Expression Profile of Human Renal Mesangial Cells Is Altered by Infection with Pathogenic Puumala Orthohantavirus
Abstract
:1. Introduction
2. Materials and Methods
2.1. Cells and Viruses
2.2. Kinetics of Infection and Release
2.3. Immunofluorescence and Western Blot
2.4. Flow Cytometry Analysis
2.5. Viability Assay
2.6. Motility Assay
2.7. Adhesion Assay
2.8. Patient Samples
2.9. Proteome Profiler
2.10. Statistical Analysis
3. Results
3.1. Characterization of Cells
3.2. Infection of HRMCs with PUUV
3.3. Infection of HRMCS with TULV
3.4. Expression of Integrin β3 and β1 as Hantaviral Receptors
3.5. Functional Consequences in PUUV-Infected HRMCs
3.6. Analysis of Proteome Profile in Supernatants of Infected HRMCs
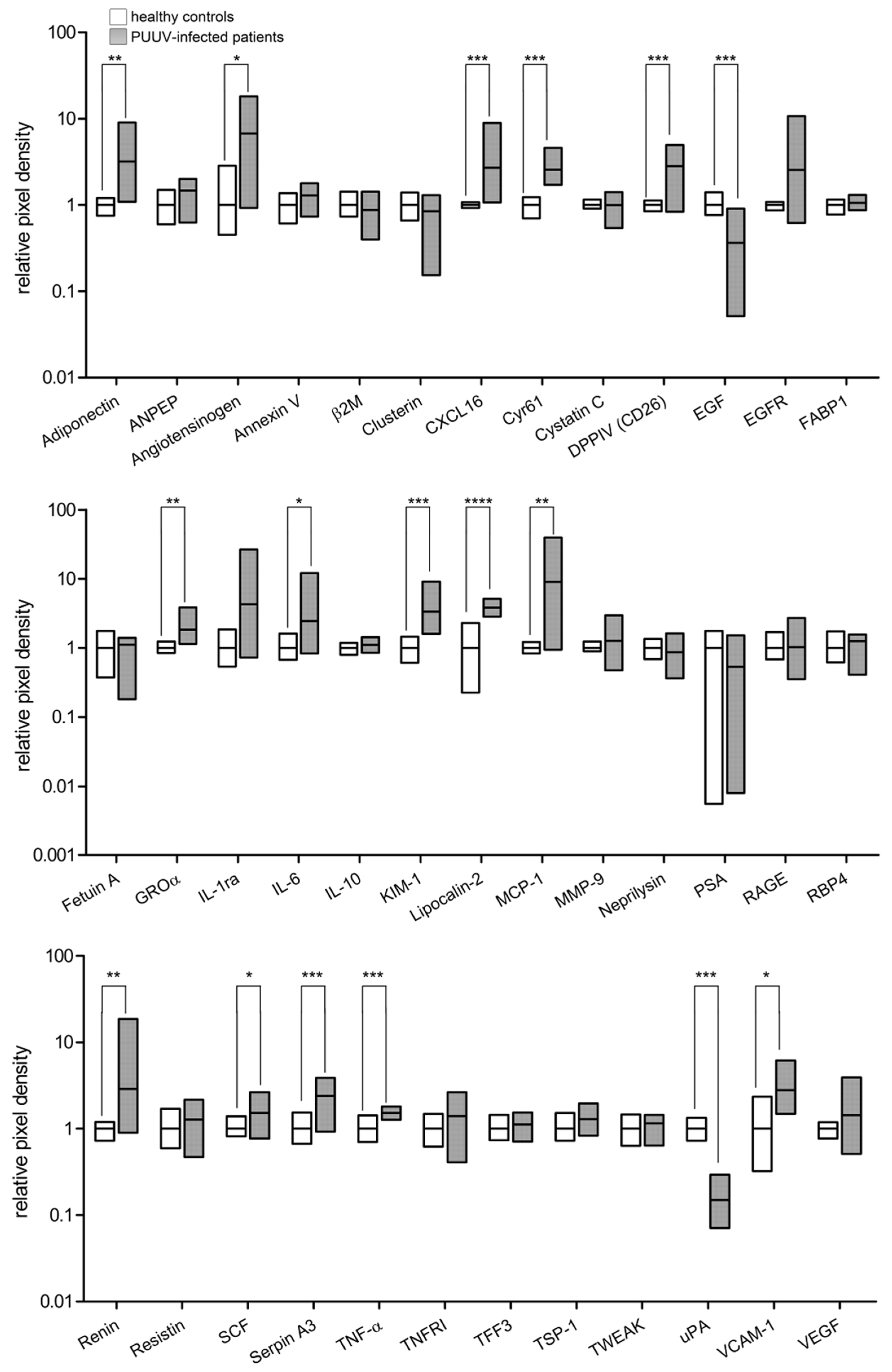
3.7. Urinary Proteome Profile of Patients with Acute Hantavirus Infection
4. Discussion
5. Conclusions
Author Contributions
Funding
Institutional Review Board Statement
Informed Consent Statement
Data Availability Statement
Acknowledgments
Conflicts of Interest
Abbreviations
| α-SMA | α-smooth muscle actin |
| AKI | acute kidney injury |
| ANPEP | aminopeptidase N |
| APC | allophycocyanin |
| β2M | β2-microglobulin |
| BKV | BK virus |
| CHO | Chinese hamster ovary |
| CK18 | cytokeratin 18 |
| CRP | C-reactive protein |
| CXCL16 | CXC-motif ligand 16 |
| Cyr61 | cysteine-rich angiogenic inducer 61 |
| DOBV | Dobrava-Belgrade virus |
| dpi | days post infection |
| DPPIV | dipeptidyl peptidase IV |
| EGF | epidermal growth factor |
| EGFR | EGF receptor |
| FABP1 | fatty acid binding protein 1 |
| Groα | growth-regulated oncogene α |
| HCMV | human cytomegalovirus |
| HCPS | hantaviral cardiopulmonary syndrome |
| HFRS | hemorrhagic fever with renal syndrome |
| HIV | human immunodeficiency virus |
| HMEC-1 | human microvascular endothelial cell-1 |
| HRMC | human renal mesangial cell |
| HTNV | Hantaan virus |
| HUVEC | human umbilical vein endothelial cell |
| IL | interleukin |
| IL-1ra | IL-1 receptor antagonist |
| IU | infectious units |
| KIM-1 | kidney injury molecule-1 |
| KURV | Kurkino virus |
| LDH | lactate dehydrogenase |
| MCP-1 | monocytes chemoattractant protein-1 |
| MMP-9 | matrix metallopeptidase-9 |
| MOI | multiplicity of infection |
| N protein | nucleocapsid protein |
| NGAL | neutrophil gelatinase-associated lipocalin |
| ns | not significant |
| PAI-1 | plasminogen activator inhibitor-1 |
| PBS | phosphate buffered saline |
| PE | phycoerythrin |
| PMA | phorbol myristate acetate |
| PSA | prostate specific antigen |
| PUUV | Puumala virus |
| RAGE | receptor for advanced glycation end products |
| RBP4 | retinol binding protein 4 |
| SARS-CoV | severe acute respiratory syndrome coronavirus |
| SCF | stem cell factor |
| SD | standard deviation |
| SOCV | Sochi virus |
| suPAR | soluble urokinase plasminogen activator receptor |
| TFF3 | trefoil factor 3 |
| TNF-α | tumor necrosis factor-α |
| TNFR1 | TNF receptor type 1 |
| TSP-1 | thrombospondin-1 |
| TULV | Tula virus |
| uPA | urokinase-type plasminogen activator |
| TWEAK | tumor necrosis factor-like weak inducer of apoptosis |
| VCAM-1 | vascular cell adhesion molecule-1 |
| VEGF | vascular endothelial growth factor |
References
- Vaheri, A.; Strandin, T.; Hepojoki, J.; Sironen, T.; Henttonen, H.; Makela, S.; Mustonen, J. Uncovering the mysteries of hantavirus infections. Nat. Rev. Microbiol. 2013, 11, 539–550. [Google Scholar] [CrossRef] [PubMed]
- Nusshag, C.; Stütz, A.; Hägele, S.; Speer, C.; Kälble, F.; Eckert, C.; Brenner, T.; Weigand, M.A.; Morath, C.; Reiser, J.; et al. Glomerular filtration barrier dysfunction in a self-limiting, RNA virus-induced glomerulopathy resembles findings in idiopathic nephrotic syndromes. Sci. Rep. 2020, 10, 19117. [Google Scholar] [CrossRef] [PubMed]
- Klempa, B.; Avsic-Zupanc, T.; Clement, J.; Dzagurova, T.K.; Henttonen, H.; Heyman, P.; Jakab, F.; Krüger, D.H.; Maes, P.; Papa, A.; et al. Complex evolution and epidemiology of Dobrava-Belgrade hantavirus: Definition of genotypes and their characteristics. Arch. Virol. 2013, 158, 521–529. [Google Scholar] [CrossRef] [PubMed] [Green Version]
- Hofmann, J.; Kramer, S.; Herrlinger, K.R.; Jeske, K.; Kuhns, M.; Weiss, S.; Ulrich, R.G.; Krüger, D.H. Tula Virus as Causative Agent of Hantavirus Disease in Immunocompetent Person, Germany. Emerg. Infect. Dis. 2021, 27, 1234–1237. [Google Scholar] [CrossRef] [PubMed]
- Hung, T.; Zhou, J.Y.; Tang, Y.M.; Zhao, T.X.; Baek, L.J.; Lee, H.W. Identification of Hantaan virus-related structures in kidneys of cadavers with haemorrhagic fever with renal syndrome. Arch. Virol. 1992, 122, 187–199. [Google Scholar] [PubMed]
- Krautkrämer, E.; Grouls, S.; Stein, N.; Reiser, J.; Zeier, M. Pathogenic old world hantaviruses infect renal glomerular and tubular cells and induce disassembling of cell-to-cell contacts. J. Virol. 2011, 85, 9811–9823. [Google Scholar] [CrossRef] [PubMed] [Green Version]
- Kim, S.; Kang, E.T.; Kim, Y.G.; Han, J.S.; Lee, J.S.; Kim, Y.I.; Hall, W.C.; Dalrymple, J.M.; Peters, C.J. Localization of Hantaan viral envelope glycoproteins by monoclonal antibodies in renal tissues from patients with Korean hemorrhagic fever H. Am. J. Clin. Pathol. 1993, 100, 398–403. [Google Scholar] [CrossRef] [Green Version]
- Groen, J.; Bruijn, J.A.; Gerding, M.N.; Jordans, J.G.; Moll van Charante, A.W.; Osterhaus, A.D. Hantavirus antigen detection in kidney biopsies from patients with nephropathia epidemica. Clin. Nephrol. 1996, 46, 379–383. [Google Scholar]
- Collan, Y.; Lahdevirta, J.; Jokinen, E.J. Electron Microscopy of Nephropathia Epidemica. Glomerular changes. Virchows Archiv. A Pathol. Anat. Histol. 1978, 377, 129–144. [Google Scholar] [CrossRef]
- Boehlke, C.; Hartleben, B.; Huber, T.B.; Hopfer, H.; Walz, G.; Neumann-Haefelin, E. Hantavirus infection with severe proteinuria and podocyte foot-process effacement. Am. J. Kidney Dis. 2014, 64, 452–456. [Google Scholar] [CrossRef]
- Ferluga, D.; Vizjak, A. Hantavirus nephropathy. J. Am. Soc. Nephrol. 2008, 19, 1653–1658. [Google Scholar] [CrossRef] [PubMed] [Green Version]
- Guo, J.; Guo, X.; Wang, Y.; Tian, F.; Luo, W.; Zou, Y. Cytokine response to Hantaan virus infection in patients with hemorrhagic fever with renal syndrome. J. Med. Virol. 2017, 89, 1139–1145. [Google Scholar] [CrossRef]
- Korva, M.; Rus, K.R.; Pavletic, M.; Saksida, A.; Knap, N.; Jelovsek, M.; Smrdel, K.S.; Jakupi, X.; Humolli, I.; Dedushaj, J.; et al. Characterization of Biomarker Levels in Crimean-Congo Hemorrhagic Fever and Hantavirus Fever with Renal Syndrome. Viruses 2019, 11, 686. [Google Scholar] [CrossRef] [PubMed] [Green Version]
- Saksida, A.; Wraber, B.; Avsic-Zupanc, T. Serum levels of inflammatory and regulatory cytokines in patients with hemorrhagic fever with renal syndrome. BMC Infect. Dis. 2011, 11, 142. [Google Scholar] [CrossRef] [PubMed] [Green Version]
- Baigildina, A.A.; Khaiboullina, S.F.; Martynova, E.V.; Anokhin, V.A.; Lombardi, V.C.; Rizvanov, A.A. Inflammatory cytokines kinetics define the severity and phase of nephropathia epidemica. Biomark. Med. 2015, 9, 99–107. [Google Scholar] [CrossRef]
- Kyriakidis, I.; Papa, A. Serum TNF-α, sTNFR1, IL-6, IL-8 and IL-10 levels in hemorrhagic fever with renal syndrome. Virus Res. 2013, 175, 91–94. [Google Scholar] [CrossRef] [PubMed]
- Tsergouli, K.; Papa, A. Immune response in Dobrava-Belgrade virus infections. Arch. Virol. 2016, 161, 3413–3420. [Google Scholar] [CrossRef]
- Outinen, T.K.; Makela, S.; Porsti, I.; Vaheri, A.; Mustonen, J. Severity Biomarkers in Puumala Hantavirus Infection. Viruses 2021, 14, 45. [Google Scholar] [CrossRef]
- Bunz, H.; Weyrich, P.; Peter, A.; Baumann, D.; Tschritter, O.; Guthoff, M.; Beck, R.; Jahn, G.; Artunc, F.; Häring, H.U.; et al. Urinary Neutrophil Gelatinase-Associated Lipocalin (NGAL) and proteinuria predict severity of acute kidney injury in Puumala virus infection. BMC Infect. Dis. 2015, 15, 464. [Google Scholar] [CrossRef] [Green Version]
- Outinen, T.K.; Mäkelä, S.; Huttunen, R.; Mäenpää, N.; Libraty, D.; Vaheri, A.; Mustonen, J.; Aittoniemi, J. Urine soluble urokinase-type plasminogen activator receptor levels correlate with proteinuria in Puumala hantavirus infection. J. Intern. Med. 2014, 276, 387–395. [Google Scholar] [CrossRef]
- Schlöndorff, D.; Banas, B. The mesangial cell revisited: No cell is an island. J. Am. Soc. Nephrol. 2009, 20, 1179–1187. [Google Scholar] [CrossRef] [PubMed] [Green Version]
- Bourquain, D.; Bodenstein, C.; Schurer, S.; Schaade, L. Puumala and Tula Virus Differ in Replication Kinetics and Innate Immune Stimulation in Human Endothelial Cells and Macrophages. Viruses 2019, 11, 855. [Google Scholar] [CrossRef] [PubMed] [Green Version]
- Temonen, M.; Vapalahti, O.; Holthofer, H.; Brummer-Korvenkontio, M.; Vaheri, A.; Lankinen, H. Susceptibility of human cells to Puumala virus infection. J. Gen. Virol. 1993, 74, 515–518. [Google Scholar] [CrossRef] [PubMed]
- Wright, R.D.; Dimou, P.; Northey, S.J.; Beresford, M.W. Mesangial cells are key contributors to the fibrotic damage seen in the lupus nephritis glomerulus. J. Inflamm. 2019, 16, 22. [Google Scholar] [CrossRef]
- Segerer, S.; Nelson, P.J.; Schlondorff, D. Chemokines, chemokine receptors, and renal disease: From basic science to pathophysiologic and therapeutic studies. J. Am. Soc. Nephrol. 2000, 11, 152–176. [Google Scholar] [CrossRef]
- Chung, A.C.; Lan, H.Y. Chemokines in renal injury. J. Am. Soc. Nephrol. 2011, 22, 802–809. [Google Scholar] [CrossRef] [Green Version]
- Heieren, M.H.; Kim, Y.K.; Balfour, H.H., Jr. Human cytomegalovirus infection of kidney glomerular visceral epithelial and tubular epithelial cells in culture. Transplantation 1988, 46, 426–432. [Google Scholar] [CrossRef]
- Popik, W.; Correa, H.; Khatua, A.; Aronoff, D.M.; Alcendor, D.J. Mesangial cells, specialized renal pericytes and cytomegalovirus infectivity: Implications for HCMV pathology in the glomerular vascular unit and post-transplant renal disease. J. Transl. Sci. 2019, 5. [Google Scholar] [CrossRef]
- Popik, W.; Khatua, A.K.; Fabre, N.F.; Hildreth, J.E.K.; Alcendor, D.J. BK Virus Replication in the Glomerular Vascular Unit: Implications for BK Virus Associated Nephropathy. Viruses 2019, 11, 583. [Google Scholar] [CrossRef] [Green Version]
- Alcendor, D.J. Zika Virus Infection of the Human Glomerular Cells: Implications for Viral Reservoirs and Renal Pathogenesis. J. Infect. Dis. 2017, 216, 162–171. [Google Scholar] [CrossRef]
- Tokizawa, S.; Shimizu, N.; Hui-Yu, L.; Deyu, F.; Haraguchi, Y.; Oite, T.; Hoshino, H. Infection of mesangial cells with HIV and SIV: Identification of GPR1 as a coreceptor. Kidney Int. 2000, 58, 607–617. [Google Scholar] [CrossRef] [PubMed] [Green Version]
- Pacciarini, F.; Ghezzi, S.; Canducci, F.; Sims, A.; Sampaolo, M.; Ferioli, E.; Clementi, M.; Poli, G.; Conaldi, P.G.; Baric, R.; et al. Persistent replication of severe acute respiratory syndrome coronavirus in human tubular kidney cells selects for adaptive mutations in the membrane protein. J. Virol. 2008, 82, 5137–5144. [Google Scholar] [CrossRef] [PubMed] [Green Version]
- Saleem, M.A.; O’Hare, M.J.; Reiser, J.; Coward, R.J.; Inward, C.D.; Farren, T.; Xing, C.Y.; Ni, L.; Mathieson, P.W.; Mundel, P. A conditionally immortalized human podocyte cell line demonstrating nephrin and podocin expression. J. Am. Soc. Nephrol. 2002, 13, 630–638. [Google Scholar] [CrossRef]
- Hägele, S.; Nusshag, C.; Müller, A.; Baumann, A.; Zeier, M.; Krautkrämer, E. Cells of the human respiratory tract support the replication of pathogenic Old World orthohantavirus Puumala. Virol. J. 2021, 18, 169. [Google Scholar] [CrossRef] [PubMed]
- Sarrab, R.M.; Lennon, R.; Ni, L.; Wherlock, M.D.; Welsh, G.I.; Saleem, M.A. Establishment of conditionally immortalized human glomerular mesangial cells in culture, with unique migratory properties. Am. J. Physiol. Renal. Physiol. 2011, 301, F1131–F1138. [Google Scholar] [CrossRef] [PubMed] [Green Version]
- Gavrilovskaya, I.N.; Brown, E.J.; Ginsberg, M.H.; Mackow, E.R. Cellular entry of hantaviruses which cause hemorrhagic fever with renal syndrome is mediated by beta3 integrins. J. Virol. 1999, 73, 3951–3959. [Google Scholar] [CrossRef] [Green Version]
- Krautkrämer, E.; Zeier, M. Hantavirus causing hemorrhagic fever with renal syndrome enters from the apical surface and requires decay-accelerating factor (DAF/CD55). J. Virol. 2008, 82, 4257–4264. [Google Scholar] [CrossRef] [Green Version]
- Raymond, T.; Gorbunova, E.; Gavrilovskaya, I.N.; Mackow, E.R. Pathogenic hantaviruses bind plexin-semaphorin-integrin domains present at the apex of inactive, bent alphavbeta3 integrin conformers. Proc. Natl. Acad. Sci. USA 2005, 102, 1163–1168. [Google Scholar] [CrossRef] [Green Version]
- Mackow, E.R.; Gavrilovskaya, I.N. Hantavirus regulation of endothelial cell functions. Thromb. Haemost. 2009, 102, 1030–1041. [Google Scholar]
- Hägele, S.; Müller, A.; Nusshag, C.; Reiser, J.; Zeier, M.; Krautkrämer, E. Virus- and cell type-specific effects in orthohantavirus infection. Virus Res. 2019, 260, 102–113. [Google Scholar] [CrossRef]
- Hägele, S.; Müller, A.; Nusshag, C.; Reiser, J.; Zeier, M.; Krautkrämer, E. Motility of human renal cells is disturbed by infection with pathogenic hantaviruses. BMC Infect. Dis. 2018, 18, 645. [Google Scholar] [CrossRef]
- Mäkelä, S.; Mustonen, J.; Ala-Houhala, I.; Hurme, M.; Koivisto, A.M.; Vaheri, A.; Pasternack, A. Urinary excretion of interleukin-6 correlates with proteinuria in acute Puumala hantavirus-induced nephritis. Am. J. Kidney Dis. 2004, 43, 809–816. [Google Scholar] [CrossRef] [PubMed]
- Temonen, M.; Mustonen, J.; Helin, H.; Pasternack, A.; Vaheri, A.; Holthofer, H. Cytokines, adhesion molecules, and cellular infiltration in nephropathia epidemica kidneys: An immunohistochemical study. Clin. Immunol. Immunopathol. 1996, 78, 47–55. [Google Scholar] [CrossRef] [PubMed]
- Popugaeva, E.; Witkowski, P.T.; Schlegel, M.; Ulrich, R.G.; Auste, B.; Rang, A.; Krüger, D.H.; Klempa, B. Dobrava-Belgrade hantavirus from Germany shows receptor usage and innate immunity induction consistent with the pathogenicity of the virus in humans. PLoS ONE 2012, 7, e35587. [Google Scholar] [CrossRef] [PubMed] [Green Version]
- Klempa, B.; Witkowski, P.T.; Popugaeva, E.; Auste, B.; Koivogui, L.; Fichet-Calvet, E.; Strecker, T.; Ter Meulen, J.; Krüger, D.H. Sangassou virus, the first hantavirus isolate from Africa, displays distinct genetic and functional properties in the group of Murinae-associated hantaviruses. J. Virol. 2012, 86, 3819–3827. [Google Scholar] [CrossRef] [PubMed] [Green Version]
- Buranda, T.; Wu, Y.; Perez, D.; Jett, S.D.; BonduHawkins, V.; Ye, C.; Edwards, B.; Hall, P.; Larson, R.S.; Lopez, G.P.; et al. Recognition of decay accelerating factor and alpha(v)beta(3) by inactivated hantaviruses: Toward the development of high-throughput screening flow cytometry assays. Anal. Biochem. 2010, 402, 151–160. [Google Scholar] [CrossRef] [Green Version]
- Choi, Y.; Kwon, Y.C.; Kim, S.I.; Park, J.M.; Lee, K.H.; Ahn, B.Y. A hantavirus causing hemorrhagic fever with renal syndrome requires gC1qR/p32 for efficient cell binding and infection. Virology 2008, 381, 178–183. [Google Scholar] [CrossRef] [Green Version]
- Jangra, R.K.; Herbert, A.S.; Li, R.; Jae, L.T.; Kleinfelter, L.M.; Slough, M.M.; Barker, S.L.; Guardado-Calvo, P.; Roman-Sosa, G.; Dieterle, M.E.; et al. Protocadherin-1 is essential for cell entry by New World hantaviruses. Nature 2018, 563, 559–563. [Google Scholar] [CrossRef]
- Mayor, J.; Torriani, G.; Rothenberger, S.; Engler, O. T-cell immunoglobulin and mucin (TIM) contributes to the infection of human airway epithelial cells by pseudotype viruses containing Hantaan virus glycoproteins. Virology 2020, 543, 54–62. [Google Scholar] [CrossRef]
- Merkle, M.; Ribeiro, A.; Köppel, S.; Pircher, J.; Mannell, H.; Roeder, M.; Wörnle, M. TLR3-dependent immune regulatory functions of human mesangial cells. Cell. Mol. Immunol. 2012, 9, 334–340. [Google Scholar] [CrossRef]
- Geimonen, E.; Neff, S.; Raymond, T.; Kocer, S.S.; Gavrilovskaya, I.N.; Mackow, E.R. Pathogenic and nonpathogenic hantaviruses differentially regulate endothelial cell responses. Proc. Natl. Acad. Sci. USA 2002, 99, 13837–13842. [Google Scholar] [CrossRef] [Green Version]
- Gesualdo, L.; Di Paolo, S.; Calabró, A.; Milani, S.; Maiorano, E.; Ranieri, E.; Pannarale, G.; Schena, F.P. Expression of epidermal growth factor and its receptor in normal and diseased human kidney: An immunohistochemical and in situ hybridization study. Kidney Int. 1996, 49, 656–665. [Google Scholar] [CrossRef] [PubMed] [Green Version]
- Taira, T.; Yoshimura, A.; Iizuka, K.; Iwasaki, S.; Ideura, T.; Koshikawa, S. Urinary epidermal growth factor levels in patients with acute renal failure. Am. J. Kidney Dis. 1993, 22, 656–661. [Google Scholar] [CrossRef]
- Simons, P.; Guo, Y.; Bondu, V.; Tigert, S.L.; Harkins, M.; Goodfellow, S.; Tompkins, C.; Chabot-Richards, D.; Yang, X.O.; Bosc, L.G.; et al. Longitudinal Assessment of Cytokine Expression and Plasminogen Activation in Hantavirus Cardiopulmonary Syndrome Reveals Immune Regulatory Dysfunction in End-Stage Disease. Viruses 2021, 13, 1597. [Google Scholar] [CrossRef] [PubMed]
- Strandin, T.; Hepojoki, J.; Laine, O.; Mäkelä, S.; Klingström, J.; Lundkvist, Å.; Julkunen, I.; Mustonen, J.; Vaheri, A. Interferons Induce STAT1-Dependent Expression of Tissue Plasminogen Activator, a Pathogenicity Factor in Puumala Hantavirus Disease. J. Infect. Dis. 2016, 213, 1632–1641. [Google Scholar] [CrossRef] [PubMed] [Green Version]
- Witkowski, P.T.; Bourquain, D.; Bankov, K.; Auste, B.; Dabrowski, P.W.; Nitsche, A.; Krüger, D.H.; Schaade, L. Infection of human airway epithelial cells by different subtypes of Dobrava-Belgrade virus reveals gene expression patterns corresponding to their virulence potential. Virology 2016, 493, 189–201. [Google Scholar] [CrossRef]









| Characteristic | Mean Value ± SD | Reference Value |
|---|---|---|
| Age (years) | 40.55 ± 15.36 | - |
| Duration of hospitalization (days) | 6.55 ± 2.81 | - |
| Max serum creatinine (mg/dL) | 6.74 ± 2.37 | 0.6–1.2 |
| Min serum albumin level (g/L) | 31.72 ± 1.67 | 30–50 |
| Min platelet count (×109/L) | 92.64 ± 45.89 | 150–440 |
| Max leukocyte count (×109/L) | 11.93 ± 2.38 | 4–10 |
| Max CRP level (mg/L) | 68.09 ± 32.02 | <5 |
| Max LDH activity (U/L) | 431.8 ± 70.96 | <317 |
Publisher’s Note: MDPI stays neutral with regard to jurisdictional claims in published maps and institutional affiliations. |
© 2022 by the authors. Licensee MDPI, Basel, Switzerland. This article is an open access article distributed under the terms and conditions of the Creative Commons Attribution (CC BY) license (https://creativecommons.org/licenses/by/4.0/).
Share and Cite
Nusshag, C.; Boegelein, L.; Schreiber, P.; Essbauer, S.; Osberghaus, A.; Zeier, M.; Krautkrämer, E. Expression Profile of Human Renal Mesangial Cells Is Altered by Infection with Pathogenic Puumala Orthohantavirus. Viruses 2022, 14, 823. https://doi.org/10.3390/v14040823
Nusshag C, Boegelein L, Schreiber P, Essbauer S, Osberghaus A, Zeier M, Krautkrämer E. Expression Profile of Human Renal Mesangial Cells Is Altered by Infection with Pathogenic Puumala Orthohantavirus. Viruses. 2022; 14(4):823. https://doi.org/10.3390/v14040823
Chicago/Turabian StyleNusshag, Christian, Lukas Boegelein, Pamela Schreiber, Sandra Essbauer, Anja Osberghaus, Martin Zeier, and Ellen Krautkrämer. 2022. "Expression Profile of Human Renal Mesangial Cells Is Altered by Infection with Pathogenic Puumala Orthohantavirus" Viruses 14, no. 4: 823. https://doi.org/10.3390/v14040823
APA StyleNusshag, C., Boegelein, L., Schreiber, P., Essbauer, S., Osberghaus, A., Zeier, M., & Krautkrämer, E. (2022). Expression Profile of Human Renal Mesangial Cells Is Altered by Infection with Pathogenic Puumala Orthohantavirus. Viruses, 14(4), 823. https://doi.org/10.3390/v14040823

