Candesartan Cilexetil In Vitro–In Vivo Correlation: Predictive Dissolution as a Development Tool
Abstract
1. Introduction
2. Materials and Methods
2.1. Drug and Products
2.2. In Vivo Studies
2.3. Experimental Techniques
2.3.1. Solubility Assays: Saturation Shake-Flask Procedure
2.3.2. Permeability Assay: Doluisio Experiment
2.3.3. Disintegration
2.3.4. Dissolution Assays
2.4. Sample Analysis
2.4.1. HPLC Conditions
- Mobile phase: A mixture of pH 3 water and acetonitrile (55:45 v/v).
- Flow: 1.0 mL/min.
- Column temperature: 30 °C.
- Excitation wavelength: 250 nm.
- Emission wavelength: 375 nm.
- Retention time: 4.5 min.
2.4.2. Statistical Analysis
2.4.3. In Vitro-In Vivo Correlations
Two-Step IVIVC
One-Step IVIVC
3. Results
3.1. Solubility Assays: Saturation Shake-Flask Procedure
3.2. Permeability Assay: Doluisio Experiments
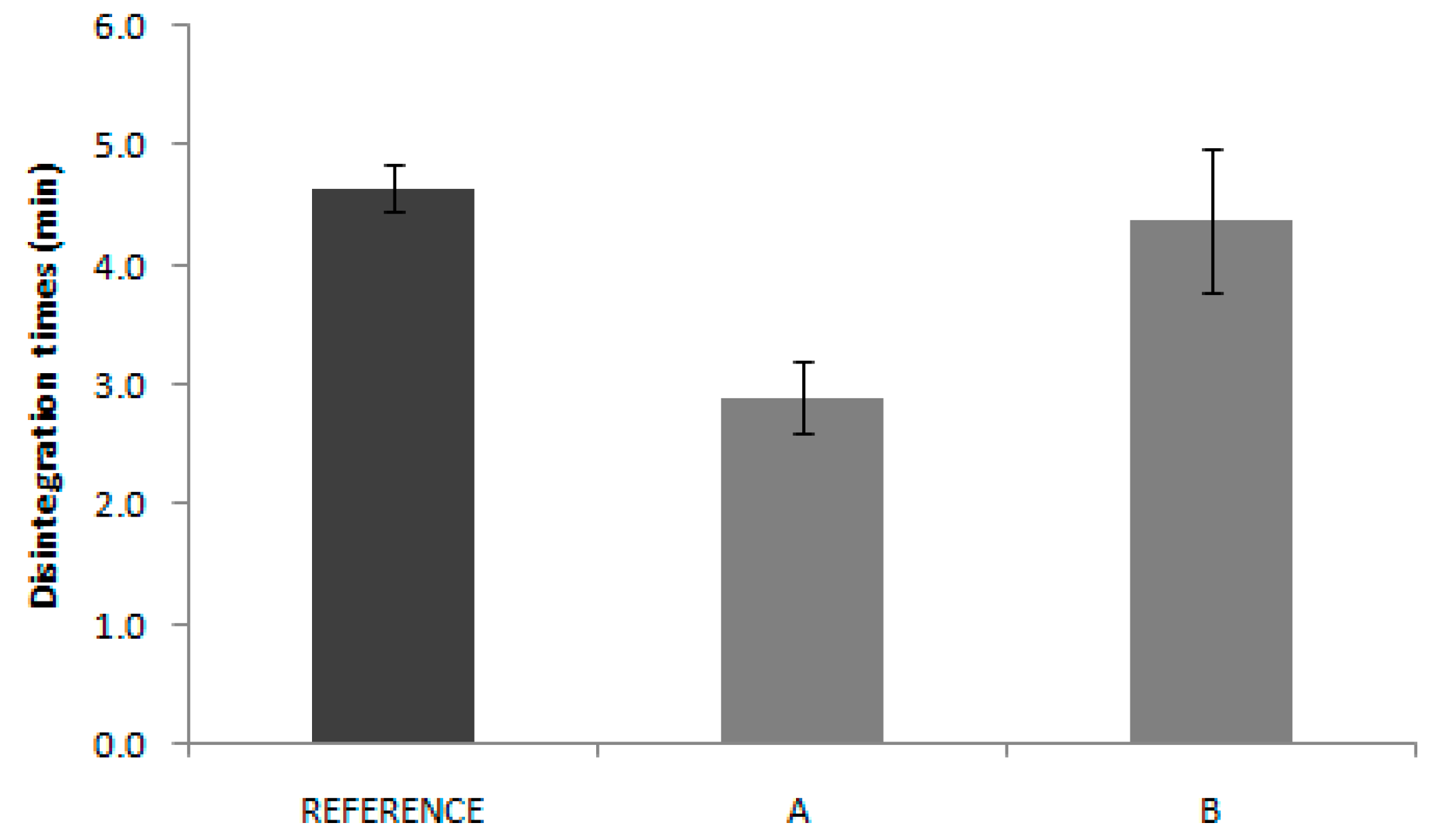
3.3. Disintegration
3.4. Dissolution Assays
3.5. Two-Step IVIVC
3.6. One-Step IVIVC
4. Discussion
- In the first one, it was assumed that until t = 0.5 h, dissolution is faster than absorption; this happens when the drug is dissolved in the stomach and it cannot be absorbed.
- From t = 0.5 h to 2 h, absorption would be faster than dissolution, which could correspond with an absorption window, similarly to that observed for valsartan with similar physicochemical characteristics. [38,39] In that period, dissolution is the limiting factor. These in vivo times correspond to the in vitro times 0.150 h and 1.100 h that, as can be observed on Figure 5 (upper plot), correspond to the period in which dissolution rate showed the highest differences between reference and test products.
- After that moment, from 2 h to 4.5 h and from 4.5 h to 10 h, absorption would be again slower than dissolution; this means that we should have a big amount of drug in the intestine that cannot be absorbed quickly. Looking at the predicted profiles at those times, a double peak in the highest plasma levels can be seen; this double peak simulates an enterohepatic circulation that returns part of the drug to the intestine, which, as has been said, cannot be absorbed.
- The last stretch from t = 10 h until the end of the profile would correspond with the elimination phase. At those times, dissolution has almost finished.
5. Conclusions
Supplementary Materials
Author Contributions
Funding
Conflicts of Interest
References
- González-García, I.; Mangas-Sanjuán, V.; Merino-Sanjuán, M.; Bermejo, M. In vitro-in vivo correlations: General concepts, methodologies and regulatory applications. Drug Dev. Ind. Pharm. 2015, 41, 1935–1947. [Google Scholar] [CrossRef] [PubMed]
- EMA. Guideline on the Investigation of Bioequivalence; Doc. Ref.: CPMP/EWP/QWP/1401/98; European Medicines Agency: London, UK, 2010. [Google Scholar]
- Department of Health and Human Services; Food and Drug Administration; Center for Drug Evaluation and Research (CDER). Waiver of In Vivo Bioavailability and Bioequivalence Studies for Immediate-Release Solid Oral Dosage Forms Based on a Biopharmaceutics Classification System Guidance for Industry; FDA: Silver Spring, MD, USA, 2017.
- Zaid, A.N.; Radwan, A.; Jaradat, N.; Mousa, A.; Ghazal, N.; Bustami, R. Formulation and In Vitro, In Vivo Correlation Between Two Candesartan Cilexetil Tablets. Clin. Pharmacol. Drug Dev. 2018, 7, 621–626. [Google Scholar] [CrossRef] [PubMed]
- Yuksel, N.; Bayindir, Z.S.; Aksakal, E.; Ozcelikay, A.T. In situ niosome forming maltodextrin proniosomes of candesartan cilexetil: In vitro and in vivo evaluations. Int. J. Biol. Macromol. 2016, 82, 453–463. [Google Scholar] [CrossRef]
- Amer, A.M.; Allam, A.N.; Abdallah, O.Y. Comparative Pharmaceutical Evaluation of Candesartan and Candesartan Cilexetil: Physicochemical Properties, In Vitro Dissolution and Ex Vivo In Vivo Studies. AAPS PharmSciTech 2018, 19, 661–667. [Google Scholar] [CrossRef] [PubMed]
- AEMPS; CIMA. Centro de Información de Medicamentos. Available online: https://cima.aemps.es/cima/publico/home.html (accessed on 12 June 2020).
- Gurunath, S.; Nanjwade, B.K.; Patil, P.A. Oral bioavailability and intestinal absorption of candesartan cilexetil: Role of naringin as P-glycoprotein inhibitor. Drug Dev. Ind. Pharm. 2015, 41, 170–176. [Google Scholar] [CrossRef]
- AboulFotouh, K.; Allam, A.A.; El-Badry, M.; El-Sayed, A.M. A Self-Nanoemulsifying Drug Delivery System for Enhancing the Oral Bioavailability of Candesartan Cilexetil: Ex Vivo and In Vivo Evaluation. J. Pharm. Sci. 2019, 108, 3599–3608. [Google Scholar] [CrossRef]
- Surampalli, G.; Nanjwade, B.K.; Patil, P.A.; Chilla, R. Novel tablet formulation of amorphous candesartan cilexetil solid dispersions involving P-gp inhibition for optimal drug delivery: In vitro and in vivo evaluation. Drug Deliv. 2016, 23, 2124–2138. [Google Scholar] [CrossRef]
- DrugBank. Available online: https://www.drugbank.ca/ (accessed on 14 May 2020).
- Chemicalize—Instant Cheminformatics Solutions. Available online: https://chemicalize.com/welcome (accessed on 3 May 2020).
- Ruiz Picazo, A.; Martinez-Martinez, M.T.; Colón-Useche, S.; Iriarte, R.; Sánchez-Dengra, B.; González-Álvarez, M.; García-Arieta, A.; González-Álvarez, I.; Bermejo, M. In Vitro Dissolution as a Tool for Formulation Selection: Telmisartan Two-Step IVIVC. Mol. Pharm. 2018, 15, 2307–2315. [Google Scholar] [CrossRef]
- Gonzalezgarcia, I.; Mangassanjuan, V.; Merinosanjuan, M.; Alvarezalvarez, C.; Diazgarzon, J.M.; Rodriguezbonnin, M.A.; Langguth, T.; Torradoduran, J.J.; Langguth, P.; Garciaarieta, A.; et al. IVIVC approach based on carbamazepine bioequivalence studies combination. Pharmazie 2017, 72, 449–455. [Google Scholar] [CrossRef]
- Choi, S.; Kang, C.Y.; Lee, B.; Park, J.B. In Vitro-In Vivo Correlation using In Silico Modeling of Physiological Properties, Metabolites, and Intestinal Metabolism. Curr. Drug Metab. 2017, 18. [Google Scholar] [CrossRef]
- Sjögren, E.; Abrahamsson, B.; Augustijns, P.; Becker, D.; Bolger, M.B.; Brewster, M.; Brouwers, J.; Flanagan, T.; Harwood, M.; Heinen, C.; et al. In vivo methods for drug absorption—Comparative physiologies, model selection, correlations with in vitro methods (IVIVC), and applications for formulation/API/excipient characterization including food effects. Eur. J. Pharm. Sci. 2014, 57, 99–151. [Google Scholar] [CrossRef]
- Andreas, C.J.; Rosenberger, J.; Butler, J.; Augustijns, P.; McAllister, M.; Abrahamsson, B.; Dressman, J. Introduction to the OrBiTo decision tree to select the most appropriate in vitro methodology for release testing of solid oral dosage forms during development. Eur. J. Pharm. Biopharm. 2018, 130, 207–213. [Google Scholar] [CrossRef] [PubMed]
- Mudie, D.M.; Samiei, N.; Marshall, D.J.; Amidon, G.E.; Bergström, C.A.S. Selection of In Vivo Predictive Dissolution Media Using Drug Substance and Physiological Properties. AAPS J. 2020, 22. [Google Scholar] [CrossRef] [PubMed]
- Agencia Española del Medicamento y Productos Sanitarios. Informe Público de Evaluación Candesartan Hidroclorotiazida; AEMPS: Madrid, Spain, 2015.
- Doluisio, J.T.; Billups, N.F.; Dittert, L.W.; Sugita, E.T.; Swintosky, J.V. Drug absorption I: An in situ rat gut technique yielding realistic absorption rates. J. Pharm. Sci. 1969, 58, 1196–1200. [Google Scholar] [CrossRef]
- Ruizpicazo, A.; Lozoyaagullo, I.; Ortizazcarate, M.; Merinosanjuan, M.; Gonzalezalvarez, M.; Gonzalezalvarez, I.; Bermejo, M. Comparison of segmental-dependent permeability in human and in situ perfusion model in rat. Eur. J. Pharm. Sci. 2017, 107, 191–196. [Google Scholar] [CrossRef] [PubMed]
- Caldeira, T.G.; Ruiz-Picazo, A.; Lozoya-Agullo, I.; Saúde-Guimarães, D.A.; González-Álvarez, M.; de Souza, J.; González-Álvarez, I.; Bermejo, M. Determination of intestinal permeability using in situ perfusion model in rats: Challenges and advantages to BCS classification applied to digoxin. Int. J. Pharm. 2018, 551, 148–157. [Google Scholar] [CrossRef] [PubMed]
- USP. Stage 6 Harmonization Official—711 Dissolution; European Pharmacopeia; EMA: London, UK, 2011. [Google Scholar]
- Zhang, Y.; Huo, M.; Zhou, J.; Xie, S. PKSolver: An add-in program for pharmacokinetic and pharmacodynamic data analysis in Microsoft Excel. Comput. Methods Programs Biomed. 2010, 99, 306–314. [Google Scholar] [CrossRef]
- Humbert, H.; Cabiac, M.D.; Bosshardt, H. In vitro-in vivo correlation of a modified-release oral form of ketotifen: In vitro dissolution rate specification. J. Pharm. Sci. 1994, 83, 131–136. [Google Scholar] [CrossRef]
- Domenech Berrozpe, J.; Diez Martin, I.; Peraire Guitart, C. Administración extravasal: Aproximación compartimental. In Tratado General de Biofarmacia y Farmacocinética—Volumen I: LADME; Domenech Berrozpe, J., Martinez Lanao, J., Peraire Guitart, C., Eds.; Síntesis: Madrid, Spain, 2015; pp. 297–366. [Google Scholar]
- Cardot, J.M.; Davit, B.M. In vitro-in vivo correlations: Tricks and traps. AAPS J. 2012, 14, 491–499. [Google Scholar] [CrossRef]
- Cardot, J.M.; Lukas, J.C.; Muniz, P. Time Scaling for In Vitro-In Vivo Correlation: The Inverse Release Function (IRF) Approach. AAPS J. 2018, 20, 95. [Google Scholar] [CrossRef]
- FDA. Contains Nonbinding Recommendations—Guidance on Candesartan Cilexetil; FDA: Washington, DC, USA, 2008. Available online: https://www.accessdata.fda.gov/drugsatfda_docs/psg/Candesartan_Cilexetil_tab_20838_RC8-04.pdf (accessed on 29 November 2019).
- FDA. Dissolution Methods—Research Results for “Candesartan”. Available online: https://www.accessdata.fda.gov/scripts/cder/dissolution/dsp_SearchResults.cfm (accessed on 29 November 2019).
- Srivastava, D.; Fatima, Z.; Kaur, C.D.; Tulsankar, S.L.; Nashik, S.S.; Rizvi, D.A. Pharmaceutical Cocrystal: A Novel Approach to Tailor the Biopharmaceutical Properties of a Poorly Water Soluble Drug. Recent Pat. Drug Deliv. Formul. 2019, 13, 62–69. [Google Scholar] [CrossRef]
- Jain, S.; Reddy, V.A.; Arora, S.; Patel, K. Development of surface stabilized candesartan cilexetil nanocrystals with enhanced dissolution rate, permeation rate across CaCo2, and oral bioavailability. Drug Deliv. Transl. Res. 2016, 6, 498–510. [Google Scholar] [CrossRef]
- Kothekar, S.C.; Ware, A.M.; Waghmare, J.T.; Momin, S.A. Comparative analysis of the properties of Tween-20, Tween-60, Tween-80, Arlacel-60, and Arlacel-80. J. Dispers. Sci. Technol. 2007, 28, 477–484. [Google Scholar] [CrossRef]
- Efentakis, M.; Dressman, J.B. Gastric juice as a dissolution medium: Surface tension and pH. Eur. J. Drug Metab. Pharmacokinet. 1998, 23, 97–102. [Google Scholar] [CrossRef] [PubMed]
- Hoppe, K.; Sznitowska, M. The effect of polysorbate 20 on solubility and stability of candesartan cilexetil in dissolution media. AAPS PharmSciTech 2014, 15, 1116–1125. [Google Scholar] [CrossRef] [PubMed]
- Taupitz, T.; Klein, S. Can Biorelevant Media be Simplified by using SLS and Tween 80 to Replace Bile Compounds? Open Drug Deliv. J. 2010, 4, 30–37. [Google Scholar] [CrossRef][Green Version]
- Pinto, J.M.O.; Rengifo, A.F.C.; Mendes, C.; Leão, A.F.; Parize, A.L.; Stulzer, H.K. Understanding the interaction between Soluplus® and biorelevant media components. Colloids Surf. B Biointerfaces 2020, 187. [Google Scholar] [CrossRef]
- Medarević, D.; Cvijić, S.; Dobričić, V.; Mitrić, M.; Djuriš, J.; Ibrić, S. Assessing the potential of solid dispersions to improve dissolution rate and bioavailability of valsartan: In vitro-in silico approach. Eur. J. Pharm. Sci. 2018, 124, 188–198. [Google Scholar] [CrossRef]
- Chella, N.; Daravath, B.; Kumar, D.; Tadikonda, R.R. Formulation and Pharmacokinetic Evaluation of Polymeric Dispersions Containing Valsartan. Eur. J. Drug Metab. Pharmacokinet. 2016, 41, 517–526. [Google Scholar] [CrossRef]
- Kondo, T.; Yoshida, K.; Yoshimura, Y.; Motohashi, M.; Tanayama, S. Disposition of the new angiotensin II receptor antagonist candesartan cilexetil in rats and dogs. Arzneim. Forsch. Drug Res. 1996, 46, 594–600. [Google Scholar]
- Davi, H.; Tronquet, C.; Miscoria, G.; Perrier, L.; DuPont, P.; Caix, J.; Simiand, J.; Berger, Y. Disposition of irbesartan, an angiotensin II AT1-receptor antagonist, in mice, rats, rabbits, and macaques. Drug Metab. Dispos. 2000, 28, 79–88. [Google Scholar] [PubMed]












| Formulation | Cmax | AUC0–tlast | ||
|---|---|---|---|---|
| Ratio (%) | CI (%) | Ratio (%) | CI (%) | |
| A | 86.16 | 83.09–93.53 | 87.68 | 83.86–91.67 |
| B | 89.10 | 84.32–94.14 | 92.69 | 89.06–96.46 |
| Dissolution Media | Rotation Speed (rpm) | Sampling Times (min) |
|---|---|---|
| Ph. Eur. media | ||
| pH 1.2 (Sodium chloride 50 mM) | 50 | 5, 10, 15, 20, 30, 45, 60, 90, 120, 150, 180, 210, 240 |
| pH 4.5 (Sodium acetate 36.5 mM) | 50 | 5, 10, 15, 20, 30, 45, 60, 90, 120, 150, 180, 210, 240 |
| pH 6.8 (Dipotassiumphosphate 50 mM) | 50 | 5, 10, 15, 20, 30, 45, 60, 90, 120, 150, 180, 210, 240 |
| Different buffer capacity | ||
| pH 6.8 (Dipotassiumphosphate 10 mM) | 50 | 5, 10, 15, 20, 30, 45, 60, 90, 120, 150, 180, 210, 240 |
| Ph. Eur. media with surfactant | ||
| pH 6.5 (Dipotassiumphosphate 50 mM) with Sodium Lauryl Sulfate 0.01% | 50 | 5, 10, 15, 20, 30, 45, 60, 90, 120, 150, 180, 210, 240 |
| pH 6.5 (Dipotassium phosphate 50 mM) with Sodium Lauryl Sulfate 1.00% | 50 | 5, 10, 15, 20, 30, 45, 60, 90, 120, 150, 180, 210, 240 |
| pH 6.5 (Dipotassium phosphate 50 mM) with Tween 20 (0.10%) | 50 | 5, 10, 15, 20, 30, 45, 60, 90, 120, 150, 180, 210, 240 |
| pH 6.5 (Dipotassium phosphate 50 mM) with Tween 20 (0.15%) | 50 | 5, 10, 15, 20, 30, 45, 60, 90, 120, 150, 180, 210, 240 |
| pH 6.5 (Dipotassium phosphate 50 mM) with Tween 20 (0.20%) | 50 | 5, 10, 15, 20, 30, 45, 60, 90, 120, 150, 180, 210, 240 |
| pH 6.5 (Dipotassium phosphate 50 mM) with Tween 20 (0.30%) | 50 | 5, 10, 15, 20, 30, 45, 60, 90, 120, 150, 180, 210, 240 |
| Biorelevant media | ||
| FaSSIF | 50 | 5, 10, 15, 20, 30, 45, 60, 90, 120, 150, 180, 210, 240 |
| Dissolution Media | Flow Rate (mL/min) | Sampling Times (min) |
|---|---|---|
| Ph. Eur. media with surfactant | ||
| pH 1.2 (Sodium chloride 50 mM) with Tween 20 0.20% (15′) | 8 | 5, 10, 15 |
| + | ||
| pH 4.5 (Sodium acetate 36.5 mM) with Tween 20 0.20% (15′) | 8 | 20, 30 |
| + | ||
| pH 6.8 (Dipotassium phosphate 50 mM) with Tween 20 0.20% (210′) | 8 | 45, 60, 90, 120, 150, 180, 210, 240 |
| Biorelevant media | ||
| FaSSGF (15′) | 8 | 5, 10, 15 |
| + | ||
| FaSSIF (225′) | 8 | 20, 30, 45, 60, 90, 120, 150, 180, 210, 240 |
| Criteria | Product A—Reference | Product B—Reference |
|---|---|---|
| EMA | 64.49 | 70.83 |
| FDA | 65.05 | 71.32 |
| Linear IVIVC | ||||||
| AUC 0→t | Cmax | |||||
| EXP | PRED | PE% | EXP | PRED | PE% | |
| Reference | 3.765 | 3.597 | 4.48 | 0.225 | 0.223 | 0.76 |
| Product A | 3.303 | 3.468 | 5.00 | 0.196 | 0.217 | 10.33 |
| Product B | 3.508 | 3.581 | 2.09 | 0.209 | 0.215 | 3.06 |
| Total | 3.86 | 4.71 | ||||
| Polynomial IVIVC | ||||||
| AUC 0→t | Cmax | |||||
| EXP | PRED | PE% | EXP | PRED | PE% | |
| Reference | 3.765 | 3.671 | 2.52 | 0.225 | 0.218 | 3.07 |
| Product A | 3.303 | 3.505 | 6.12 | 0.196 | 0.211 | 7.56 |
| Product B | 3.508 | 3.650 | 4.03 | 0.209 | 0.210 | 0.30 |
| Total | 4.22 | 3.64 | ||||
| tesc IVIVC | ||||||
| AUC 0→t | Cmax | |||||
| EXP | PRED | PE% | EXP | PRED | PE% | |
| Reference | 3.765 | 3.236 | 14.07 | 0.225 | 0.205 | 8.81 |
| Product A | 3.303 | 3.138 | 5.00 | 0.196 | 0.200 | 1.84 |
| Product B | 3.508 | 3.226 | 8.04 | 0.209 | 0.198 | 5.05 |
| Total | 9.04 | 5.24 | ||||
| besc and ESC IVIVC | ||||||
| AUC 0→t | Cmax | |||||
| EXP | PRED | PE% | EXP | PRED | PE% | |
| Reference | 3.765 | 3.773 | 0.20 | 0.225 | 0.228 | 1.71 |
| Product A | 3.303 | 3.638 | 10.13 | 0.196 | 0.219 | 11.61 |
| Product B | 3.508 | 3.757 | 7.09 | 0.209 | 0.218 | 4.45 |
| Total | 5.81 | 5.92 | ||||
© 2020 by the authors. Licensee MDPI, Basel, Switzerland. This article is an open access article distributed under the terms and conditions of the Creative Commons Attribution (CC BY) license (http://creativecommons.org/licenses/by/4.0/).
Share and Cite
Figueroa-Campos, A.; Sánchez-Dengra, B.; Merino, V.; Dahan, A.; González-Álvarez, I.; García-Arieta, A.; González-Álvarez, M.; Bermejo, M. Candesartan Cilexetil In Vitro–In Vivo Correlation: Predictive Dissolution as a Development Tool. Pharmaceutics 2020, 12, 633. https://doi.org/10.3390/pharmaceutics12070633
Figueroa-Campos A, Sánchez-Dengra B, Merino V, Dahan A, González-Álvarez I, García-Arieta A, González-Álvarez M, Bermejo M. Candesartan Cilexetil In Vitro–In Vivo Correlation: Predictive Dissolution as a Development Tool. Pharmaceutics. 2020; 12(7):633. https://doi.org/10.3390/pharmaceutics12070633
Chicago/Turabian StyleFigueroa-Campos, Andrés, Bárbara Sánchez-Dengra, Virginia Merino, Arik Dahan, Isabel González-Álvarez, Alfredo García-Arieta, Marta González-Álvarez, and Marival Bermejo. 2020. "Candesartan Cilexetil In Vitro–In Vivo Correlation: Predictive Dissolution as a Development Tool" Pharmaceutics 12, no. 7: 633. https://doi.org/10.3390/pharmaceutics12070633
APA StyleFigueroa-Campos, A., Sánchez-Dengra, B., Merino, V., Dahan, A., González-Álvarez, I., García-Arieta, A., González-Álvarez, M., & Bermejo, M. (2020). Candesartan Cilexetil In Vitro–In Vivo Correlation: Predictive Dissolution as a Development Tool. Pharmaceutics, 12(7), 633. https://doi.org/10.3390/pharmaceutics12070633

