Structural Characterization of Co-Crystals of Chlordiazepoxide with p-Aminobenzoic Acid and Lorazepam with Nicotinamide by DSC, X-ray Diffraction, FTIR and Raman Spectroscopy
Abstract
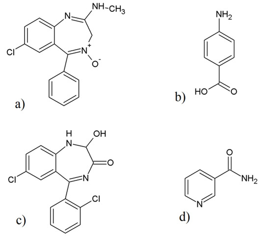
1. Introduction
2. Experimental
2.1. Materials
Sample Preparation
2.2. Methods
2.2.1. Differential Scanning Calorimetry (DSC)
2.2.2. Powder X-ray Diffraction (PXRD)
2.2.3. Single-Crystal X-ray Diffraction (SCXRD)
2.2.4. Fourier-Transform Infrared (FTIR)
2.2.5. Raman Spectroscopy
3. Results and Discussion
3.1. DSC
3.2. PXRD
3.3. SCXRD
3.4. FTIR and Raman Spectroscopy
4. Conclusions
Supplementary Materials
Author Contributions
Funding
Conflicts of Interest
References
- Kumar, A.; Kumar, S.; Nanda, A. A review about regulatory status and recent patents of pharmaceutical co-crystals. Adv. Pharm. Bull. 2018, 8, 355–363. [Google Scholar] [CrossRef]
- Cerreia Vioglio, P.; Chierotti, M.R.; Gobetto, R. Pharmaceutical aspects of salt and cocrystal forms of APIs and characterization challenges. Adv. Drug Deliv. Rev. 2017, 117, 86–110. [Google Scholar] [CrossRef] [PubMed]
- Huang, Y.; Zhang, B.; Gao, Y.; Zhang, J.; Shi, L. Baicalein–nicotinamide cocrystal with enhanced solubility, dissolution, and oral bioavailability. J. Pharm. Sci. 2014, 103, 2330–2337. [Google Scholar] [CrossRef]
- Shayanfar, A.; Asadpour-Zeynali, K.; Jouyban, A. Solubility and dissolution rate of a carbamazepine-cinnamic acid cocrystal. J. Mol. Liq. 2013, 187, 171–176. [Google Scholar] [CrossRef]
- Zhu, B.; Zhang, Q.; Wang, J.-R.; Mei, X. Cocrystals of baicalein with higher solubility and enhanced bioavailability. Cryst. Growth Des. 2017, 17, 1893–1901. [Google Scholar] [CrossRef]
- Soliman, I.I.; Kandil, S.M.; Abdou, E.M. Gabapentin-saccharin co-crystals with enhanced physicochemical properties and in vivo absorption formulated as oro-dispersible tablets. Pharm. Dev. Technol. 2020, 25, 227–236. [Google Scholar] [CrossRef] [PubMed]
- Évora, A.O.L.; Castro, R.A.E.; Maria, T.M.R.; Silva, M.R.; Ter Horst, J.H.; Canotilho, J.; Eusébio, M.E.S. A thermodynamic based approach on the investigation of a diflunisal pharmaceutical co-crystal with improved intrinsic dissolution rate. Int. J. Pharm. 2014, 466, 68–75. [Google Scholar] [CrossRef] [PubMed]
- Alhalaweh, A.; George, S.; Basavoju, S.; Childs, S.L.; Rizvi, S.A.A.; Velaga, S.P. Pharmaceutical cocrystals of nitrofurantoin: Screening, characterization and crystal structure analysis. CrystEngComm 2012, 14, 5078–5088. [Google Scholar] [CrossRef]
- Fernandes, R.P.; do Nascimento, A.L.C.S.; Carvalho, A.C.S.; Teixeira, J.A.; Ionashiro, M.; Caires, F.J. Mechanochemical synthesis, characterization, and thermal behavior of meloxicam cocrystals with salicylic acid, fumaric acid, and malic acid. J. Therm. Anal. Calorim. 2019, 138, 765–777. [Google Scholar] [CrossRef]
- Zhang, G.-C.; Lin, H.-L.; Lin, S.-Y. Thermal analysis and FTIR spectral curve-fitting investigation of formation mechanism and stability of indomethacin-saccharin cocrystals via solid-state grinding process. J. Pharm. Biomed. Anal. 2012, 66, 162–169. [Google Scholar] [CrossRef]
- Trask, A.V.; Motherwell, W.D.S.; Jones, W. Physical stability enhancement of theophylline via cocrystallization. Int. J. Pharm. 2006, 320, 114–123. [Google Scholar] [CrossRef] [PubMed]
- Rahman, Z.; Agarabi, C.; Zidan, A.S.; Khan, S.R.; Khan, M.A. Physico-mechanical and stability evaluation of carbamazepine cocrystal with nicotinamide. AAPS PharmSciTech 2011, 12, 693–704. [Google Scholar] [CrossRef] [PubMed]
- Hiendrawan, S.; Veriansyah, B.; Widjojokusumo, E.; Soewandhi, S.N.; Wikarsa, S.; Tjandrawinata, R.R. Physicochemical and mechanical properties of paracetamol cocrystal with 5-nitroisophthalic acid. Int. J. Pharm. 2016, 497, 106–113. [Google Scholar] [CrossRef] [PubMed]
- Naqvi, A.; Ahmad, M.; Minhas, M.U.; Khan, K.U.; Batool, F.; Rizwan, A. Preparation and evaluation of pharmaceutical co-crystals for solubility enhancement of atorvastatin calcium. Polym. Bull. 2019. [Google Scholar] [CrossRef]
- Almansa, C.; Frampton, C.S.; Vela, J.M.; Whitelock, S.; Plata-Salamán, C.R. Co-crystals as a new approach to multimodal analgesia and the treatment of pain. J. Pain Res. 2019, 12, 2679–2689. [Google Scholar] [CrossRef]
- Chavan, R.B.; Thipparaboina, R.; Yadav, B.; Shastri, N.R. Continuous manufacturing of co-crystals: Challenges and prospects. Drug Deliv. Transl. Res. 2018, 8, 1726–1739. [Google Scholar] [CrossRef]
- Harrison, W.T.A.; Yathirajan, H.S.; Bindya, S.; Anilkumar, H.G. Devaraju Escitalopram oxalate: Co-existence of oxalate dianions and oxalic acid molecules in the same crystal. Acta Crystallogr. Sect. C Cryst. Struct. Commun. 2007, 63, 129–131. [Google Scholar] [CrossRef]
- Karimi-Jafari, M.; Padrela, L.; Walker, G.M.; Croker, D.M. Creating cocrystals: A review of pharmaceutical cocrystal preparation routes and applications. Cryst. Growth Des. 2018, 18, 6370–6387. [Google Scholar] [CrossRef]
- Douroumis, D.; Ross, S.A.; Nokhodchi, A. Advanced methodologies for cocrystal synthesis. Adv. Drug Deliv. Rev. 2017, 117, 178–195. [Google Scholar] [CrossRef]
- Kelly, A.L.; Halsey, S.A.; Bottom, R.A.; Korde, S.; Gough, T.; Paradkar, A. A novel transflectance near infrared spectroscopy technique for monitoring hot melt extrusion. Int. J. Pharm. 2015, 496, 117–123. [Google Scholar] [CrossRef]
- Cuadra, I.A.; Cabañas, A.; Cheda, J.A.R.; Martínez-Casado, F.J.; Pando, C. Pharmaceutical co-crystals of the anti-inflammatory drug diflunisal and nicotinamide obtained using supercritical CO2 as an antisolvent. J. CO2 Util. 2016, 13, 29–37. [Google Scholar] [CrossRef]
- Padrela, L.; Rodrigues, M.A.; Velaga, S.P.; Matos, H.A.; de Azevedo, E.G. Formation of indomethacin-saccharin cocrystals using supercritical fluid technology. Eur. J. Pharm. Sci. 2009, 38, 9–17. [Google Scholar] [CrossRef] [PubMed]
- Trask, A.V.; Jones, W. Crystal engineering of organic cocrystals by the solid-state grinding approach. Top. Curr. Chem. 2005, 254, 41–70. [Google Scholar] [CrossRef]
- Jug, M.; Bećirević-Laćan, M. Development of a cyclodextrin-based nasal delivery system for lorazepam. Drug Dev. Ind. Pharm. 2008, 34, 817–826. [Google Scholar] [CrossRef]
- Girish, K.; Vikram Reddy, K.; Pandit, L.V.; Pundarikaksha, H.P.; Vijendra, R.; Vasundara, K.; Manjunatha, R.; Nagraj, M.; Shruthi, R. A randomized, open-label, standard controlled, parallel group study of efficacy and safety of baclofen, and chlordiazepoxide in uncomplicated alcohol withdrawal syndrome. Biomed. J. 2016, 39, 72–80. [Google Scholar] [CrossRef]
- Lotfy, H.M.; Fayez, Y.M.; Michael, A.M.; Nessim, C.K. Simultaneous determination of mebeverine hydrochloride and chlordiazepoxide in their binary mixture using novel univariate spectrophotometric methods via different manipulation pathways. Spectrochim. Acta Part A Mol. Biomol. Spectrosc. 2016, 155, 11–20. [Google Scholar] [CrossRef]
- Shah, V.; Sharma, M.; Pandya, R.; Parikh, R.K.; Bharatiya, B.; Shukla, A.; Tsai, H.-C. Quality by design approach for an in situ gelling microemulsion of lorazepam via intranasal route. Mater. Sci. Eng. C 2017, 75, 1231–1241. [Google Scholar] [CrossRef]
- Sharma, D.; Maheshwari, D.; Philip, G.; Rana, R.; Bhatia, S.; Singh, M.; Gabrani, R.; Sharma, S.K.; Ali, J.; Sharma, R.K.; et al. Formulation and optimization of polymeric nanoparticles for intranasal delivery of lorazepam using box-behnken design: In vitro and in vivo evaluation. BioMed Res. Int. 2014. [Google Scholar] [CrossRef]
- Traynor, M.J.; Zhao, Y.; Brown, M.B.; Jones, S.A. Vinyl polymer-coated lorazepam particles for drug delivery to the airways. Int. J. Pharm. 2011, 410, 9–16. [Google Scholar] [CrossRef][Green Version]
- Teixeira, J.A.; Nunes, W.D.G.; Colman, T.A.D.; do Nascimento, A.L.C.S.; Caires, F.J.; Campos, F.X.; Gálico, D.A.; Ionashiro, M. Thermal and spectroscopic study to investigate p-aminobenzoic acid, sodium p-aminobenzoate and its compounds with some lighter trivalent lanthanides. Thermochim. Acta 2016, 624, 59–68. [Google Scholar] [CrossRef]
- Marciniak, H.; Diduszko, R.; Kozak, M. XRAYAN—X-ray Phase Analysis; KOMA: Warsaw, Poland, 2016. [Google Scholar]
- Oxford Diffraction Ltd. CrysAlis CCD and CrysAlis RED; Version 1.171.36.24; Oxford Diffraction Ltd.: Yarnton, UK, 2012. [Google Scholar]
- Sheldrick, G.M. A short history of SHELX. Acta Crystallogr. Sect. A Found. Crystallogr. 2008, 64, 112–122. [Google Scholar] [CrossRef]
- Spek, A.L. Structure validation in chemical crystallography. Acta Crystallogr. Sect. D Biol. Crystallogr. 2009, 65, 148–155. [Google Scholar] [CrossRef] [PubMed]
- Johnson, C.K. ORTEP II, Report ORNL-5138; Oak Ridge National Laboratory: OakRidge, TN, USA, 1976. [Google Scholar]
- Motherwell, S.; Clegg, S. PLUTO-78. In Program for Drawing and Molecular Structure; University of Cambridge: Cambridge, UK, 1978. [Google Scholar]
- Macrae, C.F.; Bruno, I.J.; Chisholm, J.A.; Edgington, P.R.; McCabe, P.; Pidcock, E.; Rodriguez-Monge, L.; Taylor, R.; Van De Streek, J.; Wood, P.A. Mercury CSD 2.0—New features for the visualization and investigation of crystal structures. J. Appl. Crystallogr. 2008, 41, 466–470. [Google Scholar] [CrossRef]
- Yamashita, H.; Hirakura, Y.; Yuda, M.; Terada, K. Coformer screening using thermal analysis based on binary phase diagrams. Pharm. Res. 2014, 31, 1946–1957. [Google Scholar] [CrossRef]
- Yamashita, H.; Hirakura, Y.; Yuda, M.; Terada, K. Detection of cocrystal formation based on binary phase diagrams using thermal analysis. Pharm. Res. 2013, 30, 70–80. [Google Scholar] [CrossRef] [PubMed]
- Bertolasi, V.; Sacerdoti, M.; Gilli, G.; Borea, P.A. Structure of 7-chloro-2-methylamino-5-phenyl-3H-1,4-benzodiazepine 4-oxide (chlordiazepoxide). Acta Crystallogr. Sect. B Struct. Sci. Cryst. Eng. Mater. 1982, B38, 1768–1772. [Google Scholar] [CrossRef]
- Fischer, A. Chlordiazepoxide dichloro-methane monosolvate. Acta Crystallogr. Sect. E Struct. Rep. Online 2012, E68. [Google Scholar] [CrossRef]
- Rambaud, J.; Dubourg, A.; Delarbre, J.-L.; Roger, J.; Maury, L.; Declercq, J.-P. Crystal structures of lorazepam acetone solvate [I] and n-butyl alcohol solvate [II]. Bull. Soc. Chim. Belges 1991, 100, 521–526. [Google Scholar] [CrossRef]
- Kamenar, B.; Mrvoš-Sermek, D.; Nagl, A. Crystal structures of four solvates of lorazepam: With ethanol (A), acetone (B), dioxane (C), and cyclohexanone (D). Croat. Chem. Acta 1989, 62, 505–513. [Google Scholar]
- Macdonald, A.; Michaelis, A.F.; Senkowski, B.Z.; Sternbach, L.H. Chlordiazepoxide. In Analytical Profiles of Drug Substances; Academic Press: Cambridge, MA, USA, 1972; pp. 15–23. [Google Scholar] [CrossRef]
- Dziewulska-Kulaczkowska, A.; Mazur, L.; Ferenc, W. Thermal, spectroscopic and structural studies of zinc(II) complex with nicotinamide. J. Therm. Anal. Calorim. 2009, 96, 255–260. [Google Scholar] [CrossRef]
- Yang, X.; Wang, X.; Ching, C.B. In situ monitoring of solid-state transition of p-aminobenzoic acid polymorphs using Raman spectroscopy. J. Raman Spectrosc. 2009, 40, 870–875. [Google Scholar] [CrossRef]
- Soares, F.L.F.; Carneiro, R.L. In-line monitoring of cocrystallization process and quantification of carbamazepine-nicotinamide cocrystal using Raman spectroscopy and chemometric tools. Spectrochim. Acta Part A Mol. Biomol. Spectrosc. 2017, 180, 1–8. [Google Scholar] [CrossRef] [PubMed]










| Compound | Chlordiazepoxide Co-Crystals with p-Aminobenzoic Acid | Lorazepam Co-Crystals with Nicotinamide |
|---|---|---|
| Chemical formula | C24H21N4O3Cl | C21H16N4O3Cl2 |
| FW/g·mol−1 | 436.89 | 443.28 |
| T/K | 295(2) | 295(2) |
| λMo/Å | 0.71073 | 0.71073 |
| Crystal system | Monoclinic | monoclinic |
| Space group | P21/n | P21/c |
| a/Å | 7.5291(4) | 14.8848(8) |
| b/Å | 20.8841(9) | 11.3696(5) |
| c/Å | 13.6102(5) | 12.6114(6) |
| α/° | 90 | 90 |
| β/° | 99.061(4) | 109.380(6) |
| γ/° | 90 | 90 |
| V/Å3 | 2113.3(2) | 2013.4(2) |
| Z | 4 | 4 |
| ρcalc/g·cm−3 | 1.373 | 1.462 |
| µ/mm−1 | 0.214 | 0.354 |
| F(000) | 912 | 912 |
| θ range/° | 3.47–25.00 | 3.58–25.00 |
| Completeness θ/% | 99.7 | 99.9 |
| Reflections collected | 14735 | 13021 |
| Reflections unique | 3704 [Rint = 0.0246] | 3532 [Rint = 0.0229] |
| Data/restraints/parameters | 3704/0/293 | 3532/12/312 |
| Goodness of fit on F2 | 1.108 | 1.101 |
| Final R1 value (I > 2σ(I)) | 0.0441 | 0.0445 |
| Final wR2 value (I > 2σ(I)) | 0.0984 | 0.0955 |
| Final R1 value (all data) | 0.0507 | 0.0516 |
| Final wR2 value (all data) | 0.1013 | 0.0991 |
| CCDC number | 2007857 | 2007858 |
| Components | Co-Crystals | Physical Mixtures | ||||
|---|---|---|---|---|---|---|
| Slurry Evaporation | Liquid-Assisted Grinding | |||||
| Ton (Tp) °C | ΔH (J/g) | Ton (Tp) °C | ΔH (J/g) | Ton (Tp) °C | ΔH (J/g) | |
| Chlordiazepoxide and p-aminobenzoic acid | Acetonitrile | 180.1 (182.0) 183.6 (185.1) 219.5 (223.4) 225.3 (231.1) | 13.52 endo 9.59 exo 64.74 endo 304.5 exo | |||
| 217.9 (219.6) 220.7 (223.3) | 56.19 endo 258.9 exo | 207.0 (220.4) 222.4 (224.2) | 61.83 endo 300.2 exo | |||
| ethyl acetate | ||||||
| 220.5 (221.7) 222.4 (225.4) | 60.89 endo 291.4 exo | 221.9 (223.1) 224.8 (227.1) | 94.91 endo 338.5 exo | |||
| Lorazepam and nicotinamide | Methanol | 126.0 (127.3) 129.3 (130.1) 168.2 (171.5) 183.3 (197.3) | 28.51 endo 10.48 exo 198.8 endo 32.80 exo | |||
| 176.7 (177.5) 187.3 (204.0) | 260.3 endo 61.09 exo | 174.9 (176.5) 187.8 (203.7) | 257.4 endo 47.91 exo | |||
| ethyl acetate | ||||||
| 177.3 (178.9) 190.5 (206.3) | 205.8 endo 29.26 exo | 126.4 (127.2) 175.3 (176.7) 187.6 (204.2) | 0.44 endo 266.5 endo 52.94 exo | |||
| D–H···A | d(D–H) (Å) | d(H···A) (Å) | d(D···A) (Å) | <D–H···A (°) |
|---|---|---|---|---|
| N12–H12···O30 | 0.83(2) | 2.10(2) | 2.922(2) | 170(2) |
| O29–H29···O14 | 0.95(3) | 1.68(3) | 2.605(2) | 164(2) |
| N31–H31A···N1 i | 0.87(3) | 2.47(3) | 3.329(3) | 170(3) |
| N31–H31B···O14 ii | 0.87(3) | 2.45(3) | 3.247(3) | 159(2) |
| C20–H20···Cl21 iii | 0.93 | 2.88 | 3.666(3) | 144 |
| D–H···A | d(D–H) (Å) | d(H···A) (Å) | d(D···A) (Å) | <D–H···A (°) |
|---|---|---|---|---|
| N1–H1···N22 i | 0.89(2) | 2.04(2) | 2.922(3) | 170(2) |
| O13–H13···O30 | 0.84(3) | 1.97(3) | 2.687(2) | 144(2) |
| N29–H29A···O12 | 0.89(2) | 2.10(2) | 2.946(3) | 160(3) |
| N29–H29B···O13 i | 0.89(3) | 2.13(3) | 2.991(3) | 164(2) |
| C25–H25···N4 i | 0.93 | 2.83 | 3.690(3) | 155 |
| Co-Crystallization Methods | Vibrations | ||||||
|---|---|---|---|---|---|---|---|
| –NH2 str as | –NH2str s | –NH | C=Ostr | N=C–NC2H5/ϭNH2 | C–OHstr | ||
| Slurry evaporation and acetonitrile | FTIR | 3443.2 m | 3322.7 s | 3216.9 w 3122.1 w | 1675.5 s | 1621.7 vs | - |
| Raman | - | - | - | 1672.6 m | 1619.5 sh vw | 1284.7 s | |
| Liquid-assisted grinding and acetonitrile | FTIR | 3443.3 m | 3321.9 s | 3216.0 w 3121.7 w | 1675.5 s | 1621.7 vs | - |
| Raman | - | - | - | 1671.4 m | 1618.5 sh vw | 1283.4 s | |
| Slurry evaporation and ethyl acetate | FTIR | 3443.7 m | 3323.1 s | 3217.0 w 3122.2 w | 1676.4 s | 1621.8 vs | - |
| Raman | - | - | - | 1672.3 m | 1619.4 sh vw | 1284.5 s | |
| Liquid-assisted grinding and ethyl acetate | FTIR | 3443.6 m | 3322.2 s | 3216.1 w 3122.3 w | 1675.2 s | 1621.9 vs | - |
| Raman | - | - | - | 1671.7 m | - | 1284.0 s | |
| Physical mixture | FTIR | 3460.5 m | 3363.0 m | 3196.3 m 3057.2 m | - | 1625.3 vs | 1286.8 s |
| Raman | - | - | - | - | - | 1287.2 s | |
| Co-Crystallization Methods | Vibrations | |||||||
|---|---|---|---|---|---|---|---|---|
| –NHstr/–OH | –NHstr/–OH/–NH2 as str | C=Ostr | C=Ostr | –NH2 def | C–N(amide) str | –OHstr | ||
| Slurry evaporation and ethyl acetate | FTIR | 3418.0 s | 3312.9 w 3203.5 w | 1696.1 vs | 1662.9 vs | 1602.4 s | 1381.8 s | 1143.6 s 1133.2 s |
| Raman | - | - | 1689.4 w | - | 1592.5 vs | 1383.8 m | 1169.9 vs 1133.0 m | |
| Liquid-assisted grinding and ethyl acetate | FTIR | 3418.4 s | 3313.0 w 3203.3 w | 1696.5 vs | 1662.2 vs | 1602.7 s | 1381.7 vs | 1143.8 s 1133.5 s |
| Raman | - | - | 1692.6 m | - | 1592.8 vs | 1383.5 m | 1168.5 vs 1133.6 m | |
| Slurry evaporation and methanol | FTIR | 3418.0 s | 3206.1 w | 1693.9 s | 1662.7 s | 1602.6 m | 1382.2 m | 1143.7 m 1133.1 m |
| Raman | - | - | 1692.5 m | - | 1593.0 vs | 1383.3 m | 1168.6 vs 1133.4 s | |
| Liquid-assisted grinding and methanol | FTIR | 3418.0 s | 3313.1 w3 204.2 w | 1695.3 vs | 1662.8 vs | 1602.8 s | 1382.2 s | 1143.7 s 1133.4 s |
| Raman | - | - | 1692.1 m | 1662.6 w | 1592.8 vs | 1383.2 m | 1168.5 s 1133.7 w | |
| Physical mixture | FTIR | 3459.1 m | 3363.4 m | 1703.5 sh | 1686.7 vs 1671.2 sh | 1618.3 s | 1387.9 m | 1162.0 s 1130.1 m |
| Raman | - | - | - | 1674.3 m | 1619.0 sh 1599.8 vs | - | 1167.9 m | |
© 2020 by the authors. Licensee MDPI, Basel, Switzerland. This article is an open access article distributed under the terms and conditions of the Creative Commons Attribution (CC BY) license (http://creativecommons.org/licenses/by/4.0/).
Share and Cite
Garbacz, P.; Paukszta, D.; Sikorski, A.; Wesolowski, M. Structural Characterization of Co-Crystals of Chlordiazepoxide with p-Aminobenzoic Acid and Lorazepam with Nicotinamide by DSC, X-ray Diffraction, FTIR and Raman Spectroscopy. Pharmaceutics 2020, 12, 648. https://doi.org/10.3390/pharmaceutics12070648
Garbacz P, Paukszta D, Sikorski A, Wesolowski M. Structural Characterization of Co-Crystals of Chlordiazepoxide with p-Aminobenzoic Acid and Lorazepam with Nicotinamide by DSC, X-ray Diffraction, FTIR and Raman Spectroscopy. Pharmaceutics. 2020; 12(7):648. https://doi.org/10.3390/pharmaceutics12070648
Chicago/Turabian StyleGarbacz, Patrycja, Dominik Paukszta, Artur Sikorski, and Marek Wesolowski. 2020. "Structural Characterization of Co-Crystals of Chlordiazepoxide with p-Aminobenzoic Acid and Lorazepam with Nicotinamide by DSC, X-ray Diffraction, FTIR and Raman Spectroscopy" Pharmaceutics 12, no. 7: 648. https://doi.org/10.3390/pharmaceutics12070648
APA StyleGarbacz, P., Paukszta, D., Sikorski, A., & Wesolowski, M. (2020). Structural Characterization of Co-Crystals of Chlordiazepoxide with p-Aminobenzoic Acid and Lorazepam with Nicotinamide by DSC, X-ray Diffraction, FTIR and Raman Spectroscopy. Pharmaceutics, 12(7), 648. https://doi.org/10.3390/pharmaceutics12070648

