Analytical and Clinical Performance of the NeuMoDx™ Platform for Cytomegalovirus and Epstein–Barr Virus Viral Load Testing
Abstract
1. Introduction
2. Patients and Methods
2.1. Objectives
2.2. Study Design
2.2.1. Samples
2.2.2. Assays
2.3. Determining Analytical Sensitivity
2.4. Determining Clinical Performance
2.5. Data Analyses
| Assay | Plasma Input Volume (µL) | Target Gene(s) | LoD (IU/mL) | LLoQ (IU/mL) | ULoQ (IU/mL) | |
|---|---|---|---|---|---|---|
| CMV | NeuMoDx CMV Quant Assay a | 550 [10] | UL54 and UL71 [23] | For variant gB1: 17.5 Across genotypes: 20.0 [10] | 20.0 [10] | 8.0 log10 [10] |
| artus CMV QS-RGQ Kit b | 1200 [24] | MIE [20] | 69.7 [21] (converted from 42.5 copies/mL) | 1.30 × 102 [21] (converted from 79.4 copies/mL) | 1.64 × 108 [21] (converted from 1.00 × 108 copies/mL) | |
| EBV | NeuMoDx EBV Quant Assay c | 250 [11] | BALF5 and BXFL1 [23] | 200 [11] | 200 [11] | 8.0 log10 [11] |
| artus EBV QS-RGQ Kit b | 1200 [25] | EBNA-1 [26] | 22.29 [27] (converted from 157 copies/mL) | 8.96 × 101 [27] (converted from 631 copies/mL) | 1.42 × 106 [27] (converted from 1.00 × 107 copies/mL) |
3. Results
3.1. CMV Assay Comparison
3.1.1. Analytical Sensitivity and Performance Characteristics of the NeuMoDx CMV Quant Assay
3.1.2. Clinical Performance of the NeuMoDx CMV Quant Assay
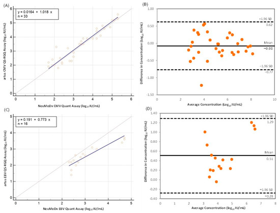
3.1.3. Correlation between the NeuMoDx CMV Quant Assay and the Artus CMV QS-RGQ Kit
3.2. EBV Assay Comparison
3.2.1. Analytical Sensitivity and Performance Characteristics of the NeuMoDx EBV Quant Assay
3.2.2. Clinical Performance of the NeuMoDx EBV Quant Assay
3.2.3. Correlation between the NeuMoDx EBV Quant Assay and the Artus EBV QS-RGQ Kit
4. Discussion
5. Conclusions
Supplementary Materials
Author Contributions
Funding
Institutional Review Board Statement
Informed Consent Statement
Data Availability Statement
Acknowledgments
Conflicts of Interest
References
- Cohen, J.I. Epstein-Barr virus infection. N. Engl. J. Med. 2000, 343, 481–492. [Google Scholar] [CrossRef] [PubMed]
- Griffiths, P.; Reeves, M. Pathogenesis of human cytomegalovirus in the immunocompromised host. Nat. Rev. Microbiol. 2021, 19, 759–773. [Google Scholar] [CrossRef] [PubMed]
- Fugl, A.; Andersen, C.L. Epstein-Barr virus and its association with disease—A review of relevance to general practice. BMC. Fam. Pract. 2019, 20, 62. [Google Scholar] [CrossRef] [PubMed]
- Marsh, R.A. Epstein-Barr virus and hemophagocytic lymphohistiocytosis. Front. Immunol. 2017, 8, 1902. [Google Scholar] [CrossRef] [PubMed]
- Nogalski, M.T.; Collins-McMillen, D.; Yurochko, A.D. Overview of human cytomegalovirus pathogenesis. Methods. Mol. Biol. 2014, 1119, 15–28. [Google Scholar] [PubMed]
- Razonable, R.R.; Humar, A. Cytomegalovirus in solid organ transplant recipients-Guidelines of the American Society of Transplantation Infectious Diseases Community of Practice. Clin. Transpl. 2019, 33, e13512. [Google Scholar] [CrossRef] [PubMed]
- Ljungman, P.; Boeckh, M.; Hirsch, H.H.; Josephson, F.; Lundgren, J.; Nichols, G.; Pikis, A.; Razonable, R.R.; Miller, V.; Griffiths, P.D. Definitions of cytomegalovirus infection and disease in transplant patients for use in clinical trials. Clin. Infect. Dis. 2017, 64, 87–91. [Google Scholar] [PubMed]
- Styczynski, J.; van der Velden, W.; Fox, C.P.; Engelhard, D.; de la Camara, R.; Cordonnier, C.; Ljungman, P. Management of Epstein-Barr Virus infections and post-transplant lymphoproliferative disorders in patients after allogeneic hematopoietic stem cell transplantation: Sixth European Conference on Infections in Leukemia (ECIL-6) guidelines. Haematologica 2016, 101, 803–811. [Google Scholar] [CrossRef] [PubMed]
- Baron, A.; Gicquel, A.; Plantier, J.C.; Gueudin, M. Evaluation of four commercial extraction-quantification systems to monitor EBV or CMV viral load in whole blood. J. Clin. Virol. 2019, 113, 39–44. [Google Scholar] [CrossRef]
- NeuMoDx CMV Quant Test Strip: Instructions for Use. Available online: https://www.neumodx.com/wp-content/uploads/2020/09/IFU_201400_NeuMoDx%E2%84%A2-CMV-Quant-Test-Strip_40600165_D_US-Export.pdf (accessed on 31 May 2022).
- NeuMoDx EBV Quant Test Strip: Instructions for Use. Available online: https://www.neumodx.com/wp-content/uploads/2021/07/IFU_201500_NeuMoDx%E2%84%A2-EBV-Quant-Test-Strip_40600294_E_US-Export.pdf (accessed on 31 May 2022).
- Panther® System. Available online: https://www.hologic.com/hologic-products/diagnostic-solutions/panther-system (accessed on 31 May 2022).
- Roh, J.; Kim, S.; Kwak, E.; Park, J.; Park, Y. Performance evaluation of the Roche cobas 6800 system for quantifying cytomegalovirus DNA in plasma and urine samples. J. Clin. Virol. 2021, 138, 104816. [Google Scholar] [CrossRef]
- Cobas® CMV. Available online: https://diagnostics.roche.com/global/en/products/params/cobas-cmv.html (accessed on 31 May 2022).
- Jones, S.; Webb, E.M.; Barry, C.P.; Choi, W.S.; Abravaya, K.B.; Schneider, G.J.; Ho, S.Y.; McAdam, A.J. Commutability of cytomegalovirus WHO International Standard in different matrices. J. Clin. Microbiol. 2016, 54, 1512–1519. [Google Scholar] [CrossRef]
- Hayden, R.T.; Gu, Z.; Sam, S.S.; Sun, Y.; Tang, L.; Pounds, S.; Caliendo, A.M. Comparative evaluation of three commercial quantitative cytomegalovirus standards by use of digital and real-time PCR. J. Clin. Microbiol. 2015, 53, 1500–1505. [Google Scholar] [CrossRef] [PubMed]
- Abeynayake, J.; Johnson, R.; Libiran, P.; Sahoo, M.K.; Cao, H.; Bowen, R.; Chan, K.C.; Le, Q.T.; Pinsky, B.A. Commutability of the Epstein-Barr virus WHO international standard across two quantitative PCR methods. J. Clin. Microbiol. 2014, 52, 3802–3804. [Google Scholar] [CrossRef] [PubMed]
- Burd, E.M. Validation of laboratory-developed molecular assays for infectious diseases. Clin. Microbiol. Rev. 2010, 23, 550–576. [Google Scholar] [CrossRef]
- Artus® EBV QS-RGQ Kit Handbook. Version 1. Available online: https://www.qiagen.com/se/resources/resourcedetail?id=8fc43e2b-7556-4e80-8195-dc5ed09265de&lang=en (accessed on 31 May 2022).
- Artus® CMV QS-RGQ MDx Kit Instructions for Use (Handbook). Version 1. Available online: https://www.qiagen.com/us/products/diagnostics-and-clinical-research/transplant/artus-viral-load/artus-cmv-qs-rgq-mdx-kit-us/ (accessed on 31 May 2022).
- Artus® CMV QS-RGQ Kit: Performance characteristics. Available online: https://www.qiagen.com/us/resources/download.aspx?id=a3109307-fcaa-4b3a-a85e-2fd1ac1340b2&lang=en (accessed on 31 May 2022).
- Swinscow, T.D.V. Chapter 4. Statements of probability and confidence intervals. In Statistics at Square One, 9th ed.; Swinscow, T.D.V., Ed.; BMJ Publishing Group: London, UK, 1997. [Google Scholar]
- Mourik, K.; Boers, S.A.; van Rijn, A.L.; Thijssen, J.C.P.; Doorn, R.; Svraka, S.; Bart, A.; Wessels, E.; Claas, E.C.J.; Nijhuis, R.H.T. Evaluation of the sample-to-result, random access NeuMoDx platform for viral load testing of Cytomegalovirus and Epstein Barr virus in clinical specimens. J. Clin. Virol. 2022, 149, 105122. [Google Scholar] [CrossRef] [PubMed]
- QIAsymphony® RGQ Application Sheet: Artus® CMV QS-RGQ Kit (Sample Type: Plasma). Available online: https://www.qiagen.com/ie/resources/download.aspx?id=639e088a-c352-49ff-af84-f1e11baf5329&lang=en (accessed on 31 May 2022).
- QIAsymphony® RGQ Application Sheet: Artus® EBV QS-RGQ Kit (Sample Type: Plasma). Available online: https://www.qiagen.com/kr/resources/download.aspx?id=64f15390-5790-4a41-a842-619a292d5a29&lang=en (accessed on 31 May 2022).
- Artus EBV PCR Kits, CE. Available online: https://www.qiagen.com/gb/products/diagnostics-and-clinical-research/transplant/artus-viral-load/artus-ebv-pcr-kits-ce/ (accessed on 31 May 2022).
- Artus® EBV QS-RGQ Kit: Performance Characteristics. Version 1. Available online: https://www.qiagen.com/mg/resources/download.aspx?id=c5c5d9ff-1ebf-47ae-af82-9c87cf5e0bfa&lang=en (accessed on 31 May 2022).
- Lay, M.-L.J.; Lucas, R.M.; Ratnamohan, M.; Taylor, J.; Ponsonby, A.-L.; Dwyer, D.E.; the Ausimmune Investigator Group (AIG). Measurement of Epstein-Barr virus DNA load using a novel quantification standard containing two EBV DNA targets and SYBR Green I dye. Virol. J. 2010, 7, 252. [Google Scholar] [CrossRef] [PubMed]
- Herdina, A.N.; Ratzinger, F.; Breuer, M.; Schellnegger, J.; Chen, R.Q.; Watkins-Riedel, T.; Perkmann-Nagele, N.; Strassl, R. Performance Evaluation of the Fully Automated NeuMoDx RT-PCR Platform for the Quantification of CMV and EBV DNA in EDTA Plasma: Implications for Clinical Management and Establishment of a Conversion Formula. Microbiol. Spectr. 2022, 10, e0215722. [Google Scholar] [CrossRef] [PubMed]
- Luciani, L.; Mongin, D.; Ninove, L.; Nougairède, A.; Bardy, K.; Gazin, C.; Charrel, R.N.; Zandotti, C. Cytomegalovirus viral load in transplanted patients using the NeuMoDx™ (Qiagen) automated system: A 1-month experience feedback. Viruses 2021, 13, 1619. [Google Scholar] [CrossRef] [PubMed]
- Mayer, F.J.; Ratzinger, F.; Schmidt, R.L.J.; Greiner, G.; Landt, O.; Am Ende, A.; Corman, V.M.; Perkmann-Nagele, N.; Watkins-Riedel, T.; Petermann, D.; et al. Development of a fully automated high throughput PCR for the detection of SARS-CoV-2: The need for speed. Virulence 2020, 11, 964–967. [Google Scholar] [CrossRef]
- Hayden, R.T.; Tang, L.; Su, Y.; Cook, L.; Gu, Z.; Jerome, K.R.; Boonyaratanakornkit, J.; Sam, S.; Pounds, S.; Caliendo, A.M. Impact of fragmentation on commutability of Epstein-Barr virus and cytomegalovirus quantitative standards. J. Clin. Microbiol. 2019, 58, e00888-19. [Google Scholar] [CrossRef]
- Preiksaitis, J.K.; Hayden, R.T.; Tong, Y.; Pang, X.L.; Fryer, J.F.; Heath, A.B.; Cook, L.; Petrich, A.K.; Yu, B.; Caliendo, A.M. Are we there yet? Impact of the first International Standard for cytomegalovirus DNA on the harmonization of results reported on plasma samples. Clin. Infect. Dis. 2016, 63, 583–589. [Google Scholar] [CrossRef] [PubMed]
- Mateas, P.; Lunds, C.; Oiullette, L.; Foler, H.; Mastronadi, M.; Malhotra, K. Performance Characteristics of an Improved, Fully Automated, Random-Access Epstein-Barr Virus (EBV) qPCR Assay for Monitoring EBV DNA in Plasma; Poster P1097; European Society of Clinical Microbiology and Infectious Diseases (ECCMID): Lisbon, Portugal, 2022. [Google Scholar]

| Artus CMV QS-RGQ Kit | |||||
|---|---|---|---|---|---|
| ≥69.7 IU/mL a | <69.7 IU/mL a | Not Detected | Total | ||
| NeuMoDx CMV Quant Assay | ≥20.0 IU/mL b | 33 | 15 c | 5 d | 53 |
| <20.0 IU/mL b | 0 | 1 | 1 | 2 | |
| Not detected | 0 | 6 | 14 | 20 | |
| Total | 33 | 22 | 20 | 75 | |
| Artus EBV QS-RGQ Kit | |||||
| ≥22.29 IU/mL a | <22.29 IU/mL a | Not detected | Total | ||
| NeuMoDx EBV Quant Assay | ≥200 IU/mL b | 16 | 0 | 0 | 16 |
| <200 IU/mL b | 2 e | 6 | 1 | 9 | |
| Not detected | 0 | 12 | 38 | 50 | |
| Total | 18 | 18 | 39 | 75 | |
Disclaimer/Publisher’s Note: The statements, opinions and data contained in all publications are solely those of the individual author(s) and contributor(s) and not of MDPI and/or the editor(s). MDPI and/or the editor(s) disclaim responsibility for any injury to people or property resulting from any ideas, methods, instructions or products referred to in the content. |
© 2024 by the authors. Licensee MDPI, Basel, Switzerland. This article is an open access article distributed under the terms and conditions of the Creative Commons Attribution (CC BY) license (https://creativecommons.org/licenses/by/4.0/).
Share and Cite
Coupland, L.; Woodward, K.; Dervisevic, S.; Hale, R.; Brolly, S. Analytical and Clinical Performance of the NeuMoDx™ Platform for Cytomegalovirus and Epstein–Barr Virus Viral Load Testing. Viruses 2024, 16, 671. https://doi.org/10.3390/v16050671
Coupland L, Woodward K, Dervisevic S, Hale R, Brolly S. Analytical and Clinical Performance of the NeuMoDx™ Platform for Cytomegalovirus and Epstein–Barr Virus Viral Load Testing. Viruses. 2024; 16(5):671. https://doi.org/10.3390/v16050671
Chicago/Turabian StyleCoupland, Lindsay, Katy Woodward, Samir Dervisevic, Rachel Hale, and Stephen Brolly. 2024. "Analytical and Clinical Performance of the NeuMoDx™ Platform for Cytomegalovirus and Epstein–Barr Virus Viral Load Testing" Viruses 16, no. 5: 671. https://doi.org/10.3390/v16050671
APA StyleCoupland, L., Woodward, K., Dervisevic, S., Hale, R., & Brolly, S. (2024). Analytical and Clinical Performance of the NeuMoDx™ Platform for Cytomegalovirus and Epstein–Barr Virus Viral Load Testing. Viruses, 16(5), 671. https://doi.org/10.3390/v16050671

