactamase-producing Escherichia coli. Antimicrob. Agents Chemother. 2017, 61. [Google Scholar] [CrossRef]
- Pourahmad Jaktaji, R.; Jazayeri, N. Expression of acrA and acrB Genes in Esherichia coli Mutants with or without marR or acrR Mutations. Iran. J. Basic Med. Sci. 2013, 16, 1254–1258. [Google Scholar]





![]() | ||||
|---|---|---|---|---|
| Cpd. | R | X | IC50 [nM] 1 | |
| E. coli | ||||
| DNA Gyrase | Topoisomerase IV | |||
| 3a | H | ![]() | 450 ± 180 | 1000 ± 150 |
| 3b | OBn | ![]() | 3300 ± 1500 | >10,000 |
| 7a | H | ![]() | 92 ± 10 | 2500 ± 1300 |
| 7b | H | ![]() | 130 ± 10 | 3100 ± 0 |
| 11a2 | H | ![]() | 130 ± 30 | >10,000 |
| 11b3 | OBn | ![]() | 14 ± 9 | 2500 ± 1100 |
| 1a4 | 13 ± 0 | 500 ± 280 | ||
| 1b5 | <10 | 350 ± 50 | ||
| CP 6 | 120 ± 20 | 5400 ± 2100 | ||
| NB 7 | 170 ± 20 | 11,000 ± 2000 | ||
| Cpd. | MIC [µg/mL] 1 | ||||
|---|---|---|---|---|---|
| A. baumannii ATCC 17978 | P. aeruginosa ATCC 27863 | K. pneumoniae ATCC 10031 | E. cloacae spp. cloacae ATCC 13047 | E. coli ATCC 25922 | |
| 3a | 16 | 64 | 0.5 | 4 | 2 |
| (23.4 µM) | (93.6 µM) | (0.73 µM) | (5.85 µM) | (2.93 µM) | |
| 3b | >64 | >64 | >64 | >64 | >64 |
| (>81.0 µM) | (>81.0 µM) | (>81.0 µM) | (>81.0 µM) | (>81.0 µM) | |
| 7a | >64 | >64 | 4 | >64 | >64 |
| (>86.4 µM) | (>86.4 µM) | (5.40 µM) | (>86.4 µM) | (>86.4 µM) | |
| 7b | >64 | >64 | 8 | >64 | >64 |
| (>84.8 µM) | (>84.8 µM) | (10.6 µM) | (>84.8 µM) | (>84.8 µM) | |
| 11a | >64 | >64 | 4 | 64 | 32 |
| (>82.9 µM) | (>82.9 µM) | (5.18 µM) | (82.9 µM) | (41.5 µM) | |
| 11b | 64 | >64 | 1 | 16 | 4 |
| (72.9 µM) | (>72.9 µM) | (1.14 µM) | (18.2 µM) | (4.56 µM) | |
| 1a2 | 4 | 8 | 1 | >64 | 4 |
| (10.8 µM) | (21.6 µM) | (2.70 µM) | (>173 µM) | (10.8 µM) | |
| 1b3 | 2 | 2 | 4 | >64 | 16 |
| (4.20 µM) | (4.20 µM) | (8.40 µM) | (>134 µM) | (33.6 µM) | |
| CP 4 | 0.25 | 0.25 | <0.03125 | <0.03125 | <0.03125 |
| (0.75 µM) | (0.75 µM) | (<0.0943 µM) | (<0.0943 µM) | (<0.0943 µM) | |
| Cpd. | Minimum Inhibitory Concentration [µg/mL] | |||||
|---|---|---|---|---|---|---|
| E. coli BW25113 WT 1 | E. coli BW25113 ΔdapF | E. coli BW25113 ΔmrcB | E. coli BW25113 ΔsurA | E. coli BW25113 ΔacrB | E. coli BW25113 ΔtolC | |
| 3a | 4 | 4 | 4 | 4 | 4 | 1 |
| (5.85 µM) | (5.85 µM) | (5.85 µM) | (5.85 µM) | (5.85 µM) | (1.46 µM) | |
| 3b | >64 | >64 | >64 | >64 | >64 | 16 |
| (>81.0 µM) | (>81.0 µM) | (>81.0 µM) | (>81.0 µM) | (>81.0 µM) | (20.3 µM) | |
| 7a | >64 | >64 | >64 | >64 | >64 | 2 |
| (>86.4 µM) | (>86.4 µM) | (>86.4 µM) | (>86.4 µM) | (>86.4 µM) | (2.70 µM) | |
| 7b | >64 | >64 | >64 | >64 | >64 | 2 |
| (>84.8 µM) | (>84.8 µM) | (>84.8 µM) | (>84.8 µM) | (>84.8 µM) | (2.65 µM) | |
| 11a | 32 | 32 | 32 | 16 | 32 | 0.5 |
| (41.5 µM) | (41.5 µM) | (41.5 µM) | (20.7 µM) | (41.5 µM) | (0.65 µM) | |
| 11b | 8 | 8 | 8 | 8 | 8 | 1 |
| (9.11 µM) | (9.11 µM) | (9.11 µM) | (9.11 µM) | (9.11 µM) | (1.14 µM) | |
| CP 2 | <0.03125 | <0.03125 | <0.03125 | <0.03125 | <0.03125 | <0.03125 |
| (<0.0943 µM) | (<0.0943 µM) | (<0.0943 µM) | (<0.0943 µM) | (<0.0943 µM) | (<0.0943 µM) | |
| Cpd. | Minimum Inhibitory Concentration [µg/mL] | ||
|---|---|---|---|
| E. coli MG1655 WT 1 | E. coli MG1655 GyrB R136C | E. coli MG1655 GyrA S83L, D87N ParC S80I, E84G | |
| 3a | 0.5 | 0.5 | 16 |
| (0.73 µM) | (0.73 µM) | (23.4 µM) | |
| 3b | 64 | 32 | >64 |
| (81.0 µM) | (40.5 µM) | (>81.0 µM) | |
| 7a | 1 | 2 | 0.5 |
| (1.35 µM) | (2.70 µM) | (0.675 µM) | |
| 7b | 1 | 1 | 1 |
| (1.325 µM) | (1.325 µM) | (1.325 µM) | |
| 11a | 0.5 | 0.5 | 8 |
| (0.65 µM) | (0.65 µM) | (10.4 µM) | |
| 11b | 1 | 2 | 4 |
| (1.14 µM) | (2.28 µM) | (4.56 µM) | |
| CP 2 | <0.03125 | <0.03125 | 64 |
| (<0.0943 µM) | (<0.0943 µM) | (193 µM) | |
Publisher’s Note: MDPI stays neutral with regard to jurisdictional claims in published maps and institutional affiliations. |
© 2020 by the authors. Licensee MDPI, Basel, Switzerland. This article is an open access article distributed under the terms and conditions of the Creative Commons Attribution (CC BY) license (http://creativecommons.org/licenses/by/4.0/).
Share and Cite
Durcik, M.; Skok, Ž.; Ilaš, J.; Zidar, N.; Zega, A.; Szili, P.É.; Draskovits, G.; Révész, T.; Kikelj, D.; Nyerges, A.; et al. Hybrid Inhibitors of DNA Gyrase A and B: Design, Synthesis and Evaluation. Pharmaceutics 2021, 13, 6. https://doi.org/10.3390/pharmaceutics13010006
Durcik M, Skok Ž, Ilaš J, Zidar N, Zega A, Szili PÉ, Draskovits G, Révész T, Kikelj D, Nyerges A, et al. Hybrid Inhibitors of DNA Gyrase A and B: Design, Synthesis and Evaluation. Pharmaceutics. 2021; 13(1):6. https://doi.org/10.3390/pharmaceutics13010006
Chicago/Turabian StyleDurcik, Martina, Žiga Skok, Janez Ilaš, Nace Zidar, Anamarija Zega, Petra Éva Szili, Gábor Draskovits, Tamás Révész, Danijel Kikelj, Akos Nyerges, and et al. 2021. "Hybrid Inhibitors of DNA Gyrase A and B: Design, Synthesis and Evaluation" Pharmaceutics 13, no. 1: 6. https://doi.org/10.3390/pharmaceutics13010006
APA StyleDurcik, M., Skok, Ž., Ilaš, J., Zidar, N., Zega, A., Szili, P. É., Draskovits, G., Révész, T., Kikelj, D., Nyerges, A., Pál, C., Mašič, L. P., & Tomašič, T. (2021). Hybrid Inhibitors of DNA Gyrase A and B: Design, Synthesis and Evaluation. Pharmaceutics, 13(1), 6. https://doi.org/10.3390/pharmaceutics13010006








