Pharmacokinetic Study of NADPH Oxidase Inhibitor Ewha-18278, a Pyrazole Derivative
Abstract
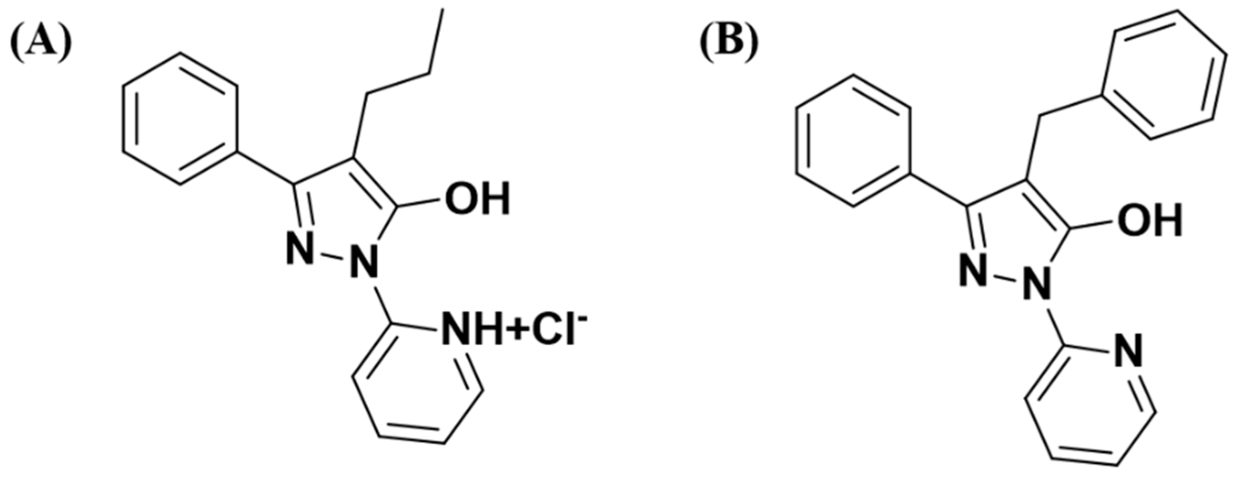
1. Introduction
2. Materials and Methods
2.1. Materials
2.2. HPLC Analysis
2.2.1. Sample Preparation and Apparatus
2.2.2. Method Validation
Linearity and Sensitivity
Precision and Accuracy
Recovery and Stability
2.3. Animal Experiments
2.4. PK Studies
2.4.1. Formulations of Ewha-18278
2.4.2. Administrations of Ewha-18278
2.4.3. Analysis of Ewha-18278 PK Data
2.5. Data Analysis
3. Results
3.1. HPLC Method Validation
3.2. Pharmacokinetics of Ewha-18278 in DMSO-based Formulation
3.3. Pharmacokinetics of Ewha-18278 in Diazepam Injection-based Formulation Applicable to Humans
3.4. Initial Concentration Effect on Pharmacokinetics of Ewha-18278 in Diazepam Injection-based Formulation Following Oral Administration
4. Discussion
5. Conclusions
Supplementary Materials
Author Contributions
Funding
Conflicts of Interest
References
- Krause, K.H.; Bedard, K. NOX enzymes in immuno-inflammatory pathologies. Semin. Immunopathol. 2008, 30, 193–194. [Google Scholar] [CrossRef] [PubMed][Green Version]
- Bedard, K.; Krause, K.H. The NOX family of ROS-generating NADPH oxidases: Physiology and pathophysiology. Physiol. Rev. 2007, 87, 245–313. [Google Scholar] [CrossRef] [PubMed]
- Lee, N.K.; Choi, Y.G.; Baik, J.Y.; Han, S.Y.; Jeong, D.W.; Bae, Y.S.; Kim, N.; Lee, S.Y. A crucial role for reactive oxygen species in RANKL-induced osteoclast differentiation. Blood 2005, 106, 852–859. [Google Scholar] [CrossRef] [PubMed]
- Valko, M.; Leibfritz, D.; Moncol, J.; Cronin, M.T.; Mazur, M.; Telser, J. Free radicals and antioxidants in normal physiological functions and human disease. Int. J. Biochem. Cell. Biol. 2007, 39, 44–84. [Google Scholar] [CrossRef] [PubMed]
- Joo, J.H.; Huh, J.E.; Lee, J.H.; Park, D.R.; Lee, Y.; Lee, S.G.; Choi, S.; Lee, H.J.; Song, S.W.; Jeong, Y.; et al. A novel pyrazole derivative protects from ovariectomy-induced osteoporosis through the inhibition of NADPH oxidase. Sci. Rep. 2016, 6, 22389. [Google Scholar] [CrossRef] [PubMed]
- Shargal, L.; Yu, A.B.C. Introduction to biopharmacrutics and pharmacokinetics. In Applied Biopharmarceutics and Pharmacokinetics, 7th ed.; Shargal, L., Yu, A.B.C., Eds.; McGraw-Hill: Singapore, Singapore, 2016; Volume 1, pp. 1–26. [Google Scholar]
- Lee, J.; Chae, S.W.; Oh, A.R.; Yoo, J.H.; Park Choo, H.Y.; Rhie, S.J.; Lee, H.J. Effects of Piperazine Derivative on Paclitaxel Pharmacokinetics. Pharmaceutics 2019, 11, 23. [Google Scholar] [CrossRef] [PubMed]
- Chae, S.W.; Woo, S.; Park, J.H.; Kwon, Y.; Na, Y.; Lee, H.J. Xanthone analogues as potent modulators of intestinal P-glycoprotein. Eur. J. Med. Chem. 2015, 93, 237–245. [Google Scholar] [CrossRef] [PubMed]
- Chae, S.W.; Lee, J.; Park, J.H.; Kwon, Y.; Na, Y.; Lee, H.J. Intestinal P-glycoprotein inhibitors, benzoxanthone analogues. J. Pharm. Pharmacol. 2018, 70, 234–241. [Google Scholar] [CrossRef] [PubMed]
- U.S. Food & Drug. Available online: https://www.fda.gov/regulatory-information/search-fda-guidance-documents/bioanalytical-method-validation-guidance-industry (accessed on 27 May 2019).
- Oh, J.H. A Simple HPLC Method for Quantification of NOX Inhibitors in Rat Plasma and Its Application to Pharmacokinetic Study. Master’s Thesis, Ewha Womans University, Seoul, Korea, January 2010. [Google Scholar]
- Serajuddin, A.T. Salt formation to improve drug solubility. Adv. Drug Deliv. Rev. 2007, 59, 603–616. [Google Scholar] [CrossRef] [PubMed]
- Morris, K.R.; Fakes, M.G.; Thakur, A.B.; Newman, A.W.; Singh, A.K.; Venit, J.J.; Spagnuolo, C.J.; Serajuddin, A.T. An integrated approach to the selection of optimal salt form for a new drug candidate. Int. J. Pharm. 1994, 105, 209–217. [Google Scholar] [CrossRef]
- Strickley, R.G. Solubilizing excipients in oral and injectable formulations. Pharm. Res. 2004, 21, 201–230. [Google Scholar] [CrossRef] [PubMed]
- Mignani, S.; El Kazzouli, S.; Bousmina, M.; Majoral, J.P. Expand classical drug administration ways by emerging routes using dendrimer drug delivery systems: A concise overview. Adv. Drug Deliv. Rev. 2013, 65, 1316–1330. [Google Scholar] [CrossRef] [PubMed]
- Xia, W.J.; Onyuksel, H. Mechanistic studies on surfactant-induced membrane permeability enhancement. Pharm. Res. 2000, 17, 612–618. [Google Scholar] [CrossRef] [PubMed]
- Swanson, B.N. Medical use of dimethyl sulfoxide (DMSO). Rev. Clin. Basic Pharm. 1985, 5, 1–33. [Google Scholar] [PubMed]
- PharmTech. Available online: http://www.pharmtech.com/advances-regulated-pharmaceutical-use-dimethyl-sulfoxide-usp-pheur?pageID=1 (accessed on 3 June 2019).
- Pouton, C.W. Formulation of poorly water-soluble drugs for oral administration: Physicochemical and physiological issues and the lipid formulation classification system. Eur. J. Pharm. Sci. 2006, 29, 278–287. [Google Scholar] [CrossRef] [PubMed]
- Park, J.H.; Park, J.H.; Hur, H.J.; Woo, J.S.; Lee, H.J. Effects of silymarin and formulation on the oral bioavailability of paclitaxel in rats. Eur. J. Pharm. Sci. 2012, 45, 296–301. [Google Scholar] [CrossRef] [PubMed]



| PK Parameters | DMSO Formulation | Diazepam Injection-Based Formulation | |||
|---|---|---|---|---|---|
| IV (1 mg/mL) | PO (2 mg/mL) | IV (1 mg/mL) | PO (2 mg/mL) | PO (1 mg/mL) | |
| C0 (µg/mL) | 7.24 ± 2.45 | 7.48 ± 3.42 | |||
| Cmax (µg/mL) | 4.68 ± 2.11 | 6.24 ± 2.02 | 5.01 ± 2.51 | ||
| Tmax (h) | 0.249 ± 0.166 | 0.083 ± 0.00 | 0.233 ± 0.171 | ||
| AUCinf (µg·h/mL) | 2.86 ± 1.09 | 19.4 ± 8.69 | 2.15 ± 0.693 | 9.25 ± 4.42 | 14.4 ± 8.17 |
| t1/2 (h) | 3.07 ± 2.01 | 14.2 ± 4.76 | 4.07 ± 2.28 | 8.96 ± 2.92 | 14.4 ± 3.73 |
| Vd (L) | 0.785 ± 0.154 | 1.52 ± 1.17 | |||
| Clt (L/h) | 0.216 ± 0.084 | 0.250 ± 0.072 | |||
| Vd/F (L) | 6.06 ± 2.32 | 7.90 ± 3.01 | 9.72 ± 5.17 | ||
| Clt/F (L/h) | 0.327 ± 0.164 | 0.726 ± 0.553 | 0.531 ± 0.370 | ||
| F (%) | 62.4 | 43.0 | 67.2 | ||
© 2019 by the authors. Licensee MDPI, Basel, Switzerland. This article is an open access article distributed under the terms and conditions of the Creative Commons Attribution (CC BY) license (http://creativecommons.org/licenses/by/4.0/).
Share and Cite
Lee, S.G.; Lee, J.; Kim, K.M.; Lee, K.-I.; Bae, Y.S.; Lee, H.J. Pharmacokinetic Study of NADPH Oxidase Inhibitor Ewha-18278, a Pyrazole Derivative. Pharmaceutics 2019, 11, 482. https://doi.org/10.3390/pharmaceutics11090482
Lee SG, Lee J, Kim KM, Lee K-I, Bae YS, Lee HJ. Pharmacokinetic Study of NADPH Oxidase Inhibitor Ewha-18278, a Pyrazole Derivative. Pharmaceutics. 2019; 11(9):482. https://doi.org/10.3390/pharmaceutics11090482
Chicago/Turabian StyleLee, Seul Gee, Jaeok Lee, Kyung Min Kim, Kee-In Lee, Yun Soo Bae, and Hwa Jeong Lee. 2019. "Pharmacokinetic Study of NADPH Oxidase Inhibitor Ewha-18278, a Pyrazole Derivative" Pharmaceutics 11, no. 9: 482. https://doi.org/10.3390/pharmaceutics11090482
APA StyleLee, S. G., Lee, J., Kim, K. M., Lee, K.-I., Bae, Y. S., & Lee, H. J. (2019). Pharmacokinetic Study of NADPH Oxidase Inhibitor Ewha-18278, a Pyrazole Derivative. Pharmaceutics, 11(9), 482. https://doi.org/10.3390/pharmaceutics11090482

