Stochastic Interventional Vaccine Efficacy and Principal Surrogate Analyses of Antibody Markers as Correlates of Protection against Symptomatic COVID-19 in the COVE mRNA-1273 Trial
Abstract
:1. Introduction
2. Materials and Methods
2.1. COVE Trial and Study Endpoint
2.2. Ethics Statement
2.3. Case-Cohort Sets Included in the Correlates Analyses
2.4. Pseudovirus Neutralizing Antibody Assay
2.5. Binding Antibody Assay
2.6. Stochastic Interventional VE
2.7. Binary Principal Surrogate Evaluation
2.8. Continuous Marker Principal Surrogate Evaluation
3. Results
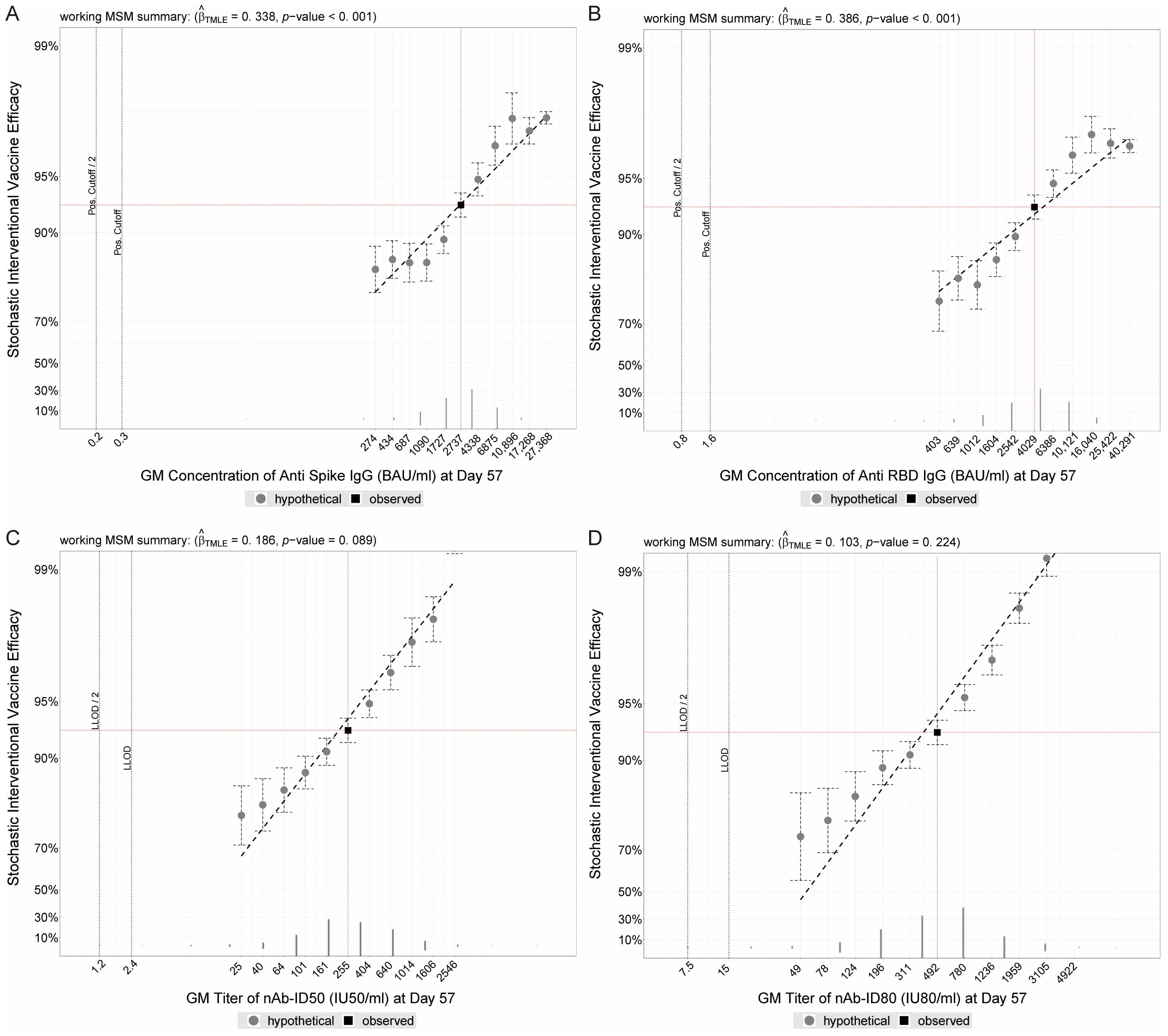
3.1. Stochastic Interventional VE Analysis Supports Each of the Four Antibody Markers as a Correlate of Protection
3.2. Binary Principal Surrogate Analysis Supports Each of the Four Antibody Markers as a Correlate of Protection
3.3. Continuous Principal Surrogate Analysis Supports Each of the Four Antibody Markers as a Correlate of Protection
4. Conclusions
Supplementary Materials
Author Contributions
Funding
Institutional Review Board Statement
Informed Consent Statement
Data Availability Statement
Conflicts of Interest
References
- Baden, L.R.; El Sahly, H.M.; Essink, B.; Kotloff, K.; Frey, S.; Novak, R.; Diemert, D.; Spector, S.A.; Rouphael, N.; Creech, C.B.; et al. Efficacy and Safety of the mRNA-1273 SARS-CoV-2 Vaccine. N. Engl. J. Med. 2021, 384, 403–416. [Google Scholar] [CrossRef] [PubMed]
- El Sahly, H.M.; Baden, L.R.; Essink, B.; Doblecki-Lewis, S.; Martin, J.M.; Anderson, E.J.; Campbell, T.B.; Clark, J.; Jackson, L.A.; Fichtenbaum, C.J.; et al. Efficacy of the mRNA-1273 SARS-CoV-2 Vaccine at Completion of Blinded Phase. N. Engl. J. Med. 2021, 385, 1774–1785. [Google Scholar] [CrossRef]
- Koup, R.A.; Donis, R.O.; Gilbert, P.B.; Li, A.W.; Shah, N.A.; Houchens, C.R. A government-led effort to identify correlates of protection for COVID-19 vaccines. Nat. Med. 2021, 27, 1493–1494. [Google Scholar] [CrossRef] [PubMed]
- USG COVID-19 Response Team/Coronavirus Prevention Network (CoVPN) Biostatistics Team. USG COVID-19 Response Team/CoVPN Vaccine Efficacy Trial Immune Correlates Statistical Analysis Plan. Figshare. Last updated 18 April 2022. Available online: https://figshare.com/articles/online_resource/CoVPN_OWS_COVID-19_Vaccine_Efficacy_Trial_Immune_Correlates_SAP/13198595/13 (accessed on 10 June 2022).
- Gilbert, P.B.; Montefiori, D.C.; McDermott, A.B.; Fong, Y.; Benkeser, D.; Deng, W.; Zhou, H.; Houchens, C.R.; Martins, K.; Jayashankar, L.; et al. Immune correlates analysis of the mRNA-1273 COVID-19 vaccine efficacy clinical trial. Science 2022, 375, 43–50. [Google Scholar] [CrossRef] [PubMed]
- Benkeser, D.; Montefiori, D.C.; McDermott, A.B.; Fong, Y.; Janes, H.E.; Deng, W.; Zhou, H.; Houchens, C.R.; Martins, K.; Jayashankar, L.; et al. Comparing antibody assays as correlates of protection against COVID-19 in the COVE mRNA-1273 vaccine efficacy trial. Sci. Transl. Med. 2023, 15, eade9078. [Google Scholar] [CrossRef] [PubMed]
- Gilbert, P.B.; Fong, Y.; Kenny, A.; Carone, M. A Controlled Effects Approach to Assessing Immune Correlates of Protection. Biostatistics 2022, kxac024. [Google Scholar] [CrossRef]
- Benkeser, D.; Díaz, I.; Ran, J. Inference for natural mediation effects under case-cohort sampling with applications in identifying COVID-19 vaccine correlates of protection. arXiv 2021, arXiv:2103.02643. [Google Scholar] [CrossRef]
- Frangakis, C.E.; Rubin, D.B. Principal stratification in causal inference. Biometrics 2002, 58, 21–29. [Google Scholar] [CrossRef]
- Hejazi, N.S.; van der Laan, M.J.; Janes, H.E.; Gilbert, P.B.; Benkeser, D.C. Efficient nonparametric inference on the effects of stochastic interventions under two-phase sampling, with applications to vaccine efficacy trials. Biometrics 2021, 77, 1241–1253. [Google Scholar] [CrossRef]
- Gilbert, P.B.; Hudgens, M.G. Evaluating candidate principal surrogate endpoints. Biometrics 2008, 64, 1146–1154. [Google Scholar] [CrossRef]
- Prentice, R.L. A case-cohort design for epidemiologic cohort studies and disease prevention trials. Biometrika 1986, 73, 1–11. [Google Scholar] [CrossRef]
- Huang, Y.; Borisov, O.; Kee, J.J.; Carpp, L.N.; Wrin, T.; Cai, S.; Sarzotti-Kelsoe, M.; McDanal, C.; Eaton, A.; Pajon, R.; et al. Calibration of two validated SARS-CoV-2 pseudovirus neutralization assays for COVID-19 vaccine evaluation. Sci. Rep. 2021, 11, 23921. [Google Scholar] [CrossRef] [PubMed]
- National Institute for Biological Standards and Control (NIBSC). Instructions for Use of First WHO International Standard for Anti-SARS-CoV-2 Immunoglobulin (Version 3.0, Dated 17 December 2020) NIBSC Code: 20/136. Available online: https://www.nibsc.org/science_and_research/idd/cfar/covid-19_reagents.aspx (accessed on 29 July 2021).
- Hejazi, N.S.; Benkeser, D. txshift: Efficient estimation of the causal effects of stochastic interventions in R. J. Open Source Softw. 2020, 5, 2447. [Google Scholar] [CrossRef]
- Hejazi, N.S.; Benkeser, D. txshift: Efficient Estimation of the Causal Effects of Stochastic Interventions. 2020. Available online: https://zenodo.org/record/4070043#.Yl61nNPMLq4. (accessed on 28 April 2022).
- Coyle, J.R.; Hejazi, N.S.; Malenica, I.; Sofrygin, O. sl3: Modern Pipelines for Machine Learning and Super Learning. 2021. Available online: https://zenodo.org/record/5802288 (accessed on 28 April 2022).
- Ihaka, R.; Gentleman, R. R: A Language for Data Analysis and Graphics; Taylor & Francis: Abingdon, UK, 1996; pp. 299–314. [Google Scholar]
- R Core Team. R: A Language and Environment for Statistical Computing; R Foundation for Statistical Computing: Vienna, Austria, 2022. [Google Scholar]
- Gilbert, P.B.; Blette, B.S.; Shepherd, B.E.; Hudgens, M.G. Post-randomization Biomarker Effect Modification Analysis in an HIV Vaccine Clinical Trial. J. Causal Inference 2020, 8, 54–69. [Google Scholar] [CrossRef]
- Blette, B.S. Psbinary. Package Implementing Methods for Assessing Effect Modification by a Binary Post-Randomization Variable, as Described in Gilbert et al. 2020, Journal of Causal Inference. Available online: https://github.com/bblette1/psbinary (accessed on 28 April 2022).
- Huang, Y.; Zhuang, Y.; Gilbert, P. Sensitivity analysis for evaluating principal surrogate endpoints relaxing the equal early clinical risk assumption. Ann. Appl. Stat. 2022, 16, 1774–1794. [Google Scholar] [CrossRef]
- Vansteelandt, S.; Goetghebeur, E.; Kenward, M.G.; Molenberghs, G. Ignorance and uncertainty regions as inferential tools in a sensitivity analysis. Stat. Sin. 2006, 16, 953–979. [Google Scholar]
- Benkeser, D.; Fong, Y.; Janes, H.E.; Kelly, E.J.; Hirsch, I.; Sproule, S.; Stanley, A.M.; Maaske, J.; Villafana, T.; Houchens, C.R.; et al. Immune correlates analysis of a phase 3 trial of the AZD1222 (ChAdOx1 nCoV-19) vaccine. NPJ Vaccines 2023, 8, 36. [Google Scholar] [CrossRef]
- Fong, Y.; Huang, Y.; Benkeser, D.; Carpp, L.N.; Áñez, G.; Woo, W.; McGarry, A.; Dunkle, L.M.; Cho, I.; Houchens, C.R.; et al. Immune correlates analysis of the PREVENT-19 COVID-19 vaccine efficacy clinical trial. Nat. Commun. 2023, 14, 331. [Google Scholar] [CrossRef]
- Pajon, R.; Paila, Y.D.; Girard, B.; Dixon, G.; Kacena, K.; Baden, L.R.; El Sahly, H.M.; Essink, B.; Mullane, K.M.; Frank, I.; et al. Initial analysis of viral dynamics and circulating viral variants during the mRNA-1273 Phase 3 COVE trial. Nat. Med. 2022, 28, 823–830. [Google Scholar] [CrossRef]
- Holland, P.W. Statistics and Causal Inference. J. Am. Stat. Assoc. 1986, 81, 945–960. [Google Scholar] [CrossRef]
- Moodie, Z.; Juraska, M.; Huang, Y.; Zhuang, Y.; Fong, Y.; Carpp, L.N.; Self, S.G.; Chambonneau, L.; Small, R.; Jackson, N.; et al. Neutralizing Antibody Correlates Analysis of Tetravalent Dengue Vaccine Efficacy Trials in Asia and Latin America. J. Infect. Dis. 2018, 217, 742–753. [Google Scholar] [CrossRef] [PubMed]
- Gilbert, P.B.; Gabriel, E.E.; Miao, X.; Li, X.; Su, S.C.; Parrino, J.; Chan, I.S. Fold rise in antibody titers by measured by glycoprotein-based enzyme-linked immunosorbent assay is an excellent correlate of protection for a herpes zoster vaccine, demonstrated via the vaccine efficacy curve. J. Infect. Dis. 2014, 210, 1573–1581. [Google Scholar] [CrossRef] [PubMed]
- Haynes, B.F.; Gilbert, P.B.; McElrath, M.J.; Zolla-Pazner, S.; Tomaras, G.D.; Alam, S.M.; Evans, D.T.; Montefiori, D.C.; Karnasuta, C.; Sutthent, R.; et al. Immune-correlates analysis of an HIV-1 vaccine efficacy trial. N. Engl. J. Med. 2012, 366, 1275–1286. [Google Scholar] [CrossRef] [PubMed]
- Fong, Y.; Huang, Y.; Borate, B.; van der Laan, L.W.; Zhang, W.; Carpp, L.N.; Cho, I.; Glenn, G.; Fries, L.; Gottardo, R.; et al. Antibody Correlates of Protection from Severe Respiratory Syncytial Virus Disease in a Vaccine Efficacy Trial. Open Forum Infect. Dis. 2023, 10, ofac693. [Google Scholar] [CrossRef] [PubMed]
- Gilbert, P.B.; Fong, Y.; Juraska, M.; Carpp, L.N.; Monto, A.S.; Martin, E.T.; Petrie, J.G. HAI and NAI titer correlates of inactivated and live attenuated influenza vaccine efficacy. BMC Infect. Dis. 2019, 19, 453. [Google Scholar] [CrossRef]



| Statistical Framework for Assessing a CoP | Objective of the CoP Analysis Applied to an Immune Marker in COVE |
|---|---|
| Controlled vaccine efficacy (VE) [7] | To assess the vaccine efficacy that would be observed under a hypothetical intervention that assigns all participants to the vaccine arm and to a specific value of the marker, as opposed to assigning all participants to placebo * |
| Mediation of VE [8] | To assess the proportion of the overall VE against COVID-19 that is mediated through the marker, through assessment of the natural direct effect (NDE) of vaccine assignment on COVID-19 (NDE = the component of VE that remains after setting (deactivating) the marker to the level it would have if assigned to the placebo arm) |
| Stochastic interventional VE [10] | To assess how overall VE would change under user-specified shifts of marker values of vaccine recipients from their observed values |
| Principal surrogate VE [11] | To assess how VE varies over subgroups defined by the marker value if assigned to the vaccine arm |
| VE(0) | VE(1) | (1 − VE(0))/(1 − VE(1)) | |||||
|---|---|---|---|---|---|---|---|
| Low Marker Vaccine Subgroup | High Marker Vaccine Subgroup | Relative Risk Ratio | |||||
| Marker | Sens. * | Ignorance Interval | 95% Estimated Uncertainty Interval | Ignorance Interval | 95% Estimated Uncertainty Interval | Ignorance Interval | 95% Estimated Uncertainty Interval |
| D57 Spike IgG | None | (0.88, 0.88) | (0.81, 0.92) | (0.95, 0.95) | (0.92, 0.97) | (2.54, 2.54) | (1.31, 4.93) |
| D57 Spike IgG | Med | (0.85, 0.90) | (0.78, 0.93) | (0.95, 0.96) | (0.92, 0.97) | (1.93, 3.35) | (1.11, 5.83) |
| D57 Spike IgG | High | (0.80, 0.92) | (0.70, 0.95) | (0.94, 0.96) | (0.91, 0.98) | (1.30, 5.08) | (0.72, 9.69) |
| D57 RBD IgG | None | (0.89, 0.89) | (0.81, 0.93) | (0.95, 0.95) | (0.92, 0.97) | (2.26, 2.26) | (1.17, 4.37) |
| D57 RBD IgG | Med | (0.86, 0.90) | (0.79, 0.94) | (0.94, 0.95) | (0.92, 0.97) | (1.72, 2.97) | (0.99, 5.17) |
| D57 RBD IgG | High | (0.81, 0.93) | (0.72, 0.95) | (0.93, 0.96) | (0.90, 0.98) | (1.15, 4.50) | (0.64, 8.48) |
| D57 nAb-ID50 | None | (0.90, 0.90) | (0.84, 0.93) | (0.95, 0.95) | (0.92, 0.97) | (2.25, 2.25) | (1.14, 4.46) |
| D57 nAb-ID50 | Med | (0.88, 0.91) | (0.83, 0.94) | (0.95, 0.96) | (0.92, 0.97) | (1.71, 2.97) | (0.97, 5.26) |
| D57 nAb-ID50 | High | (0.84, 0.93) | (0.78, 0.95) | (0.94, 0.97) | (0.90, 0.98) | (1.15, 4.50) | (0.63, 8.95) |
| D57 nAb-ID80 | None | (0.91, 0.91) | (0.86, 0.95) | (0.94, 0.94) | (0.91, 0.96) | (1.46, 1.46) | (0.76, 2.82) |
| D57 nAb-ID80 | Med | (0.90, 0.93) | (0.85, 0.95) | (0.93, 0.95) | (0.90, 0.97) | (1.11, 1.92) | (0.64, 3.34) |
| D57 nAb-ID80 | High | (0.87, 0.94) | (0.80, 0.96) | (0.92, 0.95) | (0.88, 0.97) | (0.74, 2.90) | (0.41, 5.37) |
| Vaccine Efficacy (S_alpha) | |||||||||
|---|---|---|---|---|---|---|---|---|---|
| Marker | Assumption | Alpha = 0.025 | 0.05 | 0.1 | 0.5 | 0.9 | 0.95 | 0.975 | |
| D57 Spike IgG | Concentration (BAU/mL) | 519.4 | 862.1 | 1224 | 2926.2 | 6169.4 | 7724.8 | 9262.9 | |
| EECR | Estimate (%) | 91.7 | 92.5 | 93 | 94.2 | 95.0 | 95.1 | 95.2 | |
| CI (%) | (86.7, 94.8) | (88.8, 95) | (90.1, 95.1) | (91.5, 96) | (91.9, 96.9) | (91.6, 97.1) | (91.2, 97.4) | ||
| NEH | IGI (%) | [92.6, 93.4] | [93, 93.7] | [93.3, 93.9] | [93.9, 94.3] | [94.2, 94.5] | [94.2, 94.6] | [94.3, 94.6] | |
| EUI (%) | (89.2, 95.7) | (90.1, 95.7) | (90.5, 95.7) | (91, 96.1) | (90.7, 96.6) | (90.3, 96.8) | (89.7, 97) | ||
| D57 RBD IgG | Concentration (BAU/mL) | 637.9 | 1093.5 | 1670.9 | 4423.3 | 9361.8 | 11,560.8 | 13,793.5 | |
| EECR | Estimate (%) | 90.6 | 91.8 | 92.6 | 94.1 | 95 | 95.2 | 95.4 | |
| CI (%) | (84.4, 94.4) | (87.4, 94.7) | (89.4, 94.8) | (91.4, 95.9) | (91.7, 97) | (91.8, 97.2) | (91.8, 97.5) | ||
| NEH | IGI (%) | [92.6, 93.2] | [93.2, 93.6] | [93.5, 93.9] | [93.9, 94.7] | [94.2, 95.2] | [94.3, 95.4] | [94.3, 95.5] | |
| EUI (%) | (89.3, 95.5) | (90.4, 95.6) | (90.9, 95.6) | (91.1, 96.4) | (90.7, 97) | (90.5, 97.2) | (90.1, 97.3) | ||
| D57 nAb-ID50 | Titer (IU50/mL) | 33 | 60.8 | 88.7 | 248.1 | 786.5 | 1100.8 | 1320.8 | |
| EECR | Estimate (%) | 91.5 | 92.3 | 92.9 | 94.2 | 95.2 | 95.5 | 95.6 | |
| CI (%) | (84.6, 95.3) | (88, 95.1) | (89.5, 95.1) | (91.6, 96) | (91.2, 97.4) | (90.7, 97.8) | (90.3, 98) | ||
| NEH | IGI (%) | [90.9, 91.7] | [92, 92.7] | [92.6, 93.2] | [94.2, 94.7] | [95.2, 95.7] | [95.5, 96] | [95.6, 96.2] | |
| EUI (%) | (87, 94.2) | (88.7, 94.8) | (89.6, 95.2) | (91.3, 96.4) | (91.6, 97.5) | (91.6, 97.8) | (91.6, 98) | ||
| D57 nAb-ID80 | Titer (IU80/mL) | 94.7 | 130.6 | 161.7 | 544.9 | 1248.9 | 1871.8 | 2385 | |
| EECR | Estimate (%) | 90.8 | 91.5 | 92 | 94.3 | 95.2 | 95.6 | 95.9 | |
| CI (%) | (84.4, 94.6) | (86.7, 94.6) | (88, 94.6) | (91.4, 96.2) | (91, 97.4) | (90.7, 97.9) | (90.3, 98.2) | ||
| NEH | IGI (%) | [90.9, 92.1] | [91.5, 92.7] | [91.9, 93] | [94, 94.9] | [94.6, 95.8] | [94.9, 96.2] | [95.1, 96.4] | |
| EUI (%) | (86.9, 94.5) | (87.8, 94.8) | (88.4, 95.1) | (91, 96.6) | (90.9, 97.5) | (90.6, 97.9) | (90.4, 98.1) | ||
Disclaimer/Publisher’s Note: The statements, opinions and data contained in all publications are solely those of the individual author(s) and contributor(s) and not of MDPI and/or the editor(s). MDPI and/or the editor(s) disclaim responsibility for any injury to people or property resulting from any ideas, methods, instructions or products referred to in the content. |
© 2023 by the authors. Licensee MDPI, Basel, Switzerland. This article is an open access article distributed under the terms and conditions of the Creative Commons Attribution (CC BY) license (https://creativecommons.org/licenses/by/4.0/).
Share and Cite
Huang, Y.; Hejazi, N.S.; Blette, B.; Carpp, L.N.; Benkeser, D.; Montefiori, D.C.; McDermott, A.B.; Fong, Y.; Janes, H.E.; Deng, W.; et al. Stochastic Interventional Vaccine Efficacy and Principal Surrogate Analyses of Antibody Markers as Correlates of Protection against Symptomatic COVID-19 in the COVE mRNA-1273 Trial. Viruses 2023, 15, 2029. https://doi.org/10.3390/v15102029
Huang Y, Hejazi NS, Blette B, Carpp LN, Benkeser D, Montefiori DC, McDermott AB, Fong Y, Janes HE, Deng W, et al. Stochastic Interventional Vaccine Efficacy and Principal Surrogate Analyses of Antibody Markers as Correlates of Protection against Symptomatic COVID-19 in the COVE mRNA-1273 Trial. Viruses. 2023; 15(10):2029. https://doi.org/10.3390/v15102029
Chicago/Turabian StyleHuang, Ying, Nima S. Hejazi, Bryan Blette, Lindsay N. Carpp, David Benkeser, David C. Montefiori, Adrian B. McDermott, Youyi Fong, Holly E. Janes, Weiping Deng, and et al. 2023. "Stochastic Interventional Vaccine Efficacy and Principal Surrogate Analyses of Antibody Markers as Correlates of Protection against Symptomatic COVID-19 in the COVE mRNA-1273 Trial" Viruses 15, no. 10: 2029. https://doi.org/10.3390/v15102029
APA StyleHuang, Y., Hejazi, N. S., Blette, B., Carpp, L. N., Benkeser, D., Montefiori, D. C., McDermott, A. B., Fong, Y., Janes, H. E., Deng, W., Zhou, H., Houchens, C. R., Martins, K., Jayashankar, L., Flach, B., Lin, B. C., O’Connell, S., McDanal, C., Eaton, A., ... United States Government (USG)/CoVPN Biostatistics Teams. (2023). Stochastic Interventional Vaccine Efficacy and Principal Surrogate Analyses of Antibody Markers as Correlates of Protection against Symptomatic COVID-19 in the COVE mRNA-1273 Trial. Viruses, 15(10), 2029. https://doi.org/10.3390/v15102029

