Physical Properties of an Ionic Liquid Composed of Two Water-Soluble Vitamins and Enhanced Skin Permeation of Both Vitamins
Abstract
1. Introduction
2. Materials and Methods
2.1. Materials
2.2. Preparation of VC-VB6 IL
2.3. Differential Thermal Analysis
2.4. X-ray Diffraction Measurement
2.5. Nuclear Magnetic Resonance Measurement
2.6. Solubility Measurement in Diethyl Sebacate and 1,3-Butanediol
2.7. Determination of VC and VB6
2.8. Animals
2.9. In Vitro Skin Permeation Experiment
3. Results
3.1. Effect of Ionic Liquid on the Melting Points of VC and VB6
3.2. Effect of Ionic Liquid on the Crystalline Properties of VC and VB6
3.3. Effect of Ionic Liquid on Intermolecular Interactions between VC and VB6
3.4. The Solubility of VC and VB6 in Diethyl Sebacate and 1,3-Butanediol
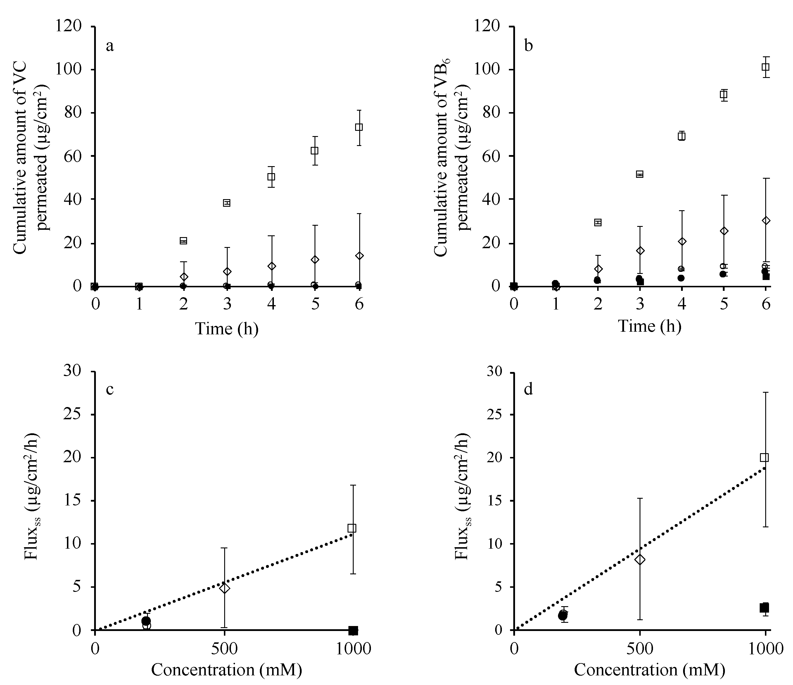
3.5. Skin Permeation of VC and VB6 from 1,3-Butanediol
4. Discussion
5. Conclusions
Author Contributions
Funding
Conflicts of Interest
References
- Endres, F.; El Abedin, S.Z. Air and water stable ionic liquids in physical chemistry. Phys. Chem. Chem. Phys. 2006, 14, 2101–2116. [Google Scholar] [CrossRef] [PubMed]
- Walden, P. Molecular weights and electrical conductivity of several fused salts. Bull. Acad. Sci. St. Petersburg 1914, 1800, 405–422. [Google Scholar]
- Francisco, M.; van den Bruinhorst, A.; Kroon, M.C. Low-transition-temperature mixtures (LTTMs): A new generation of designer solvents. Angew. Chem. Int. Ed. Engl. 2013, 52, 3074–3085. [Google Scholar] [CrossRef] [PubMed]
- Stoimenovski, J.; MacFarlane, D.R.; Bica, K.; Rogers, R.D. Crystalline vs. ionic liquid salt forms of active pharmaceutical ingredients: A position paper. Pharm. Res. 2010, 27, 521–526. [Google Scholar] [CrossRef] [PubMed]
- Postleb, F.; Stefanik, D.; Seifert, H.; Giernoth, R. BIOnic liquids: Imidazolium-based ionic liquids with antimicrobial activity. Z. Naturforsch. B 2013, 68, 1123–1128. [Google Scholar] [CrossRef]
- Lapkin, A.; Plucinski, P.K.; Cutler, M. Comparative assessment of technologies for extraction of artemisinin. J. Nat. Prod. 2006, 69, 1653–1664. [Google Scholar] [CrossRef]
- Banerjee, A.; Ibsen, K.; Brown, T.; Chen, R.; Agatemor, C.; Mitragotri, S. Ionic liquids for oral insulin delivery. Proc. Natl. Acad. Sci. USA 2018, 115, 7296–7301. [Google Scholar] [CrossRef]
- Nurunnabi, M.; Ibsen, K.N.; Tanner, E.E.L.; Mitragotri, S. Oral ionic liquid for the treatment of diet-induced obesity. Proc. Natl. Acad. Sci. USA 2019, 116, 25042–25047. [Google Scholar] [CrossRef]
- Sahbaz, Y.; Nguyen, T.H.; Ford, L.; McEvoy, C.L.; Williams, H.D.; Scammells, P.J.; Porter, C.J.H. Ionic liquid forms of weakly acidic drugs in oral lipid formulations: Preparation, characterization, in vitro digestion, and in vivo absorption studies. Mol. Pharm. 2017, 14, 3669–3683. [Google Scholar] [CrossRef]
- Shamshina, J.L.; Cojocaru, O.A.; Kelley, S.P.; Bica, K.; Wallace, S.P.; Gurau, G.; Rogers, R.D. Acyclovir as an ionic liquid cation or anion can improve aqueous solubility. ACS Omega 2017, 2, 3483–3493. [Google Scholar] [CrossRef]
- Hough, W.L.; Smiglak, M.; Rodríguez, H.; Swatloski, R.P.; Spear, S.K.; Daly, D.T.; Pernak, J.; Grisel, J.E.; Carliss, R.D.; Soutullo, M.D.; et al. The third evolution of ionic liquids: Active pharmaceutical ingredients. New J. Chem. 2007, 31, 1429–1436. [Google Scholar] [CrossRef]
- Zakrewsky, M.; Lovejoy, K.S.; Kern, T.L.; Miller, T.E.; Le, V.; Nagy, A.; Goumas, A.M.; Iyer, R.S.; Del Sesto, R.E.; Koppisch, A.T.; et al. Ionic liquids as a class of materials for transdermal delivery and pathogen neutralization. Proc. Natl. Acad. Sci. USA 2014, 111, 13313–13318. [Google Scholar] [CrossRef] [PubMed]
- Hattori, T.; Tagawa, H.; Inai, M.; Kan, T.; Kimura, S.I.; Itai, S.; Mitragotri, S.; Iwao, Y. Transdermal delivery of nobiletin using ionic liquids. Sci. Rep. 2019, 9, 20191. [Google Scholar] [CrossRef] [PubMed]
- Banerjee, A.; Ibsen, K.; Iwao, Y.; Zakrewsky, M.; Mitragotri, S. Transdermal protein delivery using choline and geranate (CAGE) deep eutectic solvent. Adv. Healthc. Mater. 2017, 6, 1601411. [Google Scholar] [CrossRef] [PubMed]
- Qi, Q.M.; Mitragotri, S. Mechanistic study of transdermal delivery of macromolecules assisted by ionic liquids. J. Control. Release 2019, 311–312, 162–169. [Google Scholar] [CrossRef]
- Tanner, E.E.L.; Curreri, A.M.; Balkaran, J.P.R.; Selig-Wober, N.C.; Yang, A.B.; Kendig, C.; Fluhr, M.P.; Kim, N.; Mitragotri, S. Design principles of ionic liquids for transdermal drug delivery. Adv. Mater. 2019, 31, 1901103. [Google Scholar] [CrossRef]
- Monti, D.; Egiziano, E.; Burgalassi, S.; Chetoni, P.; Chiappe, C.; Sanzone, A.; Tampucci, S. Ionic liquids as potential enhancers for transdermal drug delivery. Int. J. Pharm. 2017, 516, 45–51. [Google Scholar] [CrossRef]
- Moniruzzaman, M.; Tahara, Y.; Tamura, M.; Kamiya, N.; Goto, M. Ionic liquid-assisted transdermal delivery of sparingly soluble drugs. Chem. Commun. 2010, 46, 1452–1454. [Google Scholar] [CrossRef]
- Moniruzzaman, M.; Tamura, M.; Tahara, Y.; Kamiya, N.; Goto, M. Ionic liquid-in-oil microemulsion as a potential carrier of sparingly soluble drug: Characterization and cytotoxicity evaluation. Int. J. Pharm. 2010, 400, 243–250. [Google Scholar] [CrossRef]
- Miwa, Y.; Hamamoto, H.; Ishida, T. Lidocaine self-sacrificially improves the skin permeation of the acidic and poorly water-soluble drug etodolac via its transformation into an ionic liquid. Eur. J. Pharm. Biopharm. 2016, 102, 92–100. [Google Scholar] [CrossRef]
- Wu, H.; Deng, Z.; Zhou, B.; Qi, M.; Hong, M.; Ren, G. Improved transdermal permeability of ibuprofen by ionic liquid technology: Correlation between counterion structure and the physicochemical and biological properties. J. Mol. Liq. 2019, 283, 399–409. [Google Scholar] [CrossRef]
- Florindo, C.; Araújo, J.M.M.; Alves, F.; Matos, C.; Ferraz, R.; Prudêncio, C.; Noronha, J.P.; Petrovski, Ž.; Branco, L.; Rebelo, L.P.N.; et al. Evaluation of solubility and partition properties of ampicillin-based ionic liquids. Int. J. Pharm. 2013, 456, 553–559. [Google Scholar] [CrossRef]
- Stamford, N.P. Stability, transdermal penetration, and cutaneous effects of ascorbic acid and its derivatives. J. Cosmet. Dermatol. 2012, 11, 310–3017. [Google Scholar] [CrossRef]
- Starr, N.J.; Abdul Hamid, K.; Wibawa, J.; Marlow, I.; Bell, M.; Pérez-García, L.; Barrett, D.A.; Scurr, D.J. Enhanced vitamin C skin permeation from supramolecular hydrogels, illustrated using in situ ToF-SIMS 3D chemical profiling. Int. J. Pharm. 2019, 563, 21–29. [Google Scholar] [CrossRef]
- Arce, F.V., Jr.; Asano, N.; Yamashita, K.; Oda, A.; Uchida, T.; Sano, T.; Todo, H.; Sugibayashi, K. Effects of layered application on the skin permeation of a cosmetics active component, rhododendrol. J. Toxicol. Sci. 2019, 44, 1–11. [Google Scholar] [CrossRef] [PubMed]
- Niemczak, M.; Kaczmarek, D.K.; Klejdysz, T.; Gwiazdowska, D.; Marchwińska, K.; Pernak, J. Ionic Liquids Derived from vitamin C as multifunctional active ingredients for sustainable stored-product management. ACS Sustain. Chem. Eng. 2019, 7, 1072–1084. [Google Scholar] [CrossRef]
- Rohto Pharmaceutical Co., Ltd. Topical Formulations Containing Ascorbic Acid and/or Its Salt. JP patent 6352560, 28 June 2017. [Google Scholar]
- Higuchi, T. Physical chemical analysis of percutaneous absorption process from creams and ointments. J. Soc. Cosmet. Chem. 1960, 11, 85–93. [Google Scholar]






© 2020 by the authors. Licensee MDPI, Basel, Switzerland. This article is an open access article distributed under the terms and conditions of the Creative Commons Attribution (CC BY) license (http://creativecommons.org/licenses/by/4.0/).
Share and Cite
Sugibayashi, K.; Yoshida, Y.; Suzuki, R.; Yoshizawa, K.; Mori, K.; Itakura, S.; Takayama, K.; Todo, H. Physical Properties of an Ionic Liquid Composed of Two Water-Soluble Vitamins and Enhanced Skin Permeation of Both Vitamins. Pharmaceutics 2020, 12, 427. https://doi.org/10.3390/pharmaceutics12050427
Sugibayashi K, Yoshida Y, Suzuki R, Yoshizawa K, Mori K, Itakura S, Takayama K, Todo H. Physical Properties of an Ionic Liquid Composed of Two Water-Soluble Vitamins and Enhanced Skin Permeation of Both Vitamins. Pharmaceutics. 2020; 12(5):427. https://doi.org/10.3390/pharmaceutics12050427
Chicago/Turabian StyleSugibayashi, Kenji, Yuya Yoshida, Ryuichiro Suzuki, Kota Yoshizawa, Kenji Mori, Shoko Itakura, Kozo Takayama, and Hiroaki Todo. 2020. "Physical Properties of an Ionic Liquid Composed of Two Water-Soluble Vitamins and Enhanced Skin Permeation of Both Vitamins" Pharmaceutics 12, no. 5: 427. https://doi.org/10.3390/pharmaceutics12050427
APA StyleSugibayashi, K., Yoshida, Y., Suzuki, R., Yoshizawa, K., Mori, K., Itakura, S., Takayama, K., & Todo, H. (2020). Physical Properties of an Ionic Liquid Composed of Two Water-Soluble Vitamins and Enhanced Skin Permeation of Both Vitamins. Pharmaceutics, 12(5), 427. https://doi.org/10.3390/pharmaceutics12050427

