Stepwise Glucoheptoamidation of Poly(Amidoamine) Dendrimer G3 to Tune Physicochemical Properties of the Potential Drug Carrier: In Vitro Tests for Cytisine Conjugates
Abstract
1. Introduction
2. Materials and Methods
2.1. Reagents and Methods
2.1.1. Spectroscopy
2.1.2. Differential Scanning Calorimetry
2.1.3. Conjugate Size and ζ Potential
2.1.4. Electrophoresis
2.2. Chemical Syntheses
2.2.1. PAMAM G3 Substituted with Glucoheptonamide
2.2.2. Conjugates of G3gh with Cytisine
2.2.3. Conjugates Labeled with FITC
2.3. Biological Tests
2.3.1. Cell Culture
2.3.2. Toxicity of Conjugates
2.3.3. Cellular Internalization
2.3.4. Statistical Analysis
3. Results and Discussion
3.1. Syntheses and Characterization of Conjugates
3.1.1. Glucoheptoamidated PAMAM G3 Dendrimers
3.1.2. Glucoheptoamidated PAMAM G3–Cytisine Conjugates, G3Cgh
3.1.3. Determination of Conjugate size by Dynamic Light Scattering (DLS)
3.1.4. ζ Potential and Electrophoretic Mobility
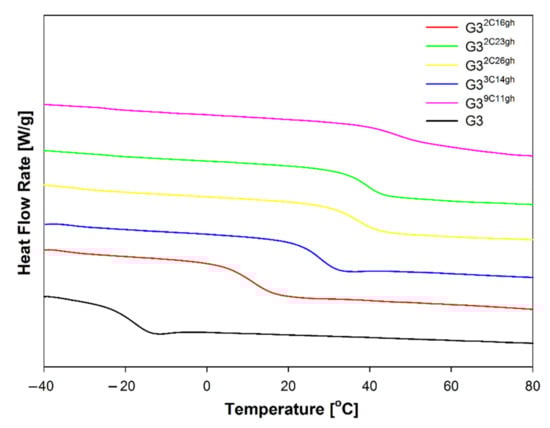
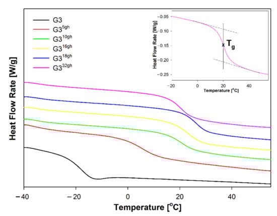
3.1.5. Differential Scanning Calorimetry
3.1.6. Toxicity of Conjugates
3.1.7. Cellular Accumulation of Conjugates
4. Conclusions
Author Contributions
Funding
Acknowledgments
Conflicts of Interest
Appendix A

| Compound | d(V) (nm) | d(N) (nm) | ζ (SD) (mV) |
|---|---|---|---|
| G3 | 3.2 | 2.7 | 0.23 (0.05) |
| G35gh | 2.1 | 1.7 | 13.1 (2.3) |
| G310gh | 1.9 | 1.7 | 14.1 (2.4) |
| G316gh | 1.9 | 1.6 | 10.9 (2.3) |
| G318gh | 2.3 | 1.7 | 2.8 (0.8) |
| G332gh | 2.0 | 1.8 | 21.9 (2.4) |
| G32C26gh | 2.1 | 1.9 | 13.6 (2.1) |
| G32C23gh | 1.8 | 1.6 | 16.7 (2.3) |
| G32C16gh | 130.0 | 98.0 | 15.1 (1.3) |
| G33C14gh | 100.3 | 46.0 | 20.7 (3.2) |
| G39C11gh | 164.5 | 83.3 | 30.0 (2.6) |
References
- Tomalia, D.A.; Baker, H.; Dewald, J.; Hall, M.; Kallos, G.; Martin, S.; Roeck, J.; Ryder, J.; Smith, P. A New Class of Polymers: Starburst-Dendritic Macromolecules. Polym. J. 1985, 17, 117–132. [Google Scholar] [CrossRef]
- McNerny, D.Q.; Leroueil, P.R.; Baker, J.R. Understanding specific and nonspecific toxicities: A requirement for the development of dendrimer-based pharmaceuticals. Wiley Interdiscip. Rev. Nanomed. Nanobiotechnology 2010, 2, 249–259. [Google Scholar] [CrossRef] [PubMed]
- Watala, C.; Karolczak, K.; Kassassir, H.; Talar, M.; Przygodzki, T.; Maczynska, K.; Labieniec-Watala, M. How do the full-generation poly(amido)amine (PAMAM) dendrimers activate blood platelets? Activation of circulating platelets and formation of “fibrinogen aggregates” in the presence of polycations. Int. J. Pharm. 2016, 503, 247–261. [Google Scholar] [CrossRef] [PubMed]
- Wang, W.; Xiong, W.; Zhu, Y.; Xu, H.; Yang, X. Protective effect of PEGylation against poly(amidoamine) dendrimer-induced hemolysis of human red blood cells. J. Biomed. Mater. Res. Part B Appl. Biomater. 2010, 93, 59–64. [Google Scholar] [CrossRef] [PubMed]
- Majoros, I.J.; Thomas, T.P.; Mehta, C.B.; Baker, J.R. Poly(amidoamine) dendrimer-based multifunctional engineered nanodevice for cancer therapy. J. Med. Chem. 2005, 48, 5892–5899. [Google Scholar] [CrossRef]
- Santos, J.L.; Oliveira, H.; Pandita, D.; Rodrigues, J.; Pêgo, A.P.; Granja, P.L.; Tomás, H. Functionalization of poly(amidoamine) dendrimers with hydrophobic chains for improved gene delivery in mesenchymal stem cells. J. Control. Release 2010, 144, 55–64. [Google Scholar] [CrossRef]
- Teow, H.M.; Zhou, Z.; Najlah, M.; Yusof, S.R.; Abbott, N.J.; D’Emanuele, A. Delivery of paclitaxel across cellular barriers using a dendrimer-based nanocarrier. Int. J. Pharm. 2013, 441, 701–711. [Google Scholar] [CrossRef]
- Yue, Y.; Eun, J.S.; Lee, M.-K.; Seo, S.-Y. Synthesis and characterization of G5 PAMAM dendrimer containing daunorubicin for targeting cancer cells. Arch. Pharm. Res. 2012, 35, 343–349. [Google Scholar] [CrossRef]
- Zhang, Y.; Thomas, T.P.; Lee, K.-H.; Li, M.; Zong, H.; Desai, A.M.; Kotlyar, A.; Huang, B.; Holl, M.M.B.; Baker, J.R. Polyvalent saccharide-functionalized generation 3 poly(amidoamine) dendrimer-methotrexate conjugate as a potential anticancer agent. Bioorg. Med. Chem. 2011, 19, 2557–2564. [Google Scholar] [CrossRef]
- Uram, Ł.; Szuster, M.; Filipowicz, A.; Zaręba, M.; Wałajtys-Rode, E.; Wołowiec, S. Cellular uptake of glucoheptoamidated poly(amidoamine) PAMAM G3 dendrimer with amide-conjugated biotin, a potential carrier of anticancer drugs. Bioorg. Med. Chem. 2017, 25, 706–713. [Google Scholar] [CrossRef]
- Czarnik-Kwaśniak, J.; Kwaśniak, K.; Tutaj, K.; Filiks, I.; Uram, Ł.; Stompor, M.; Wołowiec, S. Glucoheptoamidated polyamidoamine PAMAM G3 dendrimer as a vehicle for succinate linked doxorubicin; enhanced toxicity of DOX against grade IV glioblastoma U-118 MG cells. J. Drug Deliv. Sci. Technol. 2020, 55, 101424. [Google Scholar] [CrossRef]
- Zaręba, M.; Sareło, P.; Kopaczyńska, M.; Białońska, A.; Uram, Ł.; Walczak, M.; Aebisher, D.; Wołowiec, S. Mixed-Generation PAMAM G3-G0 Megamer as a Drug Delivery System for Nimesulide: Antitumor Activity of the Conjugate against Human Squamous Carcinoma and Glioblastoma Cells. Int. J. Mol. Sci. 2019, 20, 4998. [Google Scholar] [CrossRef] [PubMed]
- Yellepeddi, V.K.; Kumar, A.; Palakurthi, S. Biotinylated poly(amido)amine (PAMAM) dendrimers as carriers for drug delivery to ovarian cancer cells in vitro. Anticancer Res. 2009, 29, 2933–2943. [Google Scholar]
- Hemmer, R.; Hall, A.; Spaulding, R.; Rossow, B.; Hester, M.; Caroway, M.; Haskamp, A.; Wall, S.; Bullen, H.A.; Morris, C.; et al. Analysis of Biotinylated Generation 4 Poly(amidoamine) (PAMAM) Dendrimer Distribution in the Rat Brain and Toxicity in a Cellular Model of the Blood-Brain Barrier. Molecules 2013, 18, 11537–11552. [Google Scholar] [CrossRef] [PubMed]
- Uram, Ł.; Szuster, M.; Gargasz, K.; Filipowicz, A.; Wałajtys-Rode, E.; Wołowiec, S. In vitro cytotoxicity of the ternary PAMAM G3-pyridoxal-biotin bioconjugate. Int. J. Nanomed. 2013, 8, 4707–4720. [Google Scholar] [CrossRef][Green Version]
- Uram, Ł.; Szuster, M.; Filipowicz, A.; Gargasz, K.; Wołowiec, S.; Wałajtys-Rode, E. Different patterns of nuclear and mitochondrial penetration by the G3 PAMAM dendrimer and its biotin-pyridoxal bioconjugate BC-PAMAM in normal and cancer cells in vitro. Int. J. Nanomed. 2015, 10, 5647–5661. [Google Scholar] [CrossRef][Green Version]
- Uram, Ł.; Szuster, M.; Misiorek, M.; Filipowicz, A.; Wołowiec, S.; Wałajtys-Rode, E. The effect of G3 PAMAM dendrimer conjugated with B-group vitamins on cell morphology, motility and ATP level in normal and cancer cells. Eur. J. Pharm. Sci. 2017, 102, 275–283. [Google Scholar] [CrossRef]
- Szuster, M.; Uram, Ł.S.; Filipowicz-Rachwał, A.; Wołowiec, S.; Wałajtys-Rode, E. Evaluation of the localization and biological effects of PAMAM G3 dendrimer-biotin/pyridoxal conjugate as HaCaT keratinocyte targeted nanocarrier. Acta Biochim. Pol. 2019. [Google Scholar] [CrossRef]
- Minko, T.; Rodriguez-Rodriguez, L.; Pozharov, V. Nanotechnology approaches for personalized treatment of multidrug resistant cancers. Adv. Drug Deliv. Rev. 2013, 65, 1880–1895. [Google Scholar] [CrossRef]
- Mignani, S.; Kazzouli, S.E.; Bousmina, M.; Majoral, J.-P. Dendrimer space concept for innovative nanomedicine: A futuristic vision for medicinal chemistry. Prog. Polym. Sci. 2013, 38, 993–1008. [Google Scholar] [CrossRef]
- Tutka, P.; Zatoński, W. Cytisine for the treatment of nicotine addiction: From a molecule to therapeutic efficacy. Pharmacol. Rep. 2006, 58, 777–798. [Google Scholar] [PubMed]
- Niu, Y.; Sun, L.; Crooks, R.M. Determination of the Intrinsic Proton Binding Constants for Poly(amidoamine) Dendrimers via Potentiometric pH Titration. Macromolecules 2003, 36, 5725–5731. [Google Scholar] [CrossRef]
- Cakara, D.; Kleimann, J.; Borkovec, M. Microscopic Protonation Equilibria of Poly(amidoamine) Dendrimers from Macroscopic Titrations. Macromolecules 2003, 36, 4201–4207. [Google Scholar] [CrossRef]
- Rouden, J.; Lasne, M.-C.; Blanchet, J.; Baudoux, J. (−)-Cytisine and Derivatives: Synthesis, Reactivity, and Applications. Chem. Rev. 2014, 114, 712–778. [Google Scholar] [CrossRef] [PubMed]
- Ibragimov, T.F.; Levkovich, M.G.; Saprykina, V.A.; Shakhidoyatov, K.M. Z-and E-conformers of N-chloroacetylcytisine. Chem. Nat. Compd. 2010, 46, 767–770. [Google Scholar] [CrossRef]
- Przybył, A.K.; Kubicki, M. A comparative study of dynamic NMR spectroscopy in analysis of selected N-alkyl-, N-acyl-, and halogenated cytisine derivatives. J. Mol. Struct. 2011, 985, 157–166. [Google Scholar] [CrossRef]
- Uram, Ł.; Filipowicz-Rachwał, A.; Misiorek, M.; Winiarz, A.; Wałajtys-Rode, E.; Wołowiec, S. Synthesis and Different Effects of Biotinylated PAMAM G3 Dendrimer Substituted with Nimesulide in Human Normal Fibroblasts and Squamous Carcinoma Cells. Biomolecules 2019, 9, 437. [Google Scholar] [CrossRef]
- Gu, Z.; Wang, M.; Fang, Q.; Zheng, H.; Wu, F.; Lin, D.; Xu, Y.; Jin, Y. Preparation and in vitro characterization of pluronic-attached polyamidoamine dendrimers for drug delivery. Drug Dev. Ind. Pharm. 2015, 41, 812–818. [Google Scholar] [CrossRef]
- Wunderlich, B. Thermal Analysis of Polymeric Materials; Springer-Verlag: Berlin/Heidelberg, Germany, 2005; ISBN 978-3-540-23629-0. [Google Scholar]
- Pyda, M.; Durme, K.V.; Wunderlich, B.; Mele, B.V. Heat capacity of poly(vinyl methyl ether). J. Polym. Sci. Part B Polym. Phys. 2005, 43, 2141–2153. [Google Scholar] [CrossRef]
- Bu, H.S.; Aycock, W.; Cheng, S.Z.D.; Wunderlich, B. Heat capacities of various solid linear macromolecules. Polymer 1988, 29, 1485–1494. [Google Scholar] [CrossRef]
- Wunderlich, B. The influence of the liquid-to-solid transitions on the changes of macromolecules from disorder to order. Thermochim. Acta 2011, 522, 2–13. [Google Scholar] [CrossRef]
- Janaszewska, A.; Lazniewska, J.; Trzepiński, P.; Marcinkowska, M.; Klajnert-Maculewicz, B. Cytotoxicity of Dendrimers. Biomolecules 2019, 9, 330. [Google Scholar] [CrossRef] [PubMed]
- Fröhlich, E. The role of surface charge in cellular uptake and cytotoxicity of medical nanoparticles. Int. J. Nanomed. 2012, 7, 5577–5591. [Google Scholar] [CrossRef] [PubMed]
- Tutka, P.; Vinnikov, D.; Courtney, R.J.; Benowitz, N.L. Cytisine for nicotine addiction treatment: A review of pharmacology, therapeutics and an update of clinical trial evidence for smoking cessation. Addiction 2019, 114, 1951–1969. [Google Scholar] [CrossRef] [PubMed]
- Xu, W.-T.; Li, T.-Z.; Li, S.-M.; Wang, C.; Wang, H.; Luo, Y.-H.; Piao, X.-J.; Wang, J.-R.; Zhang, Y.; Zhang, T.; et al. Cytisine exerts anti-tumour effects on lung cancer cells by modulating reactive oxygen species-mediated signalling pathways. Artif. Cells Nanomed. Biotechnol. 2020, 48, 84–95. [Google Scholar] [CrossRef]
- Yu, L.; Wang, X.; Chen, Z.-F.; Jiang, B.; Shang, D.-Y.; Sun, Y.-X.; Yang, J.-H.; Zhang, L.-F.; Ji, Y.-B. Cytisine induces apoptosis of HepG2 cells. Mol. Med. Rep. 2017, 16, 3363–3370. [Google Scholar] [CrossRef]
- Morishige, T.; Yoshioka, Y.; Inakura, H.; Tanabe, A.; Yao, X.; Tsunoda, S.; Tsutsumi, Y.; Mukai, Y.; Okada, N.; Nakagawa, S. Cytotoxicity of amorphous silica particles against macrophage-like THP-1 cells depends on particle-size and surface properties. Pharmazie 2010, 65, 596–599. [Google Scholar]
- Lankoff, A.; Sandberg, W.J.; Wegierek-Ciuk, A.; Lisowska, H.; Refsnes, M.; Sartowska, B.; Schwarze, P.E.; Meczynska-Wielgosz, S.; Wojewodzka, M.; Kruszewski, M. The effect of agglomeration state of silver and titanium dioxide nanoparticles on cellular response of HepG2, A549 and THP-1 cells. Toxicol. Lett. 2012, 208, 197–213. [Google Scholar] [CrossRef]
- Karakoti, A.S.; Hench, L.L.; Seal, S. The potential toxicity of nanomaterials—The role of surfaces. JOM 2006, 58, 77–82. [Google Scholar] [CrossRef]
- Buzea, C.; Pacheco, I.I.; Robbie, K. Nanomaterials and nanoparticles: Sources and toxicity. Biointerphases 2007, 2, MR17–MR71. [Google Scholar] [CrossRef]
- Albertazzi, L.; Serresi, M.; Albanese, A.; Beltram, F. Dendrimer Internalization and Intracellular Trafficking in Living Cells. Mol. Pharm. 2010, 7, 680–688. [Google Scholar] [CrossRef] [PubMed]
- Kitchens, K.M.; Foraker, A.B.; Kolhatkar, R.B.; Swaan, P.W.; Ghandehari, H. Endocytosis and interaction of poly (amidoamine) dendrimers with Caco-2 cells. Pharm. Res. 2007, 24, 2138–2145. [Google Scholar] [CrossRef] [PubMed]
- Zhang, J.; Liu, D.; Zhang, M.; Sun, Y.; Zhang, X.; Guan, G.; Zhao, X.; Qiao, M.; Chen, D.; Hu, H. The cellular uptake mechanism, intracellular transportation, and exocytosis of polyamidoamine dendrimers in multidrug-resistant breast cancer cells. Int. J. Nanomed. 2016, 11, 3677–3690. [Google Scholar] [CrossRef] [PubMed]
- Hillaireau, H.; Couvreur, P. Nanocarriers’ entry into the cell: Relevance to drug delivery. Cell. Mol. Life Sci. 2009, 66, 2873–2896. [Google Scholar] [CrossRef]
- Alnasser, Y.; Kambhampati, S.P.; Nance, E.; Rajbhandari, L.; Shrestha, S.; Venkatesan, A.; Kannan, R.M.; Kannan, S. Preferential and Increased Uptake of Hydroxyl-Terminated PAMAM Dendrimers by Activated Microglia in Rabbit Brain Mixed Glial Culture. Molecules 2018, 23, 25. [Google Scholar] [CrossRef]













| Species → | C | CNPC | ||
|---|---|---|---|---|
| Atom no ↓ | 13C | 1H | 13C | 1H |
| 1 | 35.6 | 2.88 (bm) | 34.6 a; 34.7 b | 3.13 (bs) |
| 2 2′ | 53.0 | 3.02 (AB spectrum) | 51.1 a 52.2 b | 3.34 (d, J2,2′ = 13.6 Hz) a 3.36 (d, J2,2′ = 13.1 Hz) b 4.41 (d) a 4.24 (d) b |
| 3 | - | 1.30 (bs) | - | |
| 4 4′ | 54.0 | 2.99 (bm) | 50.5 a 51.8 b | 3.15 (d, J4,4′ = 12.0 Hz) a 3.18 (d, J4,4′ = 12.0 Hz) b 4.32 (d) a 4.37 (d) b |
| 5 | 27.8 | 2.30 (bm) | 27.4 | 2.55 (bs) |
| 6 6′ | 49.8 | 4.10 (d, J6,6′ = 15.8 Hz) 3.87 (dd, J6′,5 = 6.7 Hz) | 48.8 a 48.9 b | 3.86 (d, J6,6′ = 16.1 Hz) a 3.88 (d, J6,6′ = 16.1 Hz) b 4.36 (d) a 4.23 (d) b |
| 7 | - | - | - | |
| 8 | 163.7 | - | 163.4; 163.3 | - |
| 9 | 116.8 | 6.43 (d, J9,10 = 8.8 Hz) | 117.4 | 6.45 (d, J9,10 = 9.0 Hz) a 6.47 (d, J9,10 = 9.0 Hz) b |
| 10 | 138.8 | 7.27 (dd) | 138.8 b 139.3 a | 7.27 (dd) a 7.29 (dd) b |
| 11 | 105.0 | 5.97 (d, J10,11 = 7.2 Hz) | 105.4 a 106.2 b | 6.09 (d, J10,11 = 6.7 Hz) a + b |
| 12 | 151.1 | - | 152.4; 152.6 | - |
| 13, 13′ | 26.3 | 1.93 (bm) | 25.9 a 25.8 b | 2.05 (bs) |
| 14 | 148.5; 148.0 | - | ||
| 15 | 145.0; 144.8 | - | ||
| 16 | 122.5 a 122.2 b | 7.12 (d, J16,17 = 9.0 Hz) a 54% 6.92 (d, J16,17 = 9.0 Hz) b 46% | ||
| 17 | 125.1 a 125.0 b | 8.16 (d) a 8.13 (d) b | ||
| 18 | 155.8 | - | ||
| Entry | Species | MW (g⋅mol−1) | Tg (°C) | ζ (mV) | d(N) (nm) | d(V) (nm) | ν(CO) (cm−1) | n(NH2) |
|---|---|---|---|---|---|---|---|---|
| 1 | G3 | 6909 | −19.1 | 21.3 | 3.60 | 4.15 | 1634 | 32 |
| 2 | G35gh | 7950 | 5.2 | 7.3 | 3.80 | 4.61 | 1646 | 27 |
| 3 | G310gh | 8991 | 20.2 | 5.6 | 3.80 | 4.73 | 1640 | 22 |
| 4 | G316gh | 10,240 | 22.6 | 3.3 | 3.97 | 4.60 | 1640 | 16 |
| 5 | G318gh | 10,656 | 25.9 | 3.2 | 3.51 | 4.18 | 1643 | 14 |
| 6 | G332gh | 13,587 | 20.0 | 1.1 | 4.00 | 4.60 | 1644 | 0 |
| 7 | G39Cyt11gh | 10,434 | 46.7 | 20.1 | 70.6 | 81.0 | 1646 | 12 |
| 8 | G33Cyt14gh | 10,151 | 26.7 | 5.7 | 4.13 | 4.68 | 1643 | 15 |
| 9 | G32Cyt26gh | 12,539 | 36.4 | 3.3 | 4.34 | 4.77 | 1642 | 4 |
| 10 | G32Cyt23gh | 11,915 | 38.3 | 3.5 | 4.10 | 4.70 | 1643 | 7 |
| 11 | G32Cyt16gh | 10,458 | 10.4 | 7.0 | 4.24 | 4.68 | 1623 | 14 |
| Species | Tg (°C) | ΔCp’ (J·g−1·°C−1) | MW (g·mol−1) | ΔCp (J·mol−1·°C−1) | Number of Beads |
|---|---|---|---|---|---|
| G3 | −19.1 | 0.5464 | 6909 | 3775 | 343–344 |
| G35gh | 5.2 | 0.4944 | 7950 | 3930 | 357–358 |
| G310gh | 20.2 | 0.5674 | 8991 | 5101 | 463–464 |
| G316gh | 22.6 | 0.7194 | 10,240 | 7367 | 669–670 |
| G318gh | 25.9 | 0.6658 | 10,656 | 7095 | 644–645 |
| G332gh | 18.6 | 0.7043 | 13,587 | 9569 | 869–870 |
| G39C11gh | 46.7 | 0.3987 | 10,434 | 4160 | 378–379 |
| G33C14gh | 26.7 | 0.6797 | 10,151 | 6900 | 627–628 |
| G32C26gh | 36.4 | 0.6445 | 12,539 | 8081 | 734–735 |
| G32C23gh | 38.3 | 0.6406 | 11,915 | 7633 | 693–694 |
| G32C16gh | 8.7 | 0.8525 | 10,458 | 8915 | 810–811 |
© 2020 by the authors. Licensee MDPI, Basel, Switzerland. This article is an open access article distributed under the terms and conditions of the Creative Commons Attribution (CC BY) license (http://creativecommons.org/licenses/by/4.0/).
Share and Cite
Czerniecka-Kubicka, A.; Tutka, P.; Pyda, M.; Walczak, M.; Uram, Ł.; Misiorek, M.; Chmiel, E.; Wołowiec, S. Stepwise Glucoheptoamidation of Poly(Amidoamine) Dendrimer G3 to Tune Physicochemical Properties of the Potential Drug Carrier: In Vitro Tests for Cytisine Conjugates. Pharmaceutics 2020, 12, 473. https://doi.org/10.3390/pharmaceutics12050473
Czerniecka-Kubicka A, Tutka P, Pyda M, Walczak M, Uram Ł, Misiorek M, Chmiel E, Wołowiec S. Stepwise Glucoheptoamidation of Poly(Amidoamine) Dendrimer G3 to Tune Physicochemical Properties of the Potential Drug Carrier: In Vitro Tests for Cytisine Conjugates. Pharmaceutics. 2020; 12(5):473. https://doi.org/10.3390/pharmaceutics12050473
Chicago/Turabian StyleCzerniecka-Kubicka, Anna, Piotr Tutka, Marek Pyda, Małgorzata Walczak, Łukasz Uram, Maria Misiorek, Ewelina Chmiel, and Stanisław Wołowiec. 2020. "Stepwise Glucoheptoamidation of Poly(Amidoamine) Dendrimer G3 to Tune Physicochemical Properties of the Potential Drug Carrier: In Vitro Tests for Cytisine Conjugates" Pharmaceutics 12, no. 5: 473. https://doi.org/10.3390/pharmaceutics12050473
APA StyleCzerniecka-Kubicka, A., Tutka, P., Pyda, M., Walczak, M., Uram, Ł., Misiorek, M., Chmiel, E., & Wołowiec, S. (2020). Stepwise Glucoheptoamidation of Poly(Amidoamine) Dendrimer G3 to Tune Physicochemical Properties of the Potential Drug Carrier: In Vitro Tests for Cytisine Conjugates. Pharmaceutics, 12(5), 473. https://doi.org/10.3390/pharmaceutics12050473

