Development and Evaluation of a Water Soluble Fluorometholone Eye Drop Formulation Employing Polymeric Micelle
Abstract
1. Introduction
2. Materials and Methods
2.1. Materials
2.2. Methods
2.2.1. Preparation of Solid Dispersions and Physical Mixture
2.2.2. Analytical Method
2.2.3. Characterization of Solid Dispersion
Particle Size Measurement
Encapsulation Efficiency (EE)
Differential Scanning Calorimetry (DSC)
Powder X-ray Diffraction
Fourier Transform Infrared Spectroscopy
Transmission Electron Microscopy Imaging
Measurement of Solubility of Fluorometholone
2.2.4. Ex Vivo Permeation Study
Imaging Study Using Coumarin-6 as a Fluorescent Probe
3. Results
3.1. Characterization of Solid Dispersion
3.1.1. Particle Size Measurement and Encapsulation Efficiency
3.1.2. Differential Scanning Calorimetry (DSC)
3.1.3. Powder X-ray Diffraction
3.1.4. Fourier Transform Infrared Spectroscopy
3.1.5. Transmission Electron Microscopy Imaging
3.1.6. Measurement of Solubility of Fluorometholone
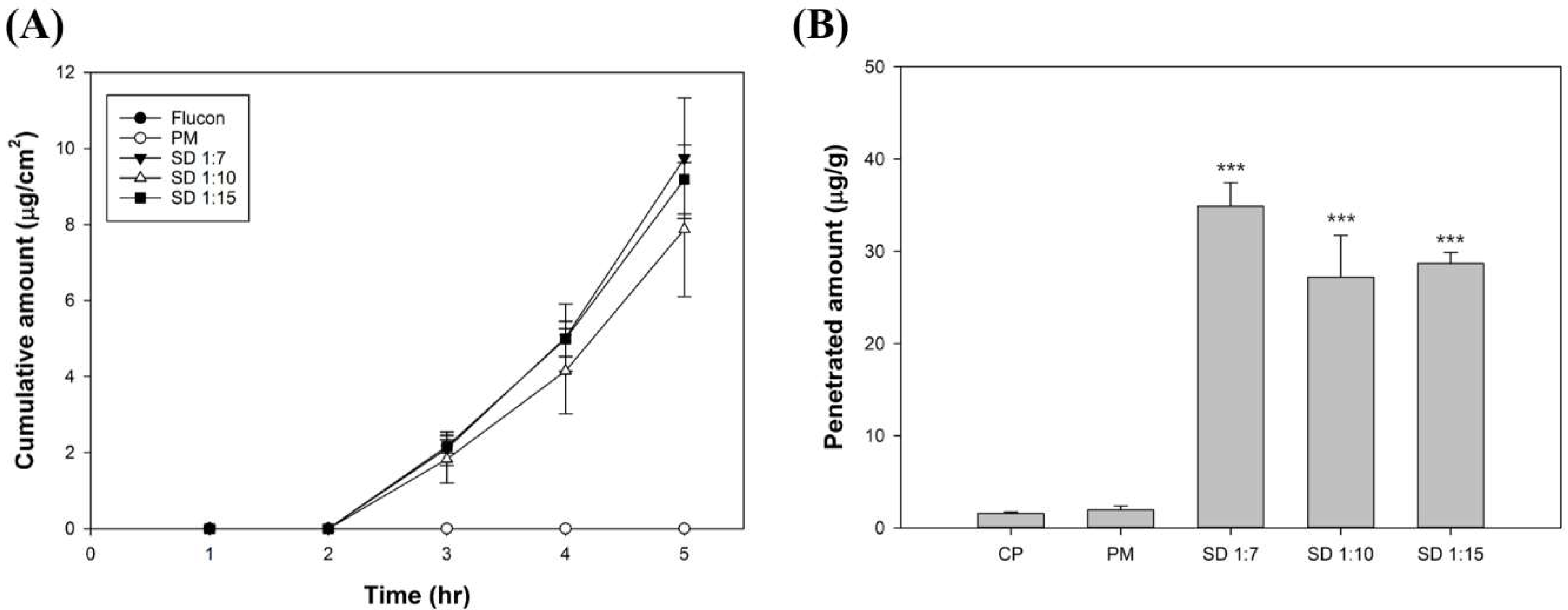
3.2. Ex Vivo Permeation Study
Imaging Study Using Coumarin-6 as a Fluorescent Probe
4. Discussion
5. Conclusions
Author Contributions
Funding
Conflicts of Interest
References
- Urtti, A. Challenges and obstacles of ocular pharmacokinetics and drug delivery. Adv. Drug Deliv. Rev. 2006, 58, 1131–1135. [Google Scholar] [CrossRef] [PubMed]
- Ruponen, M.; Urtti, A. Undefined role of mucus as a barrier in ocular drug delivery. Eur. J. Pharm. Biopharm. 2015, 96, 442–446. [Google Scholar] [CrossRef] [PubMed]
- Palani, S.; Joseph, N.M.; Goda, C.C.; Zachariah, A.; Ayenew, Z. Ocular drug delivery: A Review. Int. J. Pharm. Sci. Res. 2010, 1, 1–11. [Google Scholar]
- Gaudana, R.; Jwala, J.; Boddu, S.H.S.; Mitra, A.K. Recent perspectives in ocular drug delivery. Pharm. Res. 2009, 26, 1197. [Google Scholar] [CrossRef] [PubMed]
- Pflugfelder, S.C. Antiinflammatory therapy for dry eye. Am. J. Ophthalmol. 2004, 137, 337–342. [Google Scholar] [CrossRef] [PubMed]
- De Paiva, C.; Pflugfelder, S. Rationale for anti-inflammatory therapy in dry eye syndrome. Arq. Bras. Oftalmol. 2008, 71, 89–95. [Google Scholar] [CrossRef]
- Guttman, D.E.; Hamlin, W.E.; Shell, J.W.; Wagner, J.G. Solubilization of anti-inflammatory steroids by aqueous solutions of Triton WR−1339. J. Pharm. Sci. 1961, 50, 305–307. [Google Scholar] [CrossRef] [PubMed]
- Khadka, P.; Ro, J.; Kim, H.; Kim, I.; Kim, J.T.; Kim, H.; Cho, J.M.; Yun, G.; Lee, J. Pharmaceutical particle technologies: An approach to improve drug solubility, dissolution and bioavailability. Asian J. Pharm. Sci. 2014, 9, 304–316. [Google Scholar] [CrossRef]
- Prosperi-Porta, G.; Kedzior, S.; Muirhead, B.; Sheardown, H. Phenylboronic-acid-based polymeric micelles for mucoadhesive anterior segment ocular drug delivery. Biomacromolecules 2016, 17, 1449–1457. [Google Scholar] [CrossRef] [PubMed]
- Liu, S.; Jones, L.; Gu, F.X. Nanomaterials for ocular drug delivery. Macromol. Biosci. 2012, 12, 608–620. [Google Scholar] [CrossRef] [PubMed]
- Gaudana, R.; Ananthula, H.K.; Parenky, A.; Mitra, A.K. Ocular drug delivery. AAPS J. 2010, 12, 348–360. [Google Scholar] [CrossRef] [PubMed]
- Achouri, D.; Alhanout, K.; Piccerelle, P.; Andrieu, V. Recent advances in ocular drug delivery. Drug Dev. Ind. Pharm. 2013, 39, 1599–1617. [Google Scholar] [CrossRef] [PubMed]
- Araújo, J.; Gonzalez, E.; Egea, M.A.; Garcia, M.L.; Souto, E.B. Nanomedicines for ocular NSAIDs: Safety on drug delivery. Nanomed. Nanotechnol. Boil. Med. 2009, 5, 394–401. [Google Scholar] [CrossRef] [PubMed]
- Patel, A.; Cholkar, K.; Agrahari, V.; Mitra, A.K. Ocular drug delivery systems: An overview. World J. Pharmacol. 2013, 2, 47. [Google Scholar] [CrossRef] [PubMed]
- Cholkar, K.; Patel, S.P.; Vadlapudi, A.D.; Mitra, A.K. Novel strategies for anterior segment ocular drug delivery. J. Ocul. Pharmacol. Ther. 2013, 29, 106–123. [Google Scholar] [CrossRef] [PubMed]
- Loftsson, T.; Stefánsson, E. Cyclodextrins in eye drop formulations: Enhanced topical delivery of corticosteroids to the eye. Acta Ophthalmol. 2002, 80, 144–150. [Google Scholar] [CrossRef]
- Malaekeh-Nikouei, B.; Tabassi, S.A.S.; Ashari, H.; Gholamzadeh, A. Evaluation the effect of cyclodextrin complexation on aqueous solubility of fluorometholone to achieve ophthalmic solution. J. Incl. Phenom. Macrocycl. Chem. 2009, 65, 335. [Google Scholar] [CrossRef]
- Morita, Y.; Saino, H.; Tojo, K. Polymer blend implant for ocular delivery of fluorometholone. Boil. Pharm. Bull. 1998, 21, 72–75. [Google Scholar] [CrossRef]
- Reintjes, T. Solubility Enhancement with BASF Pharma Polymers: Solubilizer Compendium; BASF: Ludwigshafen, Germany, 2011. [Google Scholar]
- Mondon, K.; Zeisser-Labouèbe, M.; Gurny, R.; Möller, M. Novel Cyclosporin A Formulations Using MPEG–Hexyl-Substituted Polylactide Micelles: A Suitability Study. Eur. J. Pharm. Biopharm. 2011, 77, 56–65. [Google Scholar] [CrossRef] [PubMed]
- Bhuptani, R.S.; Jain, A.S.; Makhija, D.T.; Jagtap, A.G.; Hassan, P.A.R.; Nagarsenker, M.S. Soluplus Based Polymeric Micelles and Mixed Micelles of Lornoxicam: Design, Characterization and In vivo Efficacy Studies in Rats. Indian J. Pharm. Educ. Res. 2016, 50, 277–286. [Google Scholar]
- Nagy, Z.K.; Balogh, A.; Vajna, B.; Farkas, A.; Patyi, G.; Kramarics, Á.; Marosi, G. Comparison of electrospun and extruded Soluplus®-based solid dosage forms of improved dissolution. J. Pharm. Sci. 2012, 101, 322–332. [Google Scholar] [CrossRef] [PubMed]
- Linn, M.; Collnot, E.-M.; Djuric, D.; Hempel, K.; Fabian, E.; Kolter, K.; Lehr, C.-M. Soluplus® as an effective absorption enhancer of poorly soluble drugs in vitro and in vivo. Eur. J. Pharm. Sci. 2012, 45, 336–343. [Google Scholar] [CrossRef] [PubMed]
- Lee, D.H.; Yeom, D.W.; Song, Y.S.; Cho, H.R.; Choi, Y.S.; Kang, M.J.; Choi, Y.W. Improved oral absorption of dutasteride via Soluplus®-based supersaturable self-emulsifying drug delivery system (S-SEDDS). Int. J. Pharm. 2015, 478, 341–347. [Google Scholar] [CrossRef] [PubMed]
- Zhang, K.; Yu, H.; Luo, Q.; Yang, S.; Lin, X.; Zhang, Y.; Tian, B.; Tang, X. Increased dissolution and oral absorption of itraconazole/Soluplus extrudate compared with itraconazole nanosuspension. European J. Pharm. Biopharm. 2013, 85, 1285–1292. [Google Scholar] [CrossRef] [PubMed]
- Alvarez-Rivera, F.; Fernández-Villanueva, D.; Concheiro, A.; Alvarez-Lorenzo, C. α-Lipoic Acid in Soluplus® Polymeric Nanomicelles for Ocular Treatment of Diabetes-Associated Corneal Diseases. J. Pharm. Sci. 2016, 105, 2855–2863. [Google Scholar] [CrossRef] [PubMed]
- Li, M.; Xin, M.; Guo, C.; Lin, G.; Wu, X. New nanomicelle curcumin formulation for ocular delivery: improved stability, solubility, and ocular anti-inflammatory treatment. Drug Dev. Ind. Pharm. 2017, 43, 1846–1857. [Google Scholar] [CrossRef] [PubMed]
- Ran, C.; Chen, D.; Xu, M.; Du, C.; Li, Q.; Jiang, Y. A study on characteristic of different sample pretreatment methods to evaluate the entrapment efficiency of liposomes. J. Chromatogr. B 2016, 1028, 56–62. [Google Scholar] [CrossRef] [PubMed]
- Higuchi, T.K.A.C. A Phase-solubility techniques. Adv. Anal. Chem. Instrum. 1965, 4, 117–211. [Google Scholar]
- Ghosh, P.; Das, T.; Maity, A.; Mondal, S.; Purkayastha, P. Incorporation of Coumarin 6 in cyclodextrins: Microcrystals to lamellar composites. RSC Adv. 2015, 5, 4214–4218. [Google Scholar] [CrossRef]
- Chiou, W.L.; Riegelman, S. Pharmaceutical applications of solid dispersion systems. J. Pharm. Sci. 1971, 60, 1281–1302. [Google Scholar] [CrossRef] [PubMed]
- Vippagunta, S.R.; Maul, K.A.; Tallavajhala, S.; Grant, D.J.W. Solid-state characterization of nifedipine solid dispersions. Int. J. Pharm. 2002, 236, 111–123. [Google Scholar] [CrossRef]
- Yalkowsky, S.H.; Roseman, T.J. Techniques of Solubilization of Drugs; M. Dekker: New York, NY, USA, 1981. [Google Scholar]
- Guo, C.; Zhang, Y.; Yang, Z.; Li, M.; Li, F.; Cui, F.; Liu, T.; Shi, W.; Wu, X. Nanomicelle formulation for topical delivery of cyclosporine A into the cornea: In vitro mechanism and in vivo permeation evaluation. Sci. Rep. 2015, 5, 12968. [Google Scholar] [CrossRef]
- Ma, X.; Williams, R.O. Polymeric nanomedicines for poorly soluble drugs in oral delivery systems: An update. J. Pharm. Investig. 2018, 48, 61–75. [Google Scholar]
- Kozlov, M.Y.; Melik-Nubarov, N.S.; Batrakova, E.V.; Kabanov, A.V. Relationship between pluronic block copolymer structure, critical micellization concentration and partitioning coefficients of low molecular mass solutes. Macromolecules 2000, 33, 3305–3313. [Google Scholar] [CrossRef]
- Liu, X.; Feng, X.; Williams, R.O., III; Zhang, F. Characterization of amorphous solid dispersions. J. Pharm. Investig. 2018, 48, 19–41. [Google Scholar] [CrossRef]










| Classification | Types | General Description |
|---|---|---|
| Conventional systems | Topical liquid/solution eye drop | Immediately active Concentration rapidly decline after administration, following first order kinetics Various additives added: viscosity enhancers, permeation enhancers & cyclodextrins |
| Emulsion | Improvement in solubility & bioavailability Oil in water (o/w), water in oil (w/o) systems commercially exploited as vehicles for active pharmaceuticals o/w is common & widely preferred over w/o system. o/w has less irritation and better ocular tolerance | |
| Suspension | Dispersion of finely divided insoluble API in an aqueous solvent Suspension particles retain in precorneal pocket and improve drug contact time and duration of action relative to drug solution Dysgeusia, ocular irritation, nasopharyngitis adverse events were observed | |
| Ointment | Mixture of semisolid & solid hydrocarbon (paraffin) that has melting point at physiological ocular temperature (34 °C) Ointments help to improve ocular bioavailability and sustain the drug release | |
| Nano-Technology based systems | Nanomicelle | Most commonly used carrier systems to form API in to clear aqueous solutions Amphiphilic molecules like surfactants or polymer are used to form nanomicelle High drug encapsulation capability, ease of preparation, small size, hydrophilic nanomicellar corona forming aqueous solution Micellar formulation enhance bioavailability of API in ocular tissues |
| Nanoparticle | Colloidal carrieres containing size range of 10–1000 nm Nanoparticles can form nanocapsules or nanospheres Small size, leading to low irritation and sustained release property avoiding frequent administration | |
| Nanosuspension | Colloidal dispersion of submicron drug particles stabilized by polymers or surfactants Sterilization advantages, ease of eye drop formulation, less irritation, precorneal residence time increase and enhancement in ocular bioavailability for drugs insoluble in tear fluid. |
| Formulation | Particle Size (nm) | PDI | Encapsulation Efficiency (%) |
|---|---|---|---|
| Soluplus | 64.6 ± 1.3 | 0.016 ± 0.011 | NA |
| SD 1:7 | 102.3 ± 0.9 | 0.094 ± 0.029 | 99.63 ± 0.03 |
| SD 1:10 | 95.1 ± 0.6 | 0.096 ± 0.020 | 99.67 ± 0.02 |
| SD 1:15 | 74.9 ± 0.7 | 0.040 ± 0.004 | 99.72 ± 0.04 |
| PM | 225.3 ± 5.7 | 0.385 ± 0.006 | 1.48 ± 0.02 |
| CP | 2462.8 ± 190.0 | 0.220 ± 0.056 | NA |
| Formulation | Permeated Amount (μg/cm2) | Steady State Flux (μg/cm2·s) | Deposited Amount Per Gram of Porcine Corneal Tissue (μg/g) |
|---|---|---|---|
| CP | ND | ND | 1.56 ± 0.15 |
| PM | ND | ND | 1.94 ± 0.35 |
| SD 1:7 | 9.74 ± 1.29 | 3.82 ± 0.47 | 34.89 ± 2.08 |
| SD 1:10 | 8.98 ± 2.29 | 3.02 ± 0.47 | 28.89 ± 4.31 |
| SD 1:15 | 9.19 ± 0.74 | 3.51 ± 0.30 | 28.68 ± 0.98 |
© 2018 by the authors. Licensee MDPI, Basel, Switzerland. This article is an open access article distributed under the terms and conditions of the Creative Commons Attribution (CC BY) license (http://creativecommons.org/licenses/by/4.0/).
Share and Cite
Noh, G.; Keum, T.; Seo, J.-E.; Choi, J.; Rakesh, B.; Shrawani, L.; Park, B.; Choi, Y.W.; Lee, S. Development and Evaluation of a Water Soluble Fluorometholone Eye Drop Formulation Employing Polymeric Micelle. Pharmaceutics 2018, 10, 208. https://doi.org/10.3390/pharmaceutics10040208
Noh G, Keum T, Seo J-E, Choi J, Rakesh B, Shrawani L, Park B, Choi YW, Lee S. Development and Evaluation of a Water Soluble Fluorometholone Eye Drop Formulation Employing Polymeric Micelle. Pharmaceutics. 2018; 10(4):208. https://doi.org/10.3390/pharmaceutics10040208
Chicago/Turabian StyleNoh, Gyubin, Taekwang Keum, Jo-Eun Seo, Jaewoong Choi, Bastola Rakesh, Lamichhane Shrawani, Byoungduck Park, Young Wook Choi, and Sangkil Lee. 2018. "Development and Evaluation of a Water Soluble Fluorometholone Eye Drop Formulation Employing Polymeric Micelle" Pharmaceutics 10, no. 4: 208. https://doi.org/10.3390/pharmaceutics10040208
APA StyleNoh, G., Keum, T., Seo, J.-E., Choi, J., Rakesh, B., Shrawani, L., Park, B., Choi, Y. W., & Lee, S. (2018). Development and Evaluation of a Water Soluble Fluorometholone Eye Drop Formulation Employing Polymeric Micelle. Pharmaceutics, 10(4), 208. https://doi.org/10.3390/pharmaceutics10040208
