Monitoring of Sotrovimab-Levels as Pre-Exposure Prophylaxis in Kidney Transplant Recipients Not Responding to SARS-CoV-2 Vaccines
Abstract
1. Introduction
2. Materials and Methods
2.1. Patients
2.2. Live-Virus Neutralization Test
2.3. Surrogate Virus Neutralization Tests (sVNTs)
2.4. Anti-Spike Immunoassays
2.5. Statistical Analysis
3. Results
3.1. Omicron BA1 and BA2 Neutralization Titers for Serum Samples after Sotrovimab Infusion
3.2. Kinetics of Anti-Spike Antibodies Quantified in BAU/mL
3.3. Antibody Kinetics as Measured by Surrogate Virus Neutralization Tests
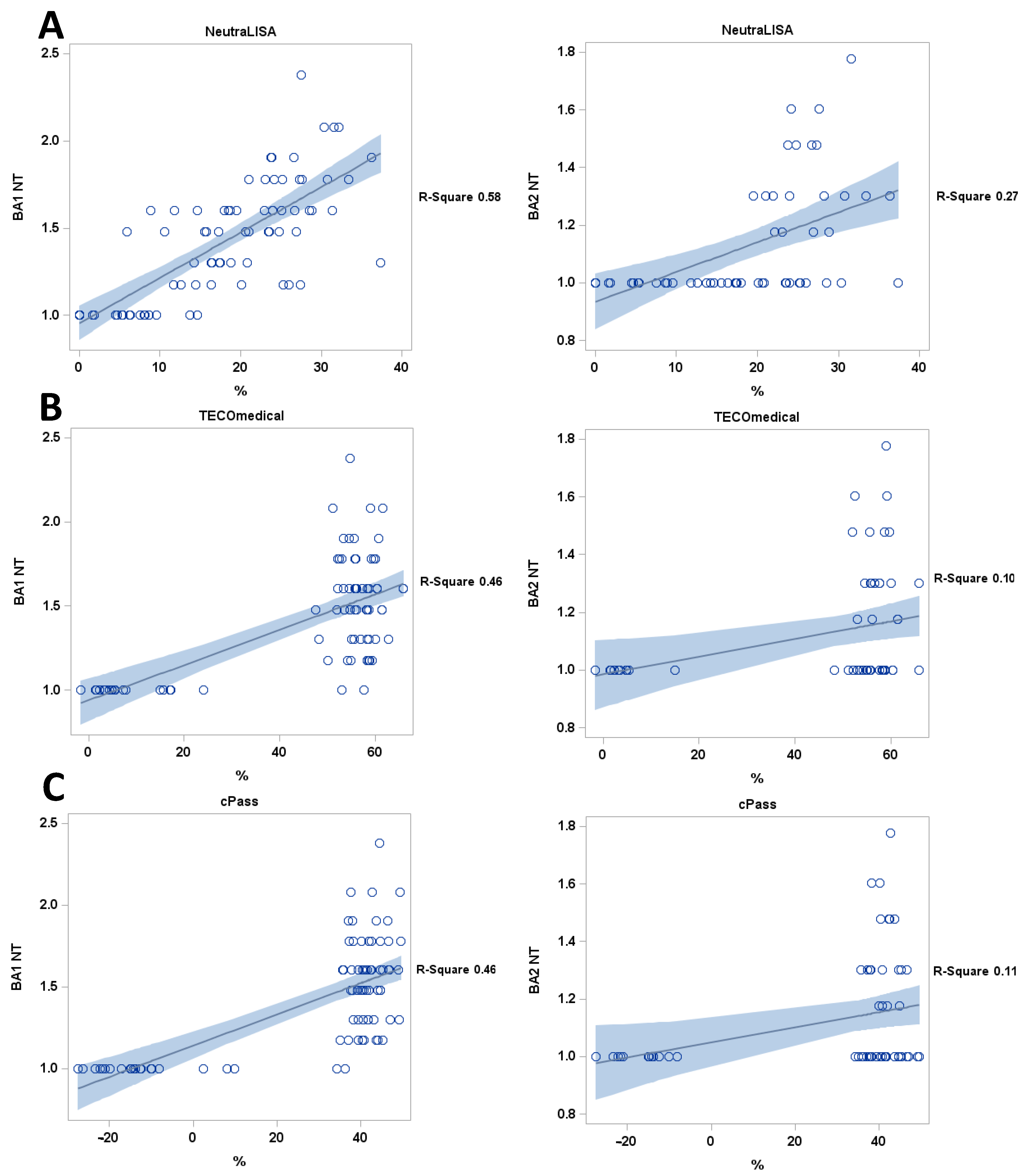
3.4. Correlation of Titers of Neutralizing Antibodies with Levels of Commercial Assays
3.5. Cut-Off Levels of Antibody Measurements and Live-Virus Neutralization
4. Discussion
Author Contributions
Funding
Institutional Review Board Statement
Informed Consent Statement
Data Availability Statement
Acknowledgments
Conflicts of Interest
References
- Graña, C.; Ghosn, L.; Evrenoglou, T.; Jarde, A.; Minozzi, S.; Bergman, H.; Buckley, B.S.; Probyn, K.; Villanueva, G.; Henschke, N. Efficacy and safety of COVID-19 vaccines. Cochrane Database Syst. Rev. 2022, 12, CD015477. [Google Scholar]
- Cowan, M.; Chon, W.J.; Desai, A.; Andrews, S.; Bai, Y.; Veguilla, V.; Katz, J.M.; Josephson, M.A.; Wilson, P.C.; Sciammas, R.; et al. Impact of Immunosuppression on Recall Immune Responses to Influenza Vaccination in Stable Renal Transplant Recipients. Transplantation 2014, 97, 846–853. [Google Scholar] [CrossRef] [PubMed]
- Reindl-Schwaighofer, R.; Heinzel, A.; Mayrdorfer, M.; Jabbour, R.; Hofbauer, T.M.; Merrelaar, A.; Eder, M.; Regele, F.; Doberer, K.; Spechtl, P.; et al. Comparison of SARS-CoV-2 Antibody Response 4 Weeks After Homologous vs Heterologous Third Vaccine Dose in Kidney Transplant Recipients: A Randomized Clinical Trial. JAMA Intern. Med. 2022, 182, 165–171. [Google Scholar] [CrossRef] [PubMed]
- Akinosoglou, K.; Rigopoulos, E.-A.; Kaiafa, G.; Daios, S.; Karlafti, E.; Ztriva, E.; Polychronopoulos, G.; Gogos, C.; Savopoulos, C. Tixagevimab/Cilgavimab in SARS-CoV-2 Prophylaxis and Therapy: A Comprehensive Review of Clinical Experience. Viruses 2022, 15, 118. [Google Scholar] [CrossRef] [PubMed]
- Sotrovimab: First Approval—PubMed. Available online: https://pubmed.ncbi.nlm.nih.gov/35286623/ (accessed on 18 April 2023).
- Totschnig, D.; Augustin, M.; Niculescu, I.; Laferl, H.; Jansen-Skoupy, S.; Lehmann, C.; Wenisch, C.; Zoufaly, A. SARS-CoV-2 Pre-Exposure Prophylaxis with Sotrovimab and Tixagevimab/Cilgavimab in Immunocompromised Patients-A Single-Center Experience. Viruses 2022, 14, 2278. [Google Scholar] [CrossRef] [PubMed]
- Gupta, A.; Gonzalez-Rojas, Y.; Juarez, E.; Crespo Casal, M.; Moya, J.; Rodrigues Falci, D.; Sarkis, E.; Solis, J.; Zheng, H.; Scott, N.; et al. Effect of Sotrovimab on Hospitalization or Death Among High-risk Patients With Mild to Moderate COVID-19, A Randomized Clinical Trial. JAMA 2022, 327, 1236–1246. [Google Scholar] [CrossRef] [PubMed]
- Stiasny, K.; Weseslindtner, L.; Heinzel, A.; Camp, J.V.; Oberbauer, R.; Reindl-Schwaighofer, R. SARS-CoV-2 Omicron BA.1/BA.2 Neutralization up to 8 Weeks After PrEP With Sotrovimab or Cilgavimab/Tixagevimab. Transpl. Int. 2022, 35, 10906. [Google Scholar] [CrossRef]
- Aggarwal, N.R.; Beaty, L.E.; Bennett, T.D.; Carlson, N.E.; Mayer, D.A.; Molina, K.C.; Peers, J.L.; Russell, S.; Wynia, M.K.; Ginde, A.A. Change in effectiveness of sotrovimab for preventing hospitalization and mortality for at-risk COVID-19 outpatients during an Omicron BA.1 and BA.1.1-predominant phase. Int. J. Infect. Dis. 2023, 128, 310–317. [Google Scholar] [CrossRef]
- Cox, M.; Peacock, T.P.; Harvey, W.T.; Hughes, J.; Wright, D.W.; Willett, B.J.; Thomson, E.; Gupta, R.K.; Peacock, S.J.; Robertson, D.L. SARS-CoV-2 variant evasion of monoclonal antibodies based on in vitro studies. Nat. Rev. Microbiol. 2023, 21, 112–124. [Google Scholar] [CrossRef]
- Graninger, M.; Jani, C.M.; Reuberger, E.; Prüger, K.; Gaspar, P.; Springer, D.N.; Borsodi, C.; Weidner, L.; Rabady, S.; Puchhammer-Stöckl, E.; et al. Comprehensive Comparison of Seven SARS-CoV-2-Specific Surrogate Virus Neutralization and Anti-Spike IgG Antibody Assays Using a Live-Virus Neutralization Assay as a Reference. Microbiol. Spectr. 2023, 11, e0231422. [Google Scholar] [CrossRef]
- Kohmer, N.; Rühl, C.; Ciesek, S.; Rabenau, H.F. Utility of Different Surrogate Enzyme-Linked Immunosorbent Assays (sELISAs) for Detection of SARS-CoV-2 Neutralizing Antibodies. J. Clin. Med. 2021, 10, 2128. [Google Scholar] [CrossRef] [PubMed]
- Krüttgen, A.; Lauen, M.; Klingel, H.; Imöhl, M.; Kleines, M. Two novel SARS-CoV-2 surrogate virus neutralization assays are suitable for assessing successful immunization with mRNA-1273. J. Virol. Methods 2022, 299, 114297. [Google Scholar] [CrossRef] [PubMed]
- Münsterkötter, L.; Hollstein, M.M.; Hahn, A.; Kröger, A.; Schnelle, M.; Erpenbeck, L.; Groß, U.; Frickmann, H.; Zautner, A.E. Comparison of the Anti-SARS-CoV-2 Surrogate Neutralization Assays by TECOmedical and DiaPROPH-Med with Samples from Vaccinated and Infected Individuals. Viruses 2022, 14, 315. [Google Scholar] [CrossRef] [PubMed]
- Medits, I.; Springer, D.N.; Graninger, M.; Camp, J.V.; Höltl, E.; Aberle, S.W.; Traugott, M.T.; Hoepler, W.; Deutsch, J.; Lammel, O.; et al. Different Neutralization Profiles After Primary SARS-CoV-2 Omicron BA.1 and BA.2 Infections. Front. Immunol. 2022, 13, 946318. [Google Scholar] [CrossRef]
- Lau, E.H.Y.; Tsang, O.T.Y.; Hui, D.S.C.; Kwan, M.Y.W.; Chan, W.; Chiu, S.S.; Ko, R.L.; Chan, K.H.; Cheng, S.M.; Perera, R.A. Neutralizing antibody titres in SARS-CoV-2 infections. Nat. Commun. 2021, 12, 63. [Google Scholar] [CrossRef] [PubMed]
- Buchta, C.; Springer, D.; Jovanovic, J.; Borsodi, C.; Weidner, L.; Sareban, N.; Radler, U.; Müller, M.M.; Griesmacher, A.; Puchhammer-Stöckl, E. Three rounds of a national external quality assessment reveal a link between disharmonic anti-SARS-CoV-2 antibody quantifications and the infection stage. Clin. Chem. Lab. Med. 2023, 61, 1349–1358. [Google Scholar] [CrossRef]
- Perkmann, T.; Perkmann-Nagele, N.; Koller, T.; Mucher, P.; Radakovics, A.; Marculescu, R.; Wolzt, M.; Wagner, O.F.; Binder, C.J. Anti-Spike Protein Assays to Determine SARS-CoV-2 Antibody Levels: A Head-to-Head Comparison of Five Quantitative Assays. Microbiol. Spectr. 2021, 9, e0024721. [Google Scholar] [CrossRef]
- Van Loghem, J.J.; Kresner, M.; Coombs, R.R.A.; Fulton Roberts, G. Observations on a prozone phenomenon encountered in using the anti-globulin sensitisation test. Lancet 1950, 256, 729–732. [Google Scholar] [CrossRef]
- Magnus, C.L.; Hiergeist, A.; Schuster, P.; Rohrhofer, A.; Medenbach, J.; Gessner, A.; Peterhoff, D.; Schmidt, B. Targeted escape of SARS-CoV-2 in vitro from monoclonal antibody S309, the precursor of sotrovimab. Front. Immunol. 2022, 13, 966236. [Google Scholar] [CrossRef]
- Springer, D.N.; Perkmann, T.; Jani, C.M.; Mucher, P.; Prüger, K.; Marculescu, R.; Reuberger, E.; Camp, J.V.; Graninger, M.; Borsodi, C. Reduced Sensitivity of Commercial Spike-Specific Antibody Assays after Primary Infection with the SARS-CoV-2 Omicron Variant. Microbiol. Spectr. 2022, 10, e0212922. [Google Scholar] [CrossRef]
- Touret, F.; Baronti, C.; Pastorino, B.; Villarroel, P.M.S.; Ninove, L.; Nougairède, A.; de Lamballerie, X. In vitro activity of therapeutic antibodies against SARS-CoV-2 Omicron BA.1, BA.2 and BA.5. Sci. Rep. 2022, 12, 12609. [Google Scholar] [CrossRef]
- Corey, L.; Beyrer, C.; Cohen, M.S.; Michael, N.L.; Bedford, T.; Rolland, M. SARS-CoV-2 variants in immunosuppressed individuals. N. Engl. J. Med. 2021, 385, 562–566. [Google Scholar] [CrossRef] [PubMed]
- Bruel, T.; Vrignaud, L.L.; Porrot, F.; Staropoli, I.; Planas, D.; Guivel-Benhassine, F.; Puech, J.; Prot, M.; Munier, S.; Bolland, W.H. Antiviral activities of sotrovimab against BQ.1.1 and XBB.1.5 in sera of treated patients. medRxiv 2023, medRxiv:2023.05.25.23290512. [Google Scholar]
- Touret, F.; Giraud, E.; Bourret, J.; Donati, F.; Tran-Rajau, J.; Chiaravalli, J.; Lemoine, F.; Agou, F.; Simon-Loriere, E.; Van Der Werf, S. Enhanced neutralization escape to therapeutic monoclonal antibodies by SARS-CoV-2 Omicron sub-lineages. biorxiv 2022, biorxiv:2022.12.22.521201. [Google Scholar] [CrossRef] [PubMed]
- University of Oxford. Randomised Evaluation of COVID-19 Therapy. Clinical Trial Registration 2023. Available online: https://clinicaltrials.gov/study/NCT04381936?tab=results (accessed on 19 March 2020).






| Patient Characteristics | |
|---|---|
| Age (years) | 60.5 (41–76) |
| Sex (female) | 12 (60%) |
| Number of previous vaccine doses (n) | 3 (3–4) |
| Immunosuppression | |
| CNI + MPA +S teroids | 16 (80%) |
| Belatacept + MPA + Steroids | 4 (20%) |
| TX vintage (years) | 3.5 (1–22) |
| Number of previous transplantations (n) | 1 (1–3) |
Disclaimer/Publisher’s Note: The statements, opinions and data contained in all publications are solely those of the individual author(s) and contributor(s) and not of MDPI and/or the editor(s). MDPI and/or the editor(s) disclaim responsibility for any injury to people or property resulting from any ideas, methods, instructions or products referred to in the content. |
© 2023 by the authors. Licensee MDPI, Basel, Switzerland. This article is an open access article distributed under the terms and conditions of the Creative Commons Attribution (CC BY) license (https://creativecommons.org/licenses/by/4.0/).
Share and Cite
Aschauer, C.; Heinzel, A.; Stiasny, K.; Borsodi, C.; Hu, K.; Koholka, J.; Winnicki, W.; Kainz, A.; Haslacher, H.; Oberbauer, R.; et al. Monitoring of Sotrovimab-Levels as Pre-Exposure Prophylaxis in Kidney Transplant Recipients Not Responding to SARS-CoV-2 Vaccines. Viruses 2023, 15, 1624. https://doi.org/10.3390/v15081624
Aschauer C, Heinzel A, Stiasny K, Borsodi C, Hu K, Koholka J, Winnicki W, Kainz A, Haslacher H, Oberbauer R, et al. Monitoring of Sotrovimab-Levels as Pre-Exposure Prophylaxis in Kidney Transplant Recipients Not Responding to SARS-CoV-2 Vaccines. Viruses. 2023; 15(8):1624. https://doi.org/10.3390/v15081624
Chicago/Turabian StyleAschauer, Constantin, Andreas Heinzel, Karin Stiasny, Christian Borsodi, Karin Hu, Jolanta Koholka, Wolfgang Winnicki, Alexander Kainz, Helmuth Haslacher, Rainer Oberbauer, and et al. 2023. "Monitoring of Sotrovimab-Levels as Pre-Exposure Prophylaxis in Kidney Transplant Recipients Not Responding to SARS-CoV-2 Vaccines" Viruses 15, no. 8: 1624. https://doi.org/10.3390/v15081624
APA StyleAschauer, C., Heinzel, A., Stiasny, K., Borsodi, C., Hu, K., Koholka, J., Winnicki, W., Kainz, A., Haslacher, H., Oberbauer, R., Reindl-Schwaighofer, R., & Weseslindtner, L. (2023). Monitoring of Sotrovimab-Levels as Pre-Exposure Prophylaxis in Kidney Transplant Recipients Not Responding to SARS-CoV-2 Vaccines. Viruses, 15(8), 1624. https://doi.org/10.3390/v15081624

