Optimized Chitosan/Anion Polyelectrolyte Complex Based Inserts for Vaginal Delivery of Fluconazole: In Vitro/In Vivo Evaluation
Abstract
1. Introduction
2. Materials and Methods
2.1. Materials
2.2. Preparation of Fluconazole Polyelectrolyte Complexes (PECs)
2.3. Differential Scanning Calorimetry (DSC)
2.4. Fourier-Transform Infrared Spectroscopy (FTIR)
2.5. Scanning Electron Microscopy (SEM)
2.6. Preparation of Vaginal Inserts
2.7. 3151 Factorial Design for Formulation and Optimization of PEC Based Vaginal Inserts
2.8. Drug Content
2.9. Friability Studies
2.10. Swelling Studies
2.11. Ex Vivo Mucoadhesion Studies
2.12. In Vitro Release and Kinetic Analysis of the Release Data
2.13. Release Profile Modulation
2.14. In Vitro Microbiological Evaluation
2.15. In Vivo Microbiological and Histological Testing
3. Results and Discussion
3.1. Differential Scanning Calorimetry (DSC)
3.2. Fourier Transform Infrared Spectroscopy (FTIR)
3.3. Scanning Electron Microscopy (SEM) Study
3.4. Characterization of Chitosan/Anion Complex Based Inserts
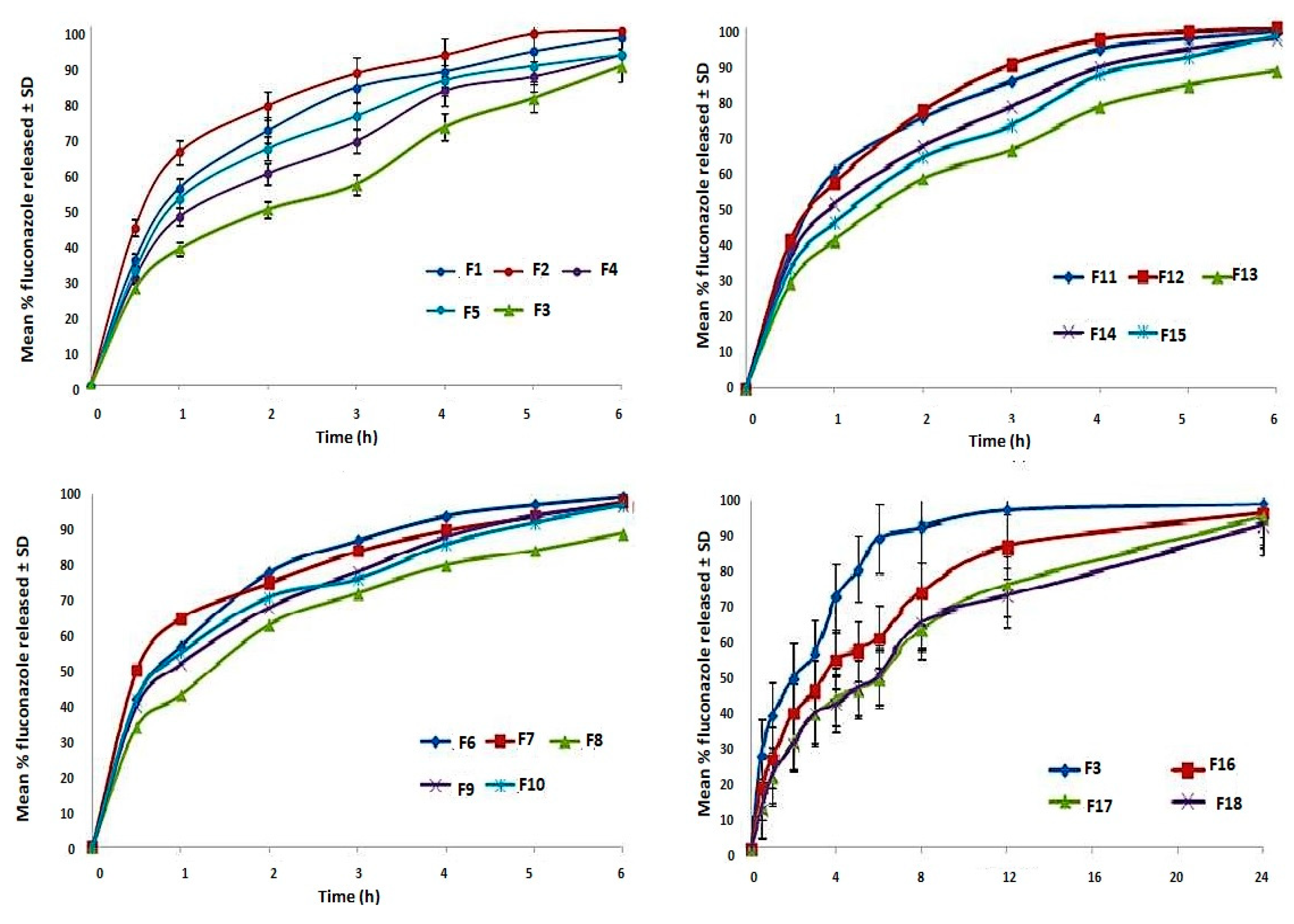
3.5. In Vitro Release Studies and Kinetic Analysis
3.6. Statistical Analysis of Factorial Design
3.6.1. Effect on Mucoadhesion
3.6.2. Effect on In Vitro Release
3.6.3. Numerical Optimization
3.7. Modulation of Release Profile
3.8. In Vitro Microbiological Assays
3.9. In-Vivo Microbiological and Histological Evaluation
4. Conclusions
Author Contributions
Funding
Conflicts of Interest
References
- Achkar, J.M.; Fries, B.C. Candida infections of the genitourinary tract. Clin. Microbiol. Rev. 2010, 23, 253–273. [Google Scholar] [CrossRef] [PubMed]
- Strandberg, K.L.; Peterson, M.L.; Lin, Y.-C.; Pack, M.C.; Chase, D.J.; Schlievert, P.M. Glycerol monolaurate inhibits Candida and Gardnerella vaginalis in vitro and in vivo but not Lactobacillus. Antimicrob. Agents Chemother. 2010, 54, 597–601. [Google Scholar] [CrossRef] [PubMed]
- Hani, U.; Shivakumar, H.; Osmani, R.A.M.; Srivastava, A.; Varma, N.S.K. Development of a curcumin bioadhesive monolithic tablet for treatment of vaginal candidiasis. Iran. J. Pharm. Res. IJPR 2016, 15, 23–34. [Google Scholar] [PubMed]
- Goa, K.; Barradell, L. Erratum to Fluconazole: An update of its pharmacodynamic and pharmacokinetic properties and therapeutic use in major superficial and systemic mycoses in immunocompromised patients. Drugs 1996, 51, 505. [Google Scholar] [CrossRef]
- Jadhav, K.R.; Kadam, V.J.; Pisal, S.S. Formulation and evaluation of lecithin organogel for topical delivery of fluconazole. Curr. Drug Deliv. 2009, 6, 174–183. [Google Scholar] [CrossRef] [PubMed]
- Fitaihi, R.A.; Aleanizy, F.S.; Elsamaligy, S.; Mahmoud, H.A.; Bayomi, M.A. Role of chitosan on controlling the characteristics and antifungal activity of bioadhesive fluconazole vaginal tablets. Saudi Pharm. J. 2018, 26, 151–161. [Google Scholar] [CrossRef] [PubMed]
- Bachhav, Y.G.; Patravale, V.B. Microemulsion based vaginal gel of fluconazole: Formulation, in vitro and in vivo evaluation. Int. J. Pharm. 2009, 365, 175–179. [Google Scholar] [CrossRef] [PubMed]
- Santos, S.S.; Lorenzoni, A.; Pegoraro, N.S.; Denardi, L.B.; Alves, S.H.; Schaffazick, S.R.; Cruz, L. Formulation and in vitro evaluation of coconut oil-core cationic nanocapsules intended for vaginal delivery of clotrimazole. Colloids Surf. B Biointerfaces 2014, 116, 270–276. [Google Scholar] [CrossRef] [PubMed]
- Hamman, J.H. Chitosan based polyelectrolyte complexes as potential carrier materials in drug delivery systems. Mar. Drugs 2010, 8, 1305–1322. [Google Scholar] [CrossRef] [PubMed]
- Xu, Q.; Wu, Y.-X.; Jia, Q.; Qing, H.-J.; Nie, F.; Zhou, Y.-J. Synthesis and photochromic properties of spiropyran-graft-chitosan biopolymers. In Proceedings of the 2016 International Conference on Advanced Materials and Energy Sustainability (AMES2016), Wuhan, China, 27–29 May 2016; pp. 10–16. [Google Scholar]
- Nilsen-Nygaard, J.; Strand, S.P.; Vårum, K.M.; Draget, K.I.; Nordgård, C.T. Chitosan: Gels and interfacial properties. Polymers 2015, 7, 552–579. [Google Scholar] [CrossRef]
- Lankalapalli, S.; Kolapalli, V. Polyelectrolyte complexes: A review of their applicability in drug delivery technology. Indian J. Pharm. Sci. 2009, 71, 481–487. [Google Scholar] [CrossRef] [PubMed]
- Luppi, B.; Bigucci, F.; Abruzzo, A.; Corace, G.; Cerchiara, T.; Zecchi, V. Freeze-dried chitosan/pectin nasal inserts for antipsychotic drug delivery. Eur. J. Pharm. Biopharm. 2010, 75, 381–387. [Google Scholar] [CrossRef] [PubMed]
- Ibrahim, H.K.; Fahmy, R.H. Localized rosuvastatin via implantable bioerodible sponge and its potential role in augmenting bone healing and regeneration. Drug Deliv. 2016, 23, 3181–3192. [Google Scholar] [CrossRef] [PubMed]
- Kumar, L.; Reddy, M.; Shirodkar, R.; Pai, G.; Krishna, V.; Verma, R. Preparation and characterisation of fluconazole vaginal films for the treatment of vaginal candidiasis. Indian J. Pharm. Sci. 2013, 75, 585–590. [Google Scholar] [PubMed]
- Abruzzo, A.; Bigucci, F.; Cerchiara, T.; Saladini, B.; Gallucci, M.; Cruciani, F.; Vitali, B.; Luppi, B. Chitosan/alginate complexes for vaginal delivery of chlorhexidine digluconate. Carbohydr. Polym. 2013, 91, 651–658. [Google Scholar] [CrossRef] [PubMed]
- Göğer, N.G.; Aboul-Enein, H.Y. Quantitative Determination of Fluconazole in Capsules and IV Solutions by UV Spectrophotometric Methods. Anal. Lett. 2001, 34, 2089–2098. [Google Scholar] [CrossRef]
- Bigucci, F.; Abruzzo, A.; Vitali, B.; Saladini, B.; Cerchiara, T.; Gallucci, M.C.; Luppi, B. Vaginal inserts based on chitosan and carboxymethylcellulose complexes for local delivery of chlorhexidine: Preparation, characterization and antimicrobial activity. Int. J. Pharm. 2015, 478, 456–463. [Google Scholar] [CrossRef] [PubMed]
- Pendekal, M.S.; Tegginamat, P.K. Development and characterization of chitosan-polycarbophil interpolyelectrolyte complex-based 5-fluorouracil formulations for buccal, vaginal and rectal application. DARU J. Pharm. Sci. 2012, 20, 67. [Google Scholar] [CrossRef] [PubMed]
- Carvalho, F.C.; Bruschi, M.L.; Evangelista, R.C.; Gremião, M.P.D. Mucoadhesive drug delivery systems. Braz. J. Pharm. Sci. 2010, 46, 1–17. [Google Scholar] [CrossRef]
- Wang, L.; Tang, X. A novel ketoconazole bioadhesive effervescent tablet for vaginal delivery: Design, in vitro and ‘in vivo’evaluation. Int. J. Pharm. 2008, 350, 181–187. [Google Scholar] [CrossRef] [PubMed]
- Villar, A.M.S.; Naveros, B.C.; Campmany, A.C.C.; Trenchs, M.A.; Rocabert, C.B.; Bellowa, L.H. Design and optimization of self-nanoemulsifying drug delivery systems (SNEDDS) for enhanced dissolution of gemfibrozil. Int. J. Pharm. 2012, 431, 161–175. [Google Scholar] [CrossRef] [PubMed]
- Dash, S.; Murthy, P.N.; Nath, L.; Chowdhury, P. Kinetic modeling on drug release from controlled drug delivery systems. Acta Pol. Pharm. 2010, 67, 217–223. [Google Scholar] [PubMed]
- Christensen, A.; Haugsdal, M.; Bowdler, N.C. Importance of the physical exam and in-office tests in the evaluation of vulvovaginal irritation. Proc. Obstet. Gynecol. 2014, 4, 1–8. [Google Scholar] [CrossRef]
- Jorgensen, J.H.; Hindler, J.F.; Reller, L.B.; Weinstein, M.P. New consensus guidelines from the Clinical and Laboratory Standards Institute for antimicrobial susceptibility testing of infrequently isolated or fastidious bacteria. Clin. Infect. Dis. 2007, 44, 280–286. [Google Scholar] [CrossRef] [PubMed]
- Basha, B.N.; Prakasam, K.; Goli, D. Formulation and evaluation of gel containing fluconazole-antifungal agent. Int. J. Drug Dev. Res. 2011, 3, 109–128. [Google Scholar]
- Tavanti, A.; Campa, D.; Arancia, S.; Hensgens, L.A.; de Bernardis, F.; Senesi, S. Outcome of experimental rat vaginitis by Candida albicans isolates with different karyotypes. Microb. Pathog. 2010, 49, 47–50. [Google Scholar] [CrossRef] [PubMed]
- Baloglu, E.; Karavana, S.Y.; Senyigit, Z.A.; Hilmioglu-Polat, S.; Metin, D.Y.; Zekioglu, O.; Guneri, T.; Jones, D.S. In-situ gel formulations of econazole nitrate: Preparation and in-vitro and in-vivo evaluation. J. Pharm. Pharmacol. 2011, 63, 1274–1282. [Google Scholar] [CrossRef] [PubMed]
- Alkhamis, K.A.; Obaidat, A.A.; Nuseirat, A.F. Solid-state characterization of fluconazole. Pharm. Dev. Technol. 2002, 7, 491–503. [Google Scholar] [CrossRef] [PubMed]
- Dehghan, M.G.; Kazi, M. Lyophilized chitosan/xanthan polyelectrolyte complex based mucoadhesive inserts for nasal delivery of promethazine hydrochloride. Iran. J. Pharm. Res. 2014, 13, 769–784. [Google Scholar]
- Tønnesen, H.H.; Karlsen, J. Alginate in drug delivery systems. Drug Dev. Ind. Pharm. 2002, 28, 621–630. [Google Scholar] [CrossRef] [PubMed]
- Jogia, H.; Khandelwal, U.; Gandhi, T.; Singh, S.; Modi, D. Development and validation of a stability-indicating assay method for simultaneous determination of perindopril and indapamide in combined dosage form by reversed-phase high-performance liquid chromatography. J. AOAC Int. 2010, 93, 108–115. [Google Scholar] [PubMed]
- Luppi, B.; Bigucci, F.; Mercolini, L.; Musenga, A.; Sorrenti, M.; Catenacci, L.; Zecchi, V. Novel mucoadhesive nasal inserts based on chitosan/hyaluronate polyelectrolyte complexes for peptide and protein delivery. J. Pharm. Pharmacol. 2009, 61, 151–157. [Google Scholar] [CrossRef] [PubMed]
- Papadopoulou, V.; Kosmidis, K.; Vlachou, M.; Macheras, P. On the use of the Weibull function for the discernment of drug release mechanisms. Int. J. Pharm. 2006, 309, 44–50. [Google Scholar] [CrossRef] [PubMed]
- Kobryń, J.; Sowa, S.; Gasztych, M.; Dryś, A.; Musiał, W. Influence of Hydrophilic Polymers on the Factor in Weibull Equation Applied to the Release Kinetics of a Biologically Active Complex of Aesculus hippocastanum. Int. J. Polym. Sci. 2017, 2017, 3486384. [Google Scholar] [CrossRef]
- Ensslin, S.; Moll, K.P.; Metz, H.; Otz, M.; Mäder, K. Modulating pH-independent release from coated pellets: Effect of coating composition on solubilization processes and drug release. Eur. J. Pharm. Biopharm. 2009, 72, 111–118. [Google Scholar] [CrossRef] [PubMed]
- Abu-Huwaij, R.; Obaidat, R.M.; Sweidan, K.; Al-Hiari, Y. Formulation and in vitro evaluation of xanthan gum or carbopol 934-based mucoadhesive patches, loaded with nicotine. AAPS PharmSciTech 2011, 12, 21–27. [Google Scholar] [CrossRef] [PubMed]
- Kassem, M.A.; ElMeshad, A.N.; Fares, A.R. Lyophilized sustained release mucoadhesive chitosan sponges for buccal buspirone hydrochloride delivery: Formulation and in vitro evaluation. AAPS PharmSciTech 2015, 16, 537–547. [Google Scholar] [CrossRef] [PubMed]
- Abdelbary, G.A.; Tadros, M.I. Design and in vitro/in vivo evaluation of novel nicorandil extended release matrix tablets based on hydrophilic interpolymer complexes and a hydrophobic waxy polymer. Eur. J. Pharm. Biopharm. 2008, 69, 1019–1028. [Google Scholar] [CrossRef] [PubMed]
- Sahoo, D.; Sahoo, S.; Mohanty, P.; Sasmal, S.; Nayak, P. Chitosan: A new versatile bio-polymer for various applications. Des. Monomers Polym. 2009, 12, 377–404. [Google Scholar] [CrossRef]






| Run | Independent Variables | Responses (Dependent Variable) | Drug Content * (%) | Friability # (%) | Swelling Index * (%) | |||
|---|---|---|---|---|---|---|---|---|
| Anion Type X1 | Chitosan/Anion Ratio X2 | Maximum Detachment Force $ (N) | RE6h $ (%) | Td $ (h) | ||||
| F1 | Alg | 9:1 | 0.06 ± 0.010 | 73.62 ± 2.32 | 1.452 ± 0.65 | 102 ± 0.008 | 3.87 ± 1.46 | 191.24 ± 1.07 |
| F2 | Alg | 7:3 | 0.11 ± 0.020 | 79.21 ± 3.22 | 1.056 ± 0.89 | 101 ± 0.033 | 3.54 ± 1.22 | 208.81 ± 2.03 |
| F3 | Alg | 5:5 | 0.13 ± 0.010 | 56.46 ± 3.42 | 3.011 ± 1.22 | 98 ± 0.013 | 1.91 ± 1.49 | 215.98 ± 2.12 |
| F4 | Alg | 3:7 | 0.18 ± 0.030 | 65.38 ± 2.87 | 2.097 ± 1.34 | 91 ± 0.054 | 2.12 ± 2.81 | 201.83 ± 3.09 |
| F5 | Alg | 9:1 | 0.23 ± 0.050 | 69.51 ± 3.42 | 1.739 ± 0.87 | 98 ± 0.026 | 2.32 ± 2.01 | 215.98 ± 2.23 |
| F6 | XG | 9:1 | 0.021 ± 0.004 | 78.27 ± 3.54 | 1.153 ± 0.67 | 100 ± 0.023 | 6.34 ± 2.91 | 192.34 ± 2.42 |
| F7 | XG | 7:3 | 0.037 ± 0.004 | 77.63 ± 2.83 | 1.052 ± 0.86 | 93 ± 0.029 | 6.41 ± 4.96 | 209.61 ± 1.29 |
| F8 | XG | 5:5 | 0.042 ± 0.025 | 65.25 ± 3.26 | 2.024 ± 1.52 | 94 ± 0.011 | 2.12 ± 1.49 | 209.61 ± 1.34 |
| F9 | XG | 3:7 | 0.062 ± 0.003 | 71.60 ± 1.79 | 1.51 ± 1.13 | 95 ± 0.029 | 4.56 ± 2.51 | 199.92 ± 1.28 |
| F10 | XG | 9:1 | 0.080 ± 0.005 | 72.65 ± 2.98 | 1.391 ± 0.92 | 98 ± 0.040 | 4.28 ± 1.39 | 204.87 ± 1.73 |
| F11 | Carp | 9:1 | 0.038 ± 0.003 | 77.42 ± 2.37 | 1.224 ± 1.07 | 100 ± 0.023 | 3.23 ± 2.06 | 211.24 ± 1.39 |
| F12 | Carp | 7:3 | 0.048 ± 0.007 | 79.38 ± 3.42 | 1.129 ± 1.11 | 102 ± 0.057 | 3.12 ± 2.83 | 201.83 ± 1.78 |
| F13 | Carp | 5:5 | 0.079 ± 0.004 | 62.54 ± 1.97 | 2.321 ± 1.72 | 101 ± 0.013 | 2.16 ± 1.91 | 221.75 ± 2.05 |
| F14 | Carp | 3:7 | 0.080 ± 0.004 | 72.13 ± 3.71 | 1.505 ± 0.74 | 97 ± 0.062 | 2.45 ± 1.87 | 211.25 ± 1.49 |
| F15 | Carp | 9:1 | 0.098 ± 0.026 | 69.33 ± 2.36 | 1.687 ± 1.02 | 102 ± 0.018 | 2.34 ± 2.45 | 202.47 ± 2.91 |
| Time (day) | Control | Unloaded Insert | Fluconazole Loaded PEC Based Insert | Fluconazole Solution |
|---|---|---|---|---|
| T0 | 3.19 ± 3.03 | 2.8 ± 2.7 | 3.1 ± 2.9 | 2.79 ± 2.49 |
| T2 | 2.97 ± 2.71 | 2.49 ± 2.35 | 3.08 ± 2.8 | 2.74 ± 2.58 |
| T5 | 3.03 ± 3.17 | 2.19 ± 2.32 | 2.38 ± 2.2 | 2.99 ± 3.012 |
| T7 | 2.5 ± 2.12 | 2.71 ± 2.85 | - | 2.93 ± 2.75 |
| T21 | 1.87 ± 1.7 | 2.21 ± 2.83 | - | 2.62 ± 2.81 |
© 2018 by the authors. Licensee MDPI, Basel, Switzerland. This article is an open access article distributed under the terms and conditions of the Creative Commons Attribution (CC BY) license (http://creativecommons.org/licenses/by/4.0/).
Share and Cite
Darwesh, B.; Aldawsari, H.M.; Badr-Eldin, S.M. Optimized Chitosan/Anion Polyelectrolyte Complex Based Inserts for Vaginal Delivery of Fluconazole: In Vitro/In Vivo Evaluation. Pharmaceutics 2018, 10, 227. https://doi.org/10.3390/pharmaceutics10040227
Darwesh B, Aldawsari HM, Badr-Eldin SM. Optimized Chitosan/Anion Polyelectrolyte Complex Based Inserts for Vaginal Delivery of Fluconazole: In Vitro/In Vivo Evaluation. Pharmaceutics. 2018; 10(4):227. https://doi.org/10.3390/pharmaceutics10040227
Chicago/Turabian StyleDarwesh, Bayan, Hibah M. Aldawsari, and Shaimaa M. Badr-Eldin. 2018. "Optimized Chitosan/Anion Polyelectrolyte Complex Based Inserts for Vaginal Delivery of Fluconazole: In Vitro/In Vivo Evaluation" Pharmaceutics 10, no. 4: 227. https://doi.org/10.3390/pharmaceutics10040227
APA StyleDarwesh, B., Aldawsari, H. M., & Badr-Eldin, S. M. (2018). Optimized Chitosan/Anion Polyelectrolyte Complex Based Inserts for Vaginal Delivery of Fluconazole: In Vitro/In Vivo Evaluation. Pharmaceutics, 10(4), 227. https://doi.org/10.3390/pharmaceutics10040227

