Current Status and Challenges in Anti-Hepatitis B Virus Agents Based on Inactivation/Inhibition or Elimination of Hepatitis B Virus Covalently Closed Circular DNA
Abstract
1. Introduction
2. Silence or Elimination of HBV cccDNA
2.1. Small Molecules for Epigenetically Silencing HBV cccDNA
2.1.1. Rapamycin
2.1.2. Dicoumarol
2.1.3. GS-080 and GS-5801
2.2. Small Molecules for Suppressing HBV cccDNA
2.2.1. CCC_R08
2.2.2. CCC-0975 and CCC-0346
2.2.3. Junceellolide C and Junceellolide B
2.2.4. Compound 59
2.2.5. Epigallocatechin Gallate (EGCG)
2.2.6. Ivermectin
2.2.7. 1-[3-(4-Tert-butylcyclohexyl)oxy-2-hydroxypropyl]-2,2,6,6-tetramethylpiperidin-4-ol
2.2.8. NJK14047
2.2.9. 3,4-di-O-CQA and 3,5-di-O-CQA
2.2.10. ABI-H2158
2.2.11. Pimobendan (Pim)
2.2.12. ABI-H0731
2.2.13. UCN-01
2.2.14. AZD-5438
2.2.15. Tazarotene
2.2.16. Peretinoin
2.2.17. Curcumin
2.2.18. Punicalagin, Punicalin, and Geraniin
2.2.19. Osalmid and YZ51
2.2.20. Irbesartan
2.2.21. MLN4924
2.2.22. Rnase H Inhibitors 110, 1133, and 1073
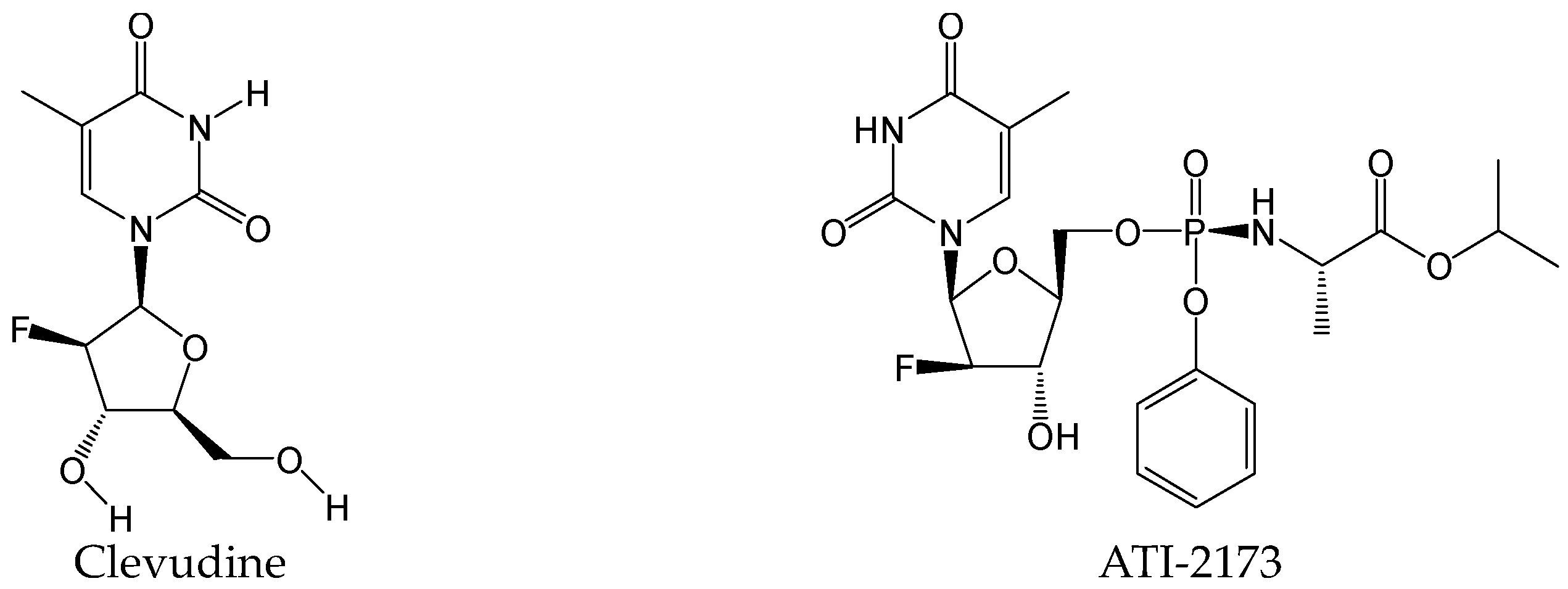
2.2.23. Clevudine and ATI-2173
2.2.24. HAP_R01
2.2.25. FIT-039
2.2.26. Olaparib
2.2.27. Vonafexor (EYP001)
2.2.28. Nitazoxanide and Tizoxanide
2.3. Polypeptides/Proteins for Inhibiting HBV cccDNA
2.3.1. Bulevirtide (MyrcludexB/Hepcludex)
2.3.2. Pam3SCK4
2.3.3. IFN-α, IFN-β, and IFN-γ
2.3.4. ISG20
2.3.5. MX2 (or MxB)
2.3.6. TGF-β
2.3.7. HSPA1 Inhibitors
2.3.8. CaMKII Activators
2.3.9. SART1
2.4. Gene-Editing Targeting/Attenuating HBV cccDNA
2.4.1. HBV-Specific CRISPR/Cas9 Systems
2.4.2. Sequence-Specific ARCUS Nuclease
2.4.3. siRNAs for Silencing Viral RNA
3. Discussion
Author Contributions
Funding
Institutional Review Board Statement
Informed Consent Statement
Data Availability Statement
Conflicts of Interest
References
- Miller, R.H.; Robinson, W.S. Hepatitis B virus DNA forms in nuclear and cytoplasmic fractions of infected human liver. Virology 1984, 137, 390–399. [Google Scholar] [CrossRef] [PubMed]
- Tuttleman, J.S.; Pourcel, C.; Summers, J. Formation of the pool of covalently closed circular viral DNA in hepadnavirus-infected cells. Cell 1986, 47, 451–460. [Google Scholar] [CrossRef] [PubMed]
- Pungpapong, S.; Kim, W.R.; Poterucha, J.J. Natural history of hepatitis B virus infection: An update for clinicians. Mayo Clin. Proc. 2007, 82, 967–975. [Google Scholar] [CrossRef] [PubMed]
- Hepatitis B Foundation. What Is Hepatitis B? Available online: https://www.hepb.org/what-is-hepatitis-b/what-is-hepb/ (accessed on 12 November 2023).
- Nassal, M. HBV cccDNA: Viral persistence reservoir and key obstacle for a cure of chronic hepatitis B. Gut 2015, 64, 1972–1984. [Google Scholar] [CrossRef] [PubMed]
- Gish, R.G.; Given, B.D.; Lai, C.L.; Locarnini, S.A.; Lau, J.Y.; Lewis, D.L.; Schluep, T. Chronic hepatitis B: Virology, natural history, current management and a glimpse at future opportunities. Antivir. Res. 2015, 121, 47–58. [Google Scholar] [CrossRef]
- Brahmania, M.; Feld, J.; Arif, A.; Janssen, H.L. New therapeutic agents for chronic hepatitis B. Lancet Infect. Dis. 2016, 16, e10–e21. [Google Scholar] [CrossRef] [PubMed]
- Hong, X.; Kim, E.S.; Guo, H. Epigenetic regulation of hepatitis B virus covalently closed circular DNA: Implications for epigenetic therapy against chronic hepatitis B. Hepatology 2017, 66, 2066–2077. [Google Scholar] [CrossRef]
- Zhang, Y.; Li, L.; Cheng, S.T.; Qin, Y.P.; He, X.; Li, F.; Wu, D.Q.; Ren, F.; Yu, H.B.; Liu, J.; et al. Rapamycin inhibits hepatitis B virus covalently closed circular DNA transcription by enhancing the ubiquitination of HBx. Front. Microbiol. 2022, 13, 850087. [Google Scholar] [CrossRef]
- Takeuchi, F.; Ikeda, S.; Tsukamoto, Y.; Iwasawa, Y.; Qihao, C.; Otakaki, Y.; Ryota, O.; Yao, W.L.; Narita, R.; Makoto, H.; et al. Screening for inhibitor of episomal DNA identified dicumarol as a hepatitis B virus inhibitor. PLoS ONE 2019, 14, e0212233. [Google Scholar] [CrossRef]
- Cheng, S.T.; Hu, J.L.; Ren, J.H.; Yu, H.B.; Zhong, S.; Wong, V.K.W.; Kwan Law, B.Y.; Chen, W.X.; Xu, H.M.; Zhang, Z.Z.; et al. Dicoumarol, an NQO1 inhibitor, blocks cccDNA transcription by promoting degradation of HBx. J. Hepatol. 2021, 74, 522–534. [Google Scholar] [CrossRef]
- Gilmore, S.A.; Tam, D.; Cheung, T.L.; Snyder, C.; Farand, J.; Dick, R.; Matles, M.; Feng, J.Y.; Ramirez, R.; Li, L.; et al. Characterization of a KDM5 small molecule inhibitor with antiviral activity against hepatitis B virus. PLoS ONE 2022, 17, e0271145. [Google Scholar] [CrossRef] [PubMed]
- Gilmore, S.; Tam, D.; Dick, R.; Appleby, T.; Birkus, G.; Willkom, M.; Delaney, W.E.; Notte, G.T.; Feierbach, B. Antiviral activity of GS-5801, a liver-targeted prodrug of a lysine demethylase 5 inhibitor, in a hepatitis B virus primary human hepatocyte infection model. J. Hepatol. 2017, 66, S690–S691. [Google Scholar] [CrossRef]
- Wang, L.; Zhu, Q.; Zhang, J.D.; Zhang, Y.; Ni, X.; Xiang, K.; Jiang, J.; Li, B.; Yu, Y.; Hu, H.; et al. Discovery of a first-in-class orally available HBV cccDNA inhibitor. J. Hepatol. 2023, 78, 742–753. [Google Scholar] [CrossRef] [PubMed]
- Cai, D.; Mills, C.; Yu, W.; Yan, R.; Aldrich, C.E.; Saputelli, J.R.; Mason, W.S.; Xu, X.; Guo, J.T.; Block, T.M.; et al. Identification of disubstituted sulfonamide compounds as specific inhibitors of hepatitis B virus covalently closed circular DNA formation. Antimicrob. Agents Chemother. 2012, 56, 4277–4288. [Google Scholar] [CrossRef] [PubMed]
- Wu, J.; Li, X.; Guo, X.; Cheng, Z.; Meng, J.; Cheng, W.; Lin, W. Briarane-type diterpenoids from a gorgonian coral Ellisella sp. With anti-HBV activities. Bioorg. Chem. 2020, 105, 104423. [Google Scholar] [CrossRef] [PubMed]
- Li, X.; Liu, H.; Chqeng, W.; Wang, J.; Zhang, H.; Lu, F.; Chen, X.; Lin, W. Junceellolide B, a novel inhibitor of Hepatitis B virus. Bioorg. Med. Chem. 2020, 28, 115603. [Google Scholar] [CrossRef] [PubMed]
- Chen, D.; Tan, X.; Chen, W.; Liu, Y.; Li, C.; Wu, J.; Zheng, J.; Shen, H.C.; Zhang, M.; Wu, W.; et al. Discovery of novel cccDNA reducers toward the cure of hepatitis B virus infection. J. Med. Chem. 2022, 65, 10938–10955. [Google Scholar] [CrossRef]
- He, W.; Li, L.X.; Liao, Q.J.; Liu, C.L.; Chen, X.L. Epigallocatechin gallate inhibits HBV DNA synthesis in a viral replication—Inducible cell line. World J. Gastroenterol. 2011, 17, 1507–1514. [Google Scholar] [CrossRef]
- Huang, H.C.; Tao, M.H.; Hung, T.M.; Chen, J.C.; Lin, Z.J.; Huang, C. (-)-Epigallocatechin-3-gallate inhibits entry of hepatitis B virus into hepatocytes. Antivir. Res. 2014, 111, 100–111. [Google Scholar] [CrossRef]
- Zhong, L.; Hu, J.; Shu, W.; Gao, B.; Xiong, S. Epigallocatechin-3-gallate opposes HBV-induced incomplete autophagy by enhancing lysosomal acidification, which is unfavorable for HBV replication. Cell Death Dis. 2015, 6, e1770. [Google Scholar] [CrossRef]
- Nakanishi, A.; Okumura, H.; Hashita, T.; Yamashita, A.; Nishimura, Y.; Watanabe, C.; Kamimura, S.; Hayashi, S.; Murakami, S.; Ito, K.; et al. Ivermectin inhibits HBV entry into the nucleus by suppressing KPNA2. Viruses 2022, 14, 2468. [Google Scholar] [CrossRef] [PubMed]
- Hayakawa, M.; Umeyama, H.; Iwadate, M.; Taguchi, Y.H.; Yano, Y.; Honda, T.; Itami-Matsumoto, S.; Kozuka, R.; Enomoto, M.; Tamori, A.; et al. Development of a novel anti-hepatitis B virus agent via Sp1. Sci. Rep. 2020, 10, 47. [Google Scholar] [CrossRef] [PubMed]
- Kim, S.Y.; Kim, H.; Kim, S.W.; Lee, N.R.; Yi, C.M.; Heo, J.; Kim, B.J.; Kim, N.J.; Inn, K.S. An Effective antiviral approach targeting hepatitis B virus with NJK14047, a novel and selective biphenyl amide p38 mitogen-activated protein kinase inhibitor. Antimicrob. Agents Chemother. 2017, 61, e00214–e00217. [Google Scholar] [CrossRef] [PubMed]
- Wu, Y.H.; Hao, B.J.; Cao, H.C.; Xu, W.; Li, Y.J.; Li, L.J. Anti-hepatitis B virus effect and possible mechanism of action of 3,4-O-dicaffeoylquinic Acid in vitro and in vivo. Evid. Based Complement. Alternat. Med. 2012, 2012, 356806. [Google Scholar] [CrossRef] [PubMed]
- Hao, B.J.; Wu, Y.H.; Wang, J.G.; Hu, S.Q.; Keil, D.J.; Hu, H.J.; Lou, J.D.; Zhao, Y. Hepatoprotective and antiviral properties of isochlorogenic acid A from Laggera alata against hepatitis B virus infection. J. Ethnopharmacol. 2012, 144, 190–194. [Google Scholar] [CrossRef] [PubMed]
- Yan, R.; Cai, D.; Zong, Y.; Guo, L.; Zhou, Y.; Tang, A.; Li, L.; Huang, Q.; Colonno, R.; Walker, M.A. Preclinical characterization of ABI-H2158, an HBV core inhibitor with dual mechanisms of action. Antivir. Res. 2023, 209, 105485. [Google Scholar] [CrossRef] [PubMed]
- Yuan, S.Y.; Yu, H.B.; Yang, Z.; Qin, Y.P.; Ren, J.H.; Cheng, S.T.; Ren, F.; Law, B.Y.K.; Wong, V.K.W.; Ng, J.P.L.; et al. Pimobendan inhibits HBV transcription and replication by suppressing HBV promoters activity. Front. Pharmacol. 2022, 13, 837115. [Google Scholar] [CrossRef]
- Huang, Q.; Cai, D.; Yan, R.; Li, L.; Zong, Y.; Guo, L.; Mercier, A.; Zhou, Y.; Tang, A.; Henne, K.; et al. Preclinical profile and characterization of the hepatitis B virus core protein inhibitor ABI-H0731. Antimicrob. Agents Chemother. 2020, 64, e01463-20. [Google Scholar] [CrossRef]
- Bao, C.Y.; Hung, H.C.; Chen, Y.W.; Fan, C.Y.; Huang, C.J.; Huang, W. Requirement of cyclin-dependent kinase function for hepatitis B virus cccDNA synthesis as measured by digital PCR. Ann. Hepatol. 2020, 19, 280–286. [Google Scholar] [CrossRef]
- Byth, K.F.; Thomas, A.; Hughes, G.; Forder, C.; McGregor, A.; Geh, C.; Oakes, S.; Green, C.; Walker, M.; Newcombe, N.; et al. AZD5438, a potent oral inhibitor of cyclin-dependent kinases 1, 2, and 9, leads to pharmacodynamic changes and potent antitumor effects in human tumor xenografts. Mol. Cancer Ther. 2009, 8, 1856–1866. [Google Scholar] [CrossRef]
- Li, B.; Wang, Y.; Shen, F.; Wu, M.; Li, Y.; Fang, Z.; Ye, J.; Wang, L.; Gao, L.; Yuan, Z.; et al. Identification of retinoic acid receptor agonists as potent hepatitis B virus inhibitors via a drug repurposing screen. Antimicrob. Agents Chemother. 2018, 62, e00465-18. [Google Scholar] [CrossRef] [PubMed]
- Murai, K.; Shirasaki, T.; Honda, M.; Shimizu, R.; Shimakami, T.; Nakasho, S.; Shirasaki, N.; Okada, H.; Sakai, Y.; Yamashita, T.; et al. Peretinoin, an acyclic retinoid, inhibits hepatitis B virus replication by suppressing sphingosine metabolic pathway in vitro. Int. J. Mol. Sci. 2018, 19, 108. [Google Scholar] [CrossRef] [PubMed]
- Wei, Z.Q.; Zhang, Y.H.; Ke, C.Z.; Chen, H.X.; Ren, P.; He, Y.L.; Hu, P.; Ma, D.Q.; Luo, J.; Meng, Z.J. Curcumin inhibits hepatitis B virus infection by down-regulating cccDNA-bound histone acetylation. World J. Gastroenterol. 2017, 23, 6252–6260. [Google Scholar] [CrossRef] [PubMed]
- Liu, C.; Cai, D.; Zhang, L.; Tang, W.; Yan, R.; Guo, H.; Chen, X. Identification of tandardized tannins (punicalagin, punicalin and geraniin) as novel inhibitors of hepatitis B virus covalently closed circular DNA. Antivir. Res. 2016, 134, 97–107. [Google Scholar] [CrossRef] [PubMed]
- Liu, X.; Xu, Z.; Hou, C.; Wang, M.; Chen, X.; Lin, Q.; Song, R.; Lou, M.; Zhu, L.; Qiu, Y.; et al. Inhibition of hepatitis B virus replication by targeting ribonucleotide reductase M2 protein. Biochem. Pharmacol. 2016, 103, 118–128. [Google Scholar] [CrossRef] [PubMed]
- Wang, X.J.; Hu, W.; Zhang, T.Y.; Mao, Y.Y.; Liu, N.N.; Wang, S.Q. Irbesartan, an FDA approved drug for hypertension and diabetic nephropathy, is a potent inhibitor for hepatitis B virus entry by disturbing Na(+)-dependent taurocholate cotransporting polypeptide activity. Antivir. Res. 2015, 120, 140–146. [Google Scholar] [CrossRef] [PubMed]
- Xie, M.; Guo, H.; Lou, G.; Yao, J.; Liu, Y.; Sun, Y.; Yang, Z.; Zheng, M. Neddylation inhibitor MLN4924 has anti-HBV activity via modulating the ERK-HNF1α-C/EBPα-HNF4α axis. J. Cell. Mol. Med. 2021, 25, 840–854. [Google Scholar] [CrossRef]
- Qu, B.; Nebioglu, F.; Leuthold, M.M.; Ni, Y.; Mutz, P.; Beneke, J.; Erfle, H.; Vondran, F.W.R.; Bartenschlager, R.; Urban, S. Dual role of neddylation in transcription of hepatitis B virus RNAs from cccDNA and production of viral surface antigen. JHEP Rep. 2022, 4, 100551. [Google Scholar] [CrossRef]
- Abounouh, K.; Kayesh, M.E.H.; Altawalah, H.; Kitab, B.; Murakami, S.; Ogawa, S.; Tanaka, Y.; Dehbi, H.; Pineau, P.; Kohara, M.; et al. Blocking neddylation elicits antiviral effect against hepatitis B virus replication. Mol. Biol. Rep. 2022, 49, 403–412. [Google Scholar] [CrossRef]
- Chauhan, R.; Li, Q.; Woodson, M.E.; Gasonoo, M.; Meyers, M.J.; Tavis, J.E. Efficient inhibition of hepatitis B virus (HBV) replication and cccDNA formation by HBV ribonuclease H inhibitors during infection. Antimicrob. Agents Chemother. 2021, 65, e0146021. [Google Scholar] [CrossRef]
- Gish, R.G.; Asselah, T.; Squires, K.; Mayers, D. Active site polymerase inhibitor nucleotides (ASPINs): Potential agents for chronic HBV cure regimens. Antivir. Chem. Chemother. 2022, 30, 20402066221138705. [Google Scholar] [CrossRef] [PubMed]
- Qiu, Z.; Lin, X.; Zhang, W.; Zhou, M.; Guo, L.; Kocer, B.; Wu, G.; Zhang, Z.; Liu, H.; Shi, H.; et al. Discovery and Pre-Clinical Characterization of Third-Generation 4-H Heteroaryldihydropyrimidine (HAP) Analogues as Hepatitis B Virus (HBV) Capsid Inhibitors. J. Med. Chem. 2017, 60, 3352–3371. [Google Scholar] [CrossRef] [PubMed]
- Ko, C.; Bester, R.; Zhou, X.; Xu, Z.; Blossey, C.; Sacherl, J.; Vondran, F.W.R.; Gao, L.; Protzer, U. A new role for capsid assembly modulators to target mature hepatitis B virus capsids and prevent virus infection. Antimicrob. Agents Chemother. 2019, 64, e01440-19. [Google Scholar] [CrossRef] [PubMed]
- Zhou, Z.; Hu, T.; Zhou, X.; Wildum, S.; Garcia-Alcalde, F.; Xu, Z.; Wu, D.; Mao, Y.; Tian, X.; Zhou, Y.; et al. Heteroaryldihydropyrimidine (HAP) and sulfamoylbenzamide (SBA) inhibit hepatitis B virus replication by different molecular mechanisms. Sci. Rep. 2017, 7, 42374. [Google Scholar] [CrossRef] [PubMed]
- Yan, Z.; Wu, D.; Hu, H.; Zeng, J.; Yu, X.; Xu, Z.; Zhou, Z.; Zhou, X.; Yang, G.; Young, J.A.T.; et al. Direct Inhibition of hepatitis B e antigen by core protein allosteric modulator. Hepatology 2019, 70, 11–24. [Google Scholar] [CrossRef] [PubMed]
- Okamoto, M.; Hidaka, A.; Toyama, M.; Hosoya, T.; Yamamoto, M.; Hagiwara, M.; Baba, M. Selective inhibition of HIV-1 replication by the CDK9 inhibitor FIT-039. Antivir. Res. 2015, 123, 1–4. [Google Scholar] [CrossRef] [PubMed]
- Ajiro, M.; Sakai, H.; Onogi, H.; Yamamoto, M.; Sumi, E.; Sawada, T.; Nomura, T.; Kabashima, K.; Hosoya, T.; Hagiwara, M. CDK9 inhibitor FIT-039 suppresses viral oncogenes E6 and E7 and has a therapeutic effect on HPV-induced neoplasia. Clin. Cancer Res. 2018, 24, 4518–4528. [Google Scholar] [CrossRef]
- Sakamoto, T.; Ajiro, M.; Watanabe, A.; Matsushima, S.; Ueda, K.; Hagiwara, M. Application of the CDK9 inhibitor FIT-039 for the treatment of KSHV-associated malignancy. BMC Cancer 2023, 23, 71. [Google Scholar] [CrossRef]
- Tanaka, T.; Okuyama-Dobashi, K.; Murakami, S.; Chen, W.; Okamoto, T.; Ueda, K.; Hosoya, T.; Matsuura, Y.; Ryo, A.; Tanaka, Y.; et al. Inhibitory effect of CDK9 inhibitor FIT-039 on hepatitis B virus propagation. Antivir. Res. 2016, 133, 156–164. [Google Scholar] [CrossRef]
- Murai, K.; Kodama, T.; Hikita, H.; Shimoda, A.; Fukuoka, M.; Fukutomi, K.; Shigeno, S.; Shiode, Y.; Motooka, D.; Higuchi, Y.; et al. Inhibition of nonhomologous end joining-mediated DNA repair enhances anti-HBV CRISPR therapy. Hepatol. Commun. 2022, 6, 2474–2487. [Google Scholar] [CrossRef]
- Erken, R.; Stelma, F.; Roy, E.; Diane, S.; Andre, P.; Vonderscher, J.; Eric, M.; Tim, S.; Philippe, P.; Christian, L.; et al. First clinical evaluation in chronic hepatitis B patients of the synthetic farnesoid X receptor agonist EYP001. J. Hepatol. 2018, 68, S488–S489. [Google Scholar] [CrossRef]
- Joly, S.; Porcherot, M.; Radreau, P.; Vonderscher, J.; André, P.; Meldrum, E.; Arold, G.; Van de Wetering de Rooij, J.; Staner, C.; Laveille, C.; et al. The selective FXR agonist EYP001 is well tolerated in healthy subjects and has additive anti-HBV effect with nucleoside analogues in HepaRG cells. J. Hepatol. 2017, 66, S690. [Google Scholar] [CrossRef]
- Erken, R.; Andre, P.; Roy, E.; Kootstra, N.; Barzic, N.; Girma, H.; Laveille, C.; Radreau-Pierini, P.; Darteil, R.; Vonderscher, J.; et al. Farnesoid X receptor agonist for the treatment of chronic hepatitis B: A safety study. J. Viral Hepat. 2021, 28, 1690–1698. [Google Scholar] [CrossRef] [PubMed]
- Korba, B.E.; Montero, A.B.; Farrar, K.; Gaye, K.; Mukerjee, S.; Ayers, M.S.; Rossignol, J.F. Nitazoxanide, tizoxanide and other thiazolides are potent inhibitors of hepatitis B virus and hepatitis C virus replication. Antivir. Res. 2008, 77, 56–63. [Google Scholar] [CrossRef] [PubMed]
- Rossignol, J.F. Nitazoxanide: A first-in-class broad-spectrum antiviral agent. Antivir. Res. 2014, 110, 94–103. [Google Scholar] [CrossRef]
- Sekiba, K.; Otsuka, M.; Ohno, M.; Yamagami, M.; Kishikawa, T.; Suzuki, T.; Ishibashi, R.; Seimiya, T.; Tanaka, E.; Koike, K. Inhibition of HBV transcription from cccDNA with nitazoxanide by targeting the HBx-DDB1 interaction. Cell Mol. Gastroenterol. Hepatol. 2019, 7, 297–312. [Google Scholar] [CrossRef]
- Rossignol, J.F.; Bréchot, C. A pilot clinical trial of nitazoxanide in the treatment of chronic hepatitis B. Hepatol. Commun. 2019, 3, 744–747. [Google Scholar] [CrossRef]
- Lin, C.L.; Yang, H.C.; Kao, J.H. Hepatitis B virus: New therapeutic perspectives. Liver Int. 2016, 36 (Suppl. S1), 85–92. [Google Scholar] [CrossRef]
- Volz, T.; Allweiss, L.; Ben Mbarek, M.; Warlich, M.; Lohse, A.W.; Pollok, J.M.; Alexandrov, A.; Urban, S.; Petersen, J.; Lütgehetmann, M.; et al. The entry inhibitor Myrcludex-B efficiently blocks intrahepatic virus spreading in humanized mice previously infected with hepatitis B virus. J. Hepatol. 2013, 58, 861–867. [Google Scholar] [CrossRef]
- Blank, A.; Markert, C.; Hohmann, N.; Carls, A.; Mikus, G.; Lehr, T.; Alexandrov, A.; Haag, M.; Schwab, M.; Urban, S.; et al. First-in-human application of the novel hepatitis B and hepatitis D virus entry inhibitor myrcludex B. J. Hepatol. 2016, 65, 483–489. [Google Scholar] [CrossRef]
- Cheng, D.; Han, B.; Zhang, W.; Wu, W. Clinical effects of NTCP-inhibitor myrcludex B. J. Viral Hepat. 2021, 28, 852–858. [Google Scholar] [CrossRef] [PubMed]
- Desmares, M.; Delphin, M.; Chardès, B.; Pons, C.; Riedinger, J.; Michelet, M.; Rivoire, M.; Verrier, B.; Salvetti, A.; Lucifora, J.; et al. Insights on the antiviral mechanisms of action of the TLR1/2 agonist Pam3CSK4 in hepatitis B virus (HBV)-infected hepatocytes. Antivir. Res. 2022, 206, 105386. [Google Scholar] [CrossRef] [PubMed]
- Lucifora, J.; Xia, Y.; Reisinger, F.; Zhang, K.; Stadler, D.; Cheng, X.; Sprinzl, M.F.; Koppensteiner, H.; Makowska, Z.; Volz, T.; et al. Specific and nonhepatotoxic degradation of nuclear hepatitis B virus cccDNA. Science 2014, 343, 1221–1228. [Google Scholar] [CrossRef] [PubMed]
- Chisari, F.V.; Mason, W.S.; Seeger, C. Virology. Comment on “Specific and nonhepatotoxic degradation of nuclear hepatitis B virus cccDNA”. Science 2014, 344, 1237. [Google Scholar] [CrossRef] [PubMed]
- Yuan, Y.; Yuan, H.; Yang, G.; Yun, H.; Zhao, M.; Liu, Z.; Zhao, L.; Geng, Y.; Liu, L.; Wang, J.; et al. IFN-α confers epigenetic regulation of HBV cccDNA minichromosome by modulating GCN5-mediated succinylation of histone H3K79 to clear HBV cccDNA. Clin. Epigenetics 2020, 12, 135. [Google Scholar] [CrossRef]
- Wang, G.; Guan, J.; Khan, N.U.; Li, G.; Shao, J.; Zhou, Q.; Xu, L.; Huang, C.; Deng, J.; Zhu, H.; et al. Potential capacity of interferon-α to eliminate covalently closed circular DNA (cccDNA) in hepatocytes infected with hepatitis B virus. Gut Pathog. 2021, 13, 22. [Google Scholar] [CrossRef]
- Tsuge, M.; Uchida, T.; Hiraga, N.; Kan, H.; Makokha, G.N.; Abe-Chayama, H.; Miki, D.; Imamura, M.; Ochi, H.; Hayes, C.N.; et al. Development of a novel site-specific pegylated interferon beta for antiviral therapy of chronic hepatitis B virus. Antimicrob. Agents Chemother. 2017, 61, e00183-17. [Google Scholar] [CrossRef]
- Nosaka, T.; Naito, T.; Matsuda, H.; Ohtani, M.; Hiramatsu, K.; Nemoto, T.; Nishizawa, T.; Okamoto, H.; Nakamoto, Y. Molecular signature of hepatitis B virus regulation by interferon-γ in primary human hepatocytes. Hepatol. Res. 2020, 50, 292–302. [Google Scholar] [CrossRef]
- Xia, Y.; Stadler, D.; Lucifora, J.; Reisinger, F.; Webb, D.; Hösel, M.; Michler, T.; Wisskirchen, K.; Cheng, X.; Zhang, K.; et al. Interferon-γ and tumor necrosis factor-α produced by T cells reduce the HBV persistence form, cccDNA, without cytolysis. Gastroenterology 2016, 150, 194–205. [Google Scholar] [CrossRef]
- Stadler, D.; Kächele, M.; Jones, A.N.; Hess, J.; Urban, C.; Schneider, J.; Xia, Y.; Oswald, A.; Nebioglu, F.; Bester, R.; et al. Interferon-induced degradation of the persistent hepatitis B virus cccDNA form depends on ISG20. EMBO Rep. 2021, 22, e49568. [Google Scholar] [CrossRef]
- Wang, Y.X.; Niklasch, M.; Liu, T.; Wang, Y.; Shi, B.; Yuan, W.; Baumert, T.F.; Yuan, Z.; Tong, S.; Nassal, M.; et al. Interferon-inducible MX2 is a host restriction factor of hepatitis B virus replication. J. Hepatol. 2020, 72, 865–876. [Google Scholar] [CrossRef] [PubMed]
- Qiao, Y.; Han, X.; Guan, G.; Wu, N.; Sun, J.; Pak, V.; Liang, G. TGF-β triggers HBV cccDNA degradation through AID-dependent deamination. FEBS Lett. 2016, 590, 419–427. [Google Scholar] [CrossRef] [PubMed]
- Tang, L.; An, P.; Zhao, Q.; Winkler, C.A.; Chang, J.; Guo, J.T. Heat shock protein family a member 1 promotes intracellular amplification of hepatitis B virus covalently closed circular DNA. J. Virol. 2023, 97, e0126122. [Google Scholar] [CrossRef] [PubMed]
- Kim, J.; Kwon, H.; Kalsoom, F.; Sajjad, M.A.; Lee, H.W.; Lim, J.H.; Jung, J.; Chwae, Y.J.; Park, S.; Shin, H.J.; et al. Ca2+/Calmodulin-dependent protein kinase II inhibits hepatitis B virus replication from cccDNA via AMPK activation and AKT/mTOR suppression. Microorganisms 2022, 10, 498. [Google Scholar] [CrossRef] [PubMed]
- Li, Y.; Zhu, C.; Wang, F.; Zhu, T.; Li, J.; Liu, S.; Xiao, F. Expression of interferon effector gene SART1 correlates with interferon treatment response against hepatitis B infection. Mediat. Inflamm. 2016, 2016, 3894816. [Google Scholar] [CrossRef] [PubMed]
- Teng, Y.; Xu, Z.; Zhao, K.; Zhong, Y.; Wang, J.; Zhao, L.; Zheng, Z.; Hou, W.; Zhu, C.; Chen, X.; et al. Novel function of SART1 in HNF4α transcriptional regulation contributes to its antiviral role during HBV infection. J. Hepatol. 2021, 75, 1072–1082. [Google Scholar] [CrossRef] [PubMed]
- Dong, C.; Qu, L.; Wang, H.; Wei, L.; Dong, Y.; Xiong, S. Targeting hepatitis B virus cccDNA by CRISPR/Cas9 nuclease efficiently inhibits viral replication. Antivir. Res. 2015, 118, 110–117. [Google Scholar] [CrossRef]
- Li, H.; Sheng, C.; Wang, S.; Yang, L.; Liang, Y.; Huang, Y.; Liu, H.; Li, P.; Yang, C.; Yang, X.; et al. Removal of Integrated Hepatitis B Virus DNA Using CRISPR-Cas9. Front. Cell Infect. Microbiol. 2017, 7, 91. [Google Scholar] [CrossRef]
- Kostyushev, D.; Brezgin, S.; Kostyusheva, A.; Zarifyan, D.; Goptar, I.; Chulanov, V. Orthologous CRISPR/Cas9 systems for specific and efficient degradation of covalently closed circular DNA of hepatitis B virus. Cell Mol. Life Sci. 2019, 76, 1779–1794. [Google Scholar] [CrossRef]
- Wang, D.; Chen, L.; Li, C.; Long, Q.; Yang, Q.; Huang, A.; Tang, H. CRISPR/Cas9 delivery by NIR-responsive biomimetic nanoparticles for targeted HBV therapy. J. Nanobiotechnol. 2022, 20, 27. [Google Scholar] [CrossRef]
- Wang, J.; Chen, R.; Zhang, R.; Ding, S.; Zhang, T.; Yuan, Q.; Guan, G.; Chen, X.; Zhang, T.; Zhuang, H.; et al. The gRNA-miRNA-gRNA ternary cassette combining CRISPR/Cas9 with RNAi approach strongly inhibits hepatitis B virus replication. Theranostics 2017, 7, 3090–3105. [Google Scholar] [CrossRef] [PubMed]
- Yang, Y.C.; Chen, Y.H.; Kao, J.H.; Ching, C.; Liu, I.J.; Wang, C.C.; Tsai, C.H.; Wu, F.Y.; Liu, C.J.; Chen, P.J.; et al. Permanent inactivation of HBV genomes by CRISPR/Cas9-mediated non-cleavage base editing. Mol. Ther. Nucleic Acids 2020, 20, 480–490. [Google Scholar] [CrossRef] [PubMed]
- Gorsuch, C.L.; Nemec, P.; Yu, M.; Xu, S.; Han, D.; Smith, J.; Lape, J.; van Buuren, N.; Ramirez, R.; Muench, R.C.; et al. Targeting the hepatitis B cccDNA with a sequence-specific ARCUS nuclease to eliminate hepatitis B virus in vivo. Mol. Ther. 2022, 30, 2909–2922. [Google Scholar] [CrossRef] [PubMed]
- Chandra, S.; Long, B.R.; Fonck, C.; Melton, A.C.; Arens, J.; Woloszynek, J.; O’Neill, C.A. Safety findings of dosing gene therapy vectors in NHP with pre-existing or treatment-emergent anti-capsid antibodies. Toxicol. Pathol. 2023, 51, 1926233231202995. [Google Scholar] [CrossRef]
- Wooddell, C.I.; Gehring, A.J.; Yuen, M.F.; Given, B.D. RNA interference therapy for chronic hepatitis B predicts the importance of addressing viral integration when developing novel cure strategies. Viruses 2021, 13, 581. [Google Scholar] [CrossRef]
- Li, G.; Jiang, G.; Lu, J.; Chen, S.; Cui, L.; Jiao, J.; Wang, Y. Inhibition of hepatitis B virus cccDNA by siRNA in transgenic mice. Cell Biochem. Biophys. 2014, 69, 649–654. [Google Scholar] [CrossRef]
- Gao, L.; Yang, J.; Feng, J.; Liu, Z.; Dong, Y.; Luo, J.; Yu, L.; Wang, J.; Fan, H.; Ma, W.; et al. PreS/2-21-guided siRNA nanoparticles target to inhibit hepatitis B virus infection and replication. Front. Immunol. 2022, 13, 856463. [Google Scholar] [CrossRef]
- Wooddell, C.I.; Yuen, M.F.; Chan, H.L.; Gish, R.G.; Locarnini, S.A.; Chavez, D.; Ferrari, C.; Given, B.D.; Hamilton, J.; Kanner, S.B.; et al. RNAi-based treatment of chronically infected patients and chimpanzees reveals that integrated hepatitis B virus DNA is a source of HBsAg. Sci. Transl. Med. 2017, 9, eaan0241. [Google Scholar] [CrossRef]
- Kadelka, S.; Dahari, H.; Ciupe, S.M. Understanding the antiviral effects of RNAi-based therapy in HBeAg-positive chronic hepatitis B infection. Sci. Rep. 2021, 11, 200. [Google Scholar] [CrossRef]
- Wong, D.K.; Seto, W.K.; Fung, J.; Ip, P.; Huang, F.Y.; Lai, C.L.; Yuen, M.F. Reduction of hepatitis B surface antigen and covalently closed circular DNA by nucleos(t)ide analogues of different potency. Clin. Gastroenterol. Hepatol. 2013, 11, 1004–1010.e1. [Google Scholar] [CrossRef]
- Zoulim, F.; Testoni, B. Eliminating cccDNA to cure hepatitis B virus infection. J. Hepatol. 2023, 78, 677–680. [Google Scholar] [CrossRef] [PubMed]
- Kang, B.; Yi, D.Y.; Choe, B.H. Translational strategies to eliminate chronic hepatitis B in children: Prophylaxis and management in east asian countries. Front. Pediatr. 2022, 9, 809838. [Google Scholar] [CrossRef] [PubMed]
- Allweiss, L.; Dandri, M. The role of cccDNA in HBV maintenance. Viruses 2017, 9, 156. [Google Scholar] [CrossRef] [PubMed]
- Wang, J.; Xu, Z.W.; Liu, S.; Zhang, R.Y.; Ding, S.L.; Xie, X.M.; Long, L.; Chen, X.M.; Zhuang, H.; Lu, F.M. Dual gRNAs guided CRISPR/Cas9 system inhibits hepatitis B virus replication. World J. Gastroenterol. 2015, 21, 9554–9565. [Google Scholar] [CrossRef] [PubMed]
- Kostyusheva, A.P.; Brezgin, S.A.; Ponomareva, N.I.; Goptar, I.A.; Nikiforova, A.V.; Gegechkori, V.I.; Poluektova, V.B.; Turkadze, K.A.; Sudina, A.E.; Chulanov, V.P.; et al. Antiviral activity of CRISPR/Cas9 ribonucleoprotein complexes on a hepatitis B virus model in vivo. Mol. Biol. 2022, 56, 884–891. (In Russian) [Google Scholar] [CrossRef]
- Yang, H.C.; Chen, P.J. The potential and challenges of CRISPR-Cas in eradication of hepatitis B virus covalently closed circular DNA. Virus Res. 2018, 244, 304–310. [Google Scholar] [CrossRef] [PubMed]
- Kim, S.W.; Yoon, J.S.; Lee, M.; Cho, Y. Toward a complete cure for chronic hepatitis B: Novel therapeutic targets for hepatitis B virus. Clin. Mol. Hepatol. 2022, 28, 17–30. [Google Scholar] [CrossRef]
- Faure-Dupuy, S.; Riedl, T.; Rolland, M.; Hizir, Z.; Reisinger, F.; Neuhaus, K.; Schuehle, S.; Remouchamps, C.; Gillet, N.; Schönung, M.; et al. Control of APOBEC3B induction and cccDNA decay by NF-κB and miR-138-5p. JHEP Rep. 2021, 3, 100354. [Google Scholar] [CrossRef]
- Rösler, C.; Köck, J.; Kann, M.; Malim, M.H.; Blum, H.E.; Baumert, T.F.; von Weizsäcker, F. APOBEC-mediated interference with hepadnavirus production. Hepatology 2005, 42, 301–309. [Google Scholar] [CrossRef]
- Kostyushev, D.; Brezgin, S.; Kostyusheva, A.; Ponomareva, N.; Bayurova, E.; Zakirova, N.; Kondrashova, A.; Goptar, I.; Nikiforova, A.; Sudina, A.; et al. Transient and tunable CRISPRa regulation of APOBEC/AID genes for targeting hepatitis B virus. Mol. Ther. Nucleic Acids 2023, 32, 478–493. [Google Scholar] [CrossRef]
- Gilmore, S.A.; Snyder, C.A.; Dick, R.; Matles, M.; Tam, D.; Tay, C.H.; Farand, J.; Paoli, E.; Delaney, W.E.; Feierbach, B.; et al. In vivo pharmacodynamics of GS-5801, a liver targeted prodrug of a lysine demethylase 5 inhibitor with antiviral activity against hepatitis B virus. J. Hepatol. 2017, 66, S263. [Google Scholar] [CrossRef]
- Kazuhiro, M.; Takahiro, K.; Hikita, H.; Akiyoshi, S.; Makoto, F.; Keisuke, F.; Yuki, T.; Yuki, M.; Ryoko, Y.; Ryotaro, S.; et al. Novel anti-HBV therapies using CRISPR/cas9 targeting HBV genome strongly suppress HBV. Hepatology 2020, 72 (Suppl. S1), 61A–62A. [Google Scholar]
- Belloni, L.; Allweiss, L.; Guerrieri, F.; Pediconi, N.; Volz, T.; Pollicino, T.; Petersen, J.; Raimondo, G.; Dandri, M.; Levrero, M. IFN-α inhibits HBV transcription and replication in cell culture and in humanized mice by targeting the epigenetic regulation of the nuclear cccDNA minichromosome. J. Clin. Investig. 2012, 122, 529–537. [Google Scholar] [CrossRef] [PubMed]
- Brezgin, S.; Kostyusheva, A.; Bayurova, E.; Gordeychuk, I.; Isaguliants, M.; Goptar, I.; Nikiforova, A.; Smirnov, V.; Volchkova, E.; Glebe, D.; et al. Replenishment of hepatitis B virus cccDNA pool is restricted by baseline expression of host restriction factors in vitro. Microorganisms 2019, 7, 533. [Google Scholar] [CrossRef]
- Decorsière, A.; Mueller, H.; van Breugel, P.C.; Abdul, F.; Gerossier, L.; Beran, R.K.; Livingston, C.M.; Niu, C.; Fletcher, S.P.; Hantz, O.; et al. Hepatitis B virus X protein identifies the Smc5/6 complex as a host restriction factor. Nature 2016, 531, 386–389. [Google Scholar] [CrossRef]
- Murphy, C.M.; Xu, Y.; Li, F.; Nio, K.; Reszka-Blanco, N.; Li, X.; Wu, Y.; Yu, Y.; Xiong, Y.; Su, L. Hepatitis B virus X protein promotes degradation of SMC5/6 to enhance HBV replication. Cell Rep. 2016, 16, 2846–2854. [Google Scholar] [CrossRef]
- Tavis, J.; Chauhan, R. Silencing HBV transcription with SMC5/6: Has a path been found? Gut 2022, 71, 233–234. [Google Scholar] [CrossRef]
- Allweiss, L.; Giersch, K.; Pirosu, A.; Volz, T.; Muench, R.C.; Beran, R.K.; Urban, S.; Javanbakht, H.; Fletcher, S.P.; Lütgehetmann, M.; et al. Therapeutic shutdown of HBV transcripts promotes reappearance of the SMC5/6 complex and silencing of the viral genome in vivo. Gut 2022, 71, 372–381. [Google Scholar] [CrossRef]
- Kong, X.; Liu, Z.; Zhang, R.; Xie, F.; Liang, R.; Zhang, Y.; Yu, L.; Yang, W.; Li, X.; Chen, Q.; et al. JMJD2D stabilises and cooperates with HBx protein to promote HBV transcription and replication. JHEP Rep. 2023, 5, 100849. [Google Scholar] [CrossRef]
- Zhang, B.Y.; Chai, D.P.; Wu, Y.H.; Qiu, L.P.; Zhang, Y.Y.; Ye, Z.H.; Yu, X.P. Potential drug targets against hepatitis B virus based on both virus and host factors. Curr. Drug Targets 2019, 20, 1636–1651. [Google Scholar] [CrossRef]
- Zhang, W.; Chen, J.; Wu, M.; Zhang, X.; Zhang, M.; Yue, L.; Li, Y.; Liu, J.; Li, B.; Shen, F.; et al. PRMT5 restricts hepatitis B virus replication through epigenetic repression of covalently closed circular DNA transcription and interference with pregenomic RNA encapsidation. Hepatology 2017, 66, 398–415. [Google Scholar] [CrossRef] [PubMed]
- Sun, Y.; Teng, Y.; Wang, L.; Zhang, Z.; Chen, C.; Wang, Y.; Zhang, X.; Xiang, P.; Song, X.; Lu, J.; et al. LINC01431 promotes histone H4R3 methylation to impede HBV covalently closed circular DNA transcription by stabilizing PRMT1. Adv. Sci. 2022, 9, e2103135. [Google Scholar] [CrossRef] [PubMed]
- Kostyushev, D.; Kostyusheva, A.; Brezgin, S.; Ponomareva, N.; Zakirova, N.F.; Egorshina, A.; Yanvarev, D.V.; Bayurova, E.; Sudina, A.; Goptar, I.; et al. Depleting hepatitis B virus relaxed circular DNA is necessary for resolution of infection by CRISPR-Cas9. Mol. Ther. Nucleic Acids 2023, 31, 482–493. [Google Scholar] [CrossRef] [PubMed]
- Wilson, E.M.; Tang, L.; Kottilil, S. Eradication strategies for chronic hepatitis B infection. Clin. Infect. Dis. 2016, 62 (Suppl. S4), S318–S325. [Google Scholar] [CrossRef][Green Version]
- Shih, C.; Chou, S.F.; Yang, C.C.; Huang, J.Y.; Choijilsuren, G.; Jhou, R.S. Control and eradication strategies of hepatitis B virus. Trends Microbiol. 2016, 24, 739–749. [Google Scholar] [CrossRef]

































| Classification | Agent/Approach against HBV | Mechanism | R&D phase | References |
|---|---|---|---|---|
| Small molecules for epigenetically silencing HBV cccDNA | Rapamycin | Targeting HBx to block HBV cccDNA transcription. | Preclinical | [9] |
| Dicoumarol | Blocking cccDNA transcription by promoting HBx degradation. | Preclinical | [11] | |
| GS-080 and GS-5801 | Silencing cccDNA transcription by histone lysine demethylase inhibitor. | Phase 1b (GS-5801) | [12,13] | |
| Small molecules for suppressing HBV cccDNA | CCC_R08 | Specifically reduce cccDNA levels. | Preclinical | [14] |
| CCC-0975 and CCC-0346 | Interfering primarily with rcDNA conversion into cccDNA. | Preclinical | [15] | |
| Junceellolide C and junceellolide B | Transcription inhibitors of cccDNA by inhibiting HBV RNA transcription. | Preclinical | [16,17] | |
| Compound 59 | HBV cccDNA and antigen reducers. | Preclinical | [18] | |
| Epigallocatechin gallate (EGCG) | Inhibiting HBV entry and HBV cccDNA production by impairing HBV replicative intermediates of DNA synthesis. | Preclinical | [19,20,21] | |
| Ivermectin | Suppressing the production of cccDNA via depletion of KPNA1-6 and the nuclear import of HBV by inhibiting KPNA2. | Preclinical | [22] | |
| 1-[3-(4-tert-butylcyclohexyl)oxy-2-hydroxypropyl]-2,2,6,6-tetramethylpiperidin-4-ol | Reducing HBV cccDNA production via interaction with the nuclear transcription factor Sp1. | Preclinical | [23] | |
| NJK14047 | Decreasing pgRNA and HBV cccDNA by inhibiting the selective host factor P38 mitogen-activated protein kinase (MAPK). | Preclinical | [24] | |
| 3,4-di-O-CQA and 3,5-di-O-CQA | Blocking the replenishment of HBV cccDNA by reducing the stabilization of HBV core protein via HO-1 overexpression. | Preclinical | [25,26] | |
| ABI-H2158 | Inhibiting HBV replication by blocking pgRNA encapsidation, and it also potently blocked the formation of cccDNA. | Terminated in Phase II due to its hepatotoxicity | [27] | |
| Pimobendan (Pim) | As a transcription inhibitor of cccDNA through suppressing HBV promoters to reduce HBV RNA levels and HBsAg production. | Preclinical | [28] | |
| ABI-H0731 | (1) Preventing HBV pgRNA encapsidation and subsequent DNA replication by targeting the HBV core protein; and (2) preventing new cccDNA formation by disrupting incoming nucleocapsids, causing the premature release of rcDNA before delivery to the nucleus. | Phase II | [29] | |
| UCN-01 | Decreasing cccDNA levels as an inhibitor with a broad spectrum activity for phosphorylated protein kinase C (PKC) and cyclin-dependent kinase (CDK) proteins. | Preclinical | [30] | |
| AZD-5438 | Blocking intracellular cccDNA synthesis as a potent inhibitor of CDK. | Preclinical | [30,31] | |
| Tazarotene | Repressing HBV cccDNA transcription and its inhibition on HBV, in part, through RARβ. | Preclinical | [32] | |
| Peretinoin | (1) Enhancing the binding of histone deacetylase 1 (HDAC1) to cccDNA in the nucleus and negatively regulating HBV transcription. (2) Activating HDAC1 and thereby suppressing HBV replication by inhibiting the sphingosine metabolic pathway. | Preclinical | [33] | |
| Curcumin | Reducing intracellular HBV DNA replication intermediates and HBV cccDNA via downregulation of cccDNA-bound histone acetylation. | Preclinical | [34] | |
| Punicalagin, punicalin, and geraniin | Inhibiting HBV cccDNA production via a dual mechanism through preventing the formation of cccDNA and promoting cccDNA decay. | Preclinical | [35] | |
| Osalmid and YZ51 | Inhibiting HBV DNA and cccDNA synthesis by targeting the ribonucleotide reductase (RR) small subunit M2 (RRM2). | Preclinical | [36] | |
| Irbesartan | As a NTCP-interfering molecule, inhibiting HBV cccDNA formation post-uptake prior to the cccDNA formation step. | Preclinical | [37] | |
| MLN4924 | As a potent and selective NEDD8-activating enzyme inhibitor, inhibiting cccDNA transcription by blocking cullinneddyltion and activating ERK to suppress the expression of several transcription factors required for HBV replication, including HNF1α, C/EBPα, and HNF4α. | Preclinical | [38,39] | |
| Rnase H inhibitors 110, 1133, and 1073 | As Rnase H inhibitors, suppressing cccDNA formation by blocking amplification of HBV cccDNA, which suppresses events downstream of cccDNA formation. | Preclinical | [41] | |
| Clevudine/ATI-2173 | As a first-generation ASPIN and a novel next-generation ASPIN, both have demonstrated the potential ability to reduce cccDNA biomarkers. | Approved 2006 in S. Korea/ Phase Ib | [42] | |
| HAP_R01 | As a structurally distinct heteroaryldihydropyrimidine (HAP)-type CpAM, inhibiting cccDNA formation by perturbing capsid integrity of incoming virus particles and reducing their infectivity, as well as preventing HBV capsid assembly. | Preclinical | [43,44,45,46] | |
| CDK9 inhibitor FIT-039 | As a CDK9 inhibitor, its antiviral activity at an early phase of viral infection and reducing cccDNA in HBV-infected cells. | Preclinical | [50] | |
| Olaparib | As a PARP inhibitor, increasing the reductions in pgRNA and cccDNA levels induced by HBV-CRISPR. The suppression of the NHEJ-mediated DNA repair machinery enhances the effect of CRISPR targeting cccDNA. | Preclinical | [51] | |
| Vonafexor (EYP001) | As a FXR agonist, it is a potent inhibitor of cccDNA transcription. | Phase Ib | [52,53] | |
| Nitazoxanide and tizoxanide | Silencing the transcription of HBV cccDNA and decreasing viral cccDNA levels slightly by targeting HBx–DDB1 interactions and significantly restoring Smc5 protein levels. | Phase I | [55,56,57,58] | |
| Polypeptides/proteins for inhibiting HBV cccDNA | Bulevirtide (myrcludex B/hepcludex) | As the first entry inhibitor that can inactivate HBV and HDV receptors, it can inhibit the amplification of cccDNA as well as the spread of intrahepatic infection. | Approved in 2023 in the EU; Phase III in the USA | [59,60,61,62] |
| Pam3SCK4 | As a TLR-2 agonist and potential immune stimulator, decreasing HBV RNA production (inhibition of synthesis and acceleration of decay) and cccDNA levels through the TLR1/2- NF-κB canonical-pathway. | Preclinical | [63] | |
| IFN-α2b/PEG-IFN-α2a | (1) HBV cccDNA molecule is degraded non-cytolytically by IFN-α that upregulates APOBEC3A and 3B. (2) IFN-α epigenetically regulates the HBV cccDNA minichromosome by modulating the GCN5-mediated succinylation of histone H3K79 to clear HBV cccDNA. (3) TNF-α-induced deamination of cccDNA and interference with its stability. | Approved 1991; approved 2005 in the USA | [64,65,66,67,70] | |
| IFN-β (TRK-560) | IFN-β treatment shows a stronger potency in intracellular HBV cccDNA reduction via higher levels of induction of interferon-stimulated genes and stronger stimulation of immune cell chemotaxis than PEG-IFN-α2a. | Preclinical | [68] | |
| IFN-γ | (1) IFN-γ decreases HBV production through Janus kinase/signal transducer and activator of transcription signaling and interferon-stimulated genes. (2) IFN-γ reduces HBV cccDNA levels in hepatocytes by inducing deamination and subsequent cccDNA decay. | Preclinical | [69,70] | |
| ISG20 | As the only type I and II interferon-induced nuclear protein with annotated nuclease activity, ISG20 depletion mitigates the interferon-induced loss of cccDNA, and co-expression with APOBEC3A is sufficient to diminish cccDNA. | Preclinical | [71] | |
| MX2 (or M xB) | As an IFN-α-inducible effector, reducing the amount of HBV cccDNA by indirectly impairing the conversion of rcDNA into cccDNA rather than by destabilizing existing cccDNA. | Preclinical | [72] | |
| TGF-β | Inducing viral cccDNA degradation and hypermutation via AID deamination activity in hepatocytes. | Preclinical | [73] | |
| HSPA1 inhibitors | Inhibiting HSPA1-enhanced cccDNA amplification under selected pathobiological conditions to facilitate the elimination of cccDNA and cure CHB. | Preclinical | [74] | |
| CaMKII activator | Suppressing HBV replication from cccDNA via the activation or overexpression of CaMKII or upregulation of CaMKII activity. | Preclinical | [75] | |
| SART1 | (1) Regulating IFN-mediated antiviral activity through JAK-STAT signaling and ISG expression in the antiviral activity of IFN-α against HBV. (2) As a host factor suppressing HBV cccDNA transcription, it exerts anti-HBV activity by suppressing HNF4α expression, which is essential for the transcription of HBV cccDNA. | Preclinical | [76,77] | |
| Gene-editing approaches targeting/attenuating HBV cccDNA | HBV-specific CRISPR/Cas9 systems (EBT107) | As a genome-editing tool, it can specifically and accurately target HBV cccDNA to effectively mediate cccDNA disruption. | Preclinical | [78,79,80,81] |
| Sequence-specific ARCUS nuclease (PBGENE-HBV) | As a highly specific engineered ARCUS nuclease (ARCUS-POL) targeting the HBV genome, transient ARCUS-POL expression can produce substantial reductions in both cccDNA and HbsAg. | Preclinical | [84] | |
| siRNAs by silencing viral RNA (VIR-2218, AB-729, and RG6346) | As an alternative anti-HBV agent, it can inhibit HBV cccDNA amplification by silencing the expression of target genes. | Phase II | [87,88,89,90] |
Disclaimer/Publisher’s Note: The statements, opinions and data contained in all publications are solely those of the individual author(s) and contributor(s) and not of MDPI and/or the editor(s). MDPI and/or the editor(s) disclaim responsibility for any injury to people or property resulting from any ideas, methods, instructions or products referred to in the content. |
© 2023 by the authors. Licensee MDPI, Basel, Switzerland. This article is an open access article distributed under the terms and conditions of the Creative Commons Attribution (CC BY) license (https://creativecommons.org/licenses/by/4.0/).
Share and Cite
Zhuang, A.-Q.; Chen, Y.; Chen, S.-M.; Liu, W.-C.; Li, Y.; Zhang, W.-J.; Wu, Y.-H. Current Status and Challenges in Anti-Hepatitis B Virus Agents Based on Inactivation/Inhibition or Elimination of Hepatitis B Virus Covalently Closed Circular DNA. Viruses 2023, 15, 2315. https://doi.org/10.3390/v15122315
Zhuang A-Q, Chen Y, Chen S-M, Liu W-C, Li Y, Zhang W-J, Wu Y-H. Current Status and Challenges in Anti-Hepatitis B Virus Agents Based on Inactivation/Inhibition or Elimination of Hepatitis B Virus Covalently Closed Circular DNA. Viruses. 2023; 15(12):2315. https://doi.org/10.3390/v15122315
Chicago/Turabian StyleZhuang, An-Qi, Yan Chen, Shan-Mei Chen, Wen-Cheng Liu, Yao Li, Wen-Jie Zhang, and Yi-Hang Wu. 2023. "Current Status and Challenges in Anti-Hepatitis B Virus Agents Based on Inactivation/Inhibition or Elimination of Hepatitis B Virus Covalently Closed Circular DNA" Viruses 15, no. 12: 2315. https://doi.org/10.3390/v15122315
APA StyleZhuang, A.-Q., Chen, Y., Chen, S.-M., Liu, W.-C., Li, Y., Zhang, W.-J., & Wu, Y.-H. (2023). Current Status and Challenges in Anti-Hepatitis B Virus Agents Based on Inactivation/Inhibition or Elimination of Hepatitis B Virus Covalently Closed Circular DNA. Viruses, 15(12), 2315. https://doi.org/10.3390/v15122315
