Serological Responses in Cattle following Booster Vaccination against Serotypes 4 and 8 Bluetongue Virus with Two Bivalent Commercial Inactivated Vaccines
Abstract
1. Introduction
2. Materials and Methods
2.1. Animals
2.2. Study Design
2.3. Real-Time RT-PCR (rtRT-PCR)
2.4. ELISA
2.5. Serum Neutralization Test (SNT)
2.6. Statistical Analysis
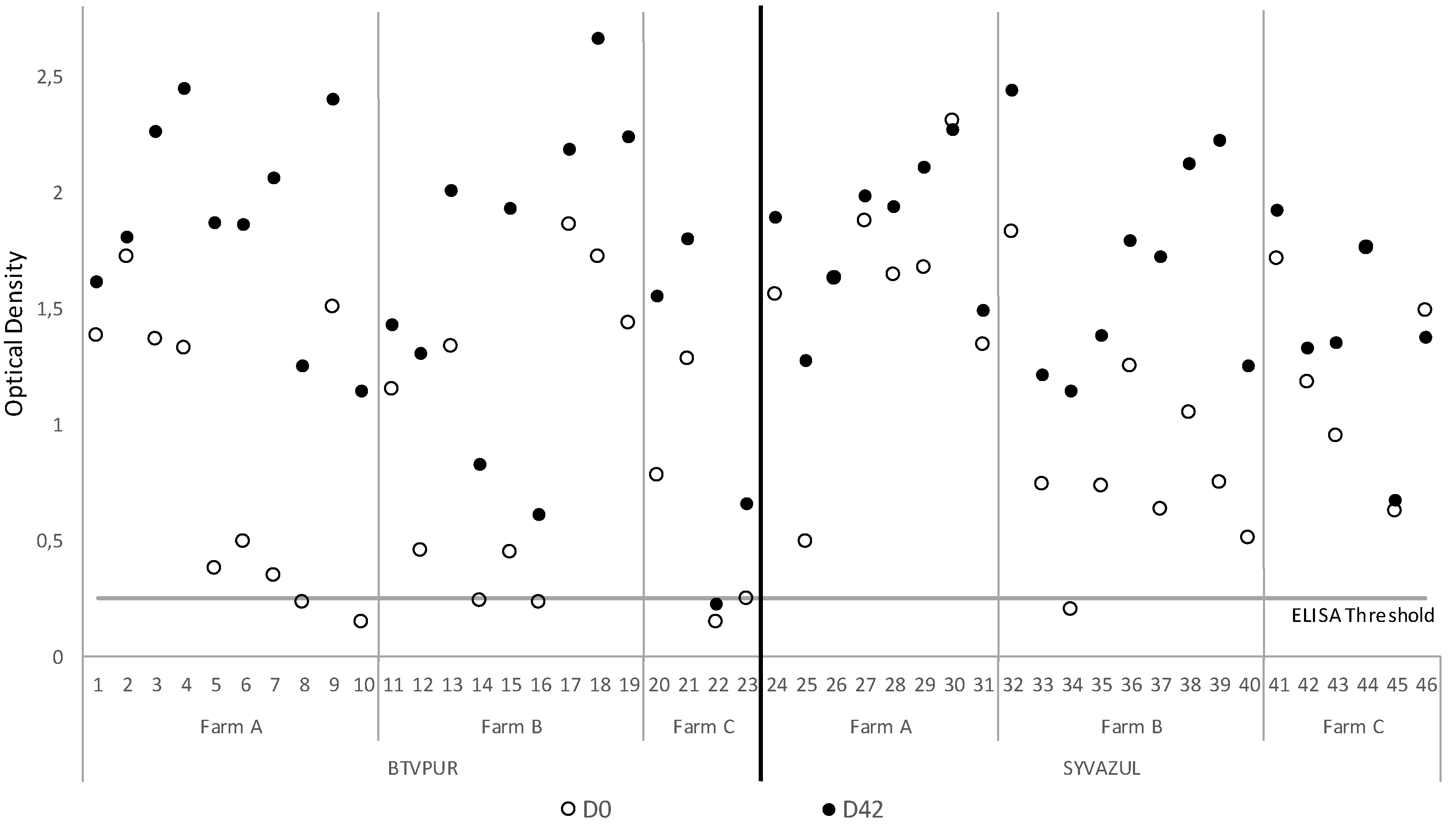
3. Results
4. Discussion
Author Contributions
Funding
Institutional Review Board Statement
Informed Consent Statement
Data Availability Statement
Acknowledgments
Conflicts of Interest
References
- Maclachlan, N.J.; Drew, C.P.; Darpel, K.E.; Worwa, G. The pathology and pathogenesis of bluetongue. J. Comp. Pathol. 2009, 141, 1–16. [Google Scholar] [CrossRef]
- Zanella, G.; Durand, B.; Sellal, E.; Breard, E.; Sailleau, C.; Zientara, S.; Batten, C.; Mathevet, P.; Audeval, C. Bluetongue virus serotype 8: Abortion and transplacental transmission in cattle in the Burgundy region, France, 2008–2009. Theriogenology 2012, 77, 65–72. [Google Scholar] [CrossRef] [PubMed]
- Kundlacz, C.; Caignard, G.; Sailleau, C.; Viarouge, C.; Postic, L.; Vitour, D.; Zientara, S.; Breard, E. Bluetongue Virus in France: An Illustration of the European and Mediterranean Context since the 2000s. Viruses 2019, 11, 672. [Google Scholar] [CrossRef]
- Savini, G.; MacLachlan, N.J.; Sanchez-Vizcaino, J.M.; Zientara, S. Vaccines against bluetongue in Europe. Comp. Immunol. Microbiol. Infect. Dis. 2008, 31, 101–120. [Google Scholar] [CrossRef]
- Breard, E.; Belbis, G.; Hamers, C.; Moulin, V.; Lilin, T.; Moreau, F.; Millemann, Y.; Montange, C.; Sailleau, C.; Durand, B.; et al. Evaluation of humoral response and protective efficacy of two inactivated vaccines against bluetongue virus after vaccination of goats. Vaccine 2011, 29, 2495–2502. [Google Scholar] [CrossRef] [PubMed]
- Eschbaumer, M.; Hoffmann, B.; König, P.; Teifke, J.P.; Gethmann, J.M.; Conraths, F.J.; Probst, C.; Mettenleiter, T.C.; Beer, M. Efficacy of three inactivated vaccines against bluetongue virus serotype 8 in sheep. Vaccine 2009, 27, 4169–4175. [Google Scholar] [CrossRef]
- Gethmann, J.; Hüttner, K.; Heyne, H.; Probst, C.; Ziller, M.; Beer, M.; Hoffmann, B.; Mettenleiter, T.; Conraths, F. Comparative safety study of three inactivated BTV-8 vaccines in sheep and cattle under field conditions. Vaccine 2009, 27, 4118–4126. [Google Scholar] [CrossRef] [PubMed]
- Hamers, C.; Galleau, S.; Chery, R.; Blanchet, M.; Goutebroze, S.; Besancon, L.; Cariou, C.; Werle-Lapostolle, B.; Hudelet, P. Use of inactivated bluetongue virus serotype 8 vaccine against virulent challenge in sheep and cattle. Vet.-Rec. 2009, 165, 369–373. [Google Scholar] [CrossRef]
- Oura, C.; Wood, J.; Sanders, A.; Bin-Tarif, A.; Henstock, M.; Edwards, L.; Floyd, T.; Simmons, H.; Batten, C. Seroconversion, neutralising antibodies and protection in bluetongue serotype 8 vaccinated sheep. Vaccine 2009, 27, 7326–7330. [Google Scholar] [CrossRef] [PubMed]
- Bartram, D.J.; Heasman, L.; Batten, C.A.; Oura, C.A.; Plana-Durán, J.; Yuen, H.M.; Wylie, A.D. Neutralising antibody responses in cattle and sheep following booster vaccination with two commercial inactivated bluetongue virus serotype 8 vaccines. Vet.-J. 2011, 188, 193–196. [Google Scholar] [CrossRef]
- Bréard, E.; Turpaud, M.; Beaud, G.; Postic, L.; Fablet, A.; Beer, M.; Sailleau, C.; Caignard, G.; Viarouge, C.; Hoffmann, B.; et al. Development and Validation of an ELISA for the Detection of Bluetongue Virus Serotype 4-Specific Antibodies. Viruses 2021, 13, 1741. [Google Scholar] [CrossRef] [PubMed]
- R Core Team. R: A Language and Environment for Statistical Computing; R Foundation for Statistical Computing: Vienna, Austria, 2022; Available online: https://www.R-project.org/ (accessed on 19 July 2011).
- Bates, D.; Maechler, M.; Bolke, B.; Walker, S. Fitting Linear Mixed-Effects Models Using lme4. J. Stat. Softw. 2015, 67, 1–48. [Google Scholar] [CrossRef]
- Garigliany, M.; De Leeuw, I.; Kleijnen, D.; Vandenbussche, F.; Callens, J.; Van Loo, H.; Lebrun, M.; Saulmont, M.; Desmecht, D.; De Clercq, K. The presence of bluetongue virus serotype 8 RNA in Belgian cattle since 2008. Transbound. Emerg. Dis. 2011, 58, 503–509. [Google Scholar] [CrossRef] [PubMed]
- Zientara, S.; Amat, J.P.; Sailleau, C.; Viarouge, C.; Desprat, A.; Vitour, D.; Bréard, E. Difficulties in the interpretation of bluetongue RT-PCR results in France. Vet.-Rec. 2012, 170, 599. [Google Scholar] [CrossRef]
- De Leeuw, I.; Garigliany, M.; Bertels, G.; Willems, T.; Desmecht, D.; De Clercq, K. Bluetongue Virus RNA Detection by Real-Time RT-PCR in Post-Vaccination Samples from Cattle. Transbound. Emerg. Dis. 2013, 62, 157–162. [Google Scholar] [CrossRef]
- Eschbaumer, M.; Wäckerlin, R.; Hoffmann, B.; Beer, M. Re: Detection of bluetongue virus genome after vaccination with an inactivated vaccine. Vaccine 2009, 28, 881–882. [Google Scholar] [CrossRef]
- Steinrigl, A.; Revilla-Fernandez, S.; Eichinger, M.; Koefer, J.; Winter, P. Bluetongue virus RNA detection by RT-qPCR in blood samples of sheep vaccinated with a commercially available inactivated BTV-8 vaccine. Vaccine 2010, 28, 5573–5581. [Google Scholar] [CrossRef]
- Hoffmann, B.; Eschbaumer, M.; Beer, M. Real-Time Quantitative Reverse Transcription-PCR Assays Specifically Detecting Bluetongue Virus Serotypes 1, 6, and 8. J. Clin. Microbiol. 2009, 47, 2992–2994. [Google Scholar] [CrossRef]
- Shaw, A.; Monaghan, P.; Alpar, H.; Anthony, S.; Darpel, K.; Batten, C.; Guercio, A.; Alimena, G.; Vitale, M.; Bankowska, K.; et al. Development and initial evaluation of a real-time RT-PCR assay to detect bluetongue virus genome segment 1. J. Virol. Methods 2007, 145, 115–126. [Google Scholar] [CrossRef]
- Toussaint, J.F.; Sailleau, C.; Breard, E.; Zientara, S.; De Clercq, K. Bluetongue virus detection by two real-time RT-qPCRs targeting two different genomic segments. J. Virol. Methods 2007, 140, 115–123. [Google Scholar] [CrossRef]
- Vandenbussche, F.; Vandemeulebroucke, E.; De Clercq, K. Simultaneous Detection of Bluetongue Virus RNA, Internal Control GAPDH mRNA, and External Control Synthetic RNA by Multiplex Real-Time PCR. Methods Mol Biol. 2010, 630, 97–108. [Google Scholar] [CrossRef] [PubMed]
- Zanella, G.; Bréard, E.; Sailleau, C.; Zientara, S.; Viarouge, C.; Durand, B. A One-year Follow-up of Antibody Response in Cattle and Sheep after Vaccination with Serotype 8- and Serotype 1-inactivated BT Vaccines. Transbound. Emerg. Dis. 2013, 61, 473–476. [Google Scholar] [CrossRef] [PubMed]


| Farm A (19 Cattle) | Farm B (18 Cattle) | Farm C (13 Cattle) | ||
|---|---|---|---|---|
| Vaccination | Primovaccination 1st injection (date-vaccine) | 2-4-2021 BTVPUR® 4 + 8 | 18-3-2021 BTVPUR® 4 + 8 | 10-05-2021 BTVPUR® 4 + 8 |
| Primovaccination 2nd injection (date-vaccine) | 23-4-2021 BTVPUR® 4 + 8 | 9-4-2021 BTVPUR® 4 + 8 | 1-06-2021 BTVPUR® 4+8 | |
| Boost 2022 (nb cattle vaccinated with BTVPUR® 4 + 8 or SYVAZUL BTV-4 + 8) | 18-03-2022 (D0) (10 BTVPUR and 9 SYVAZUL) | 18-3-2022 (D0) (9 BTVPUR and 9 SYVAZUL) | 22-4-2022 (D0) (5 BTVPUR and 8 SYVAZUL) | |
| Sampling | EDTA blood samples | D0, D10, D56 | D0, D10, D56 | D0, D10, D56 |
| Blood samples (serum) | D0, D42 | D0, D42 | D0, D42 |
| Number of Positive Animals per Analysis | |||||
|---|---|---|---|---|---|
| Number of Animals | VP7 cELISA | VP2 ELISA BTV-4 | SNT4 | SNT8 | |
| Farm A | 19 | 12 (63.2) | 14 (77.8 *) | 14 (73.7) | 19 (100) |
| Farm B | 18 | 17 (94.4) | 18 (100) | 15 (83.3) | 18 (100) |
| Farm C | 13 | 10 (76.9) | 7 (70 **) | 12 (92.3) | 12 (92.3) |
| Total | 50 | 39 (78) | 39 (84.8 ***) | 41 (82) | 49 (98) |
| Mean Titer at D0 | Mean Titer at D42 | Delta Mean Titer D42-D0 | |||||||||||
|---|---|---|---|---|---|---|---|---|---|---|---|---|---|
| Farm A | Farm B | Farm C | General Mean | Farm A | Farm B | Farm C | General Mean | Farm A | Farm B | Farm C | All Farms | ||
| BTVPUR | Mean Nab 4 | 3.80 [2,32–5,32] | 3.82 [2,32–5,91] | 4.96 [3,32–7,91] | 4.05 | 7.06 [5,32–8,91] | 6.41 [5,32–7,32] | 6.51 [5,32–7,91] | 6.71 | 3.26 | 2.59 | 1.55 | 2.66 |
| Mean Nab 8 | 6.93 [5,32–8,32] | 5.52 [3,32–6,91] | 5.59 [3,91–6,91] | 6.12 | 8.43 [7,91–9,91] | 8.47 [7,91–9,32] | 7.47 [6,32–8,91] | 8.28 | 1.50 | 2.95 | 1.88 | 2.16 | |
| SYVAZUL | Mean Nab 4 | 3.61 [2,32–5,32] | 4.14 [2,32–6,32] | 4.97 [2,32–6,32] | 4.21 | 7.20 [5,32–8,91] | 6.83 [5,32–8,32] | 8.12 [5,32–9,32] | 7.29 | 3.59 | 2.69 | 3.15 | 3.08 |
| Mean Nab 8 | 6.03 [4,32–8,32] | 5.58 [4,32–6,32] | 5.64 [2,32–7,32] | 5.75 | 9.25 [8,32–9,91] | 9.36 [8,91–9,91] | 9.12 [7,32–9,91] | 9.26 | 3.22 | 3.78 | 3.48 | 3.51 | |
Publisher’s Note: MDPI stays neutral with regard to jurisdictional claims in published maps and institutional affiliations. |
© 2022 by the authors. Licensee MDPI, Basel, Switzerland. This article is an open access article distributed under the terms and conditions of the Creative Commons Attribution (CC BY) license (https://creativecommons.org/licenses/by/4.0/).
Share and Cite
Sailleau, C.; Postic, L.; Chatenet, X.; Salat, O.; Turpaud, M.; Durand, B.; Vitour, D.; Zientara, S.; Bréard, E. Serological Responses in Cattle following Booster Vaccination against Serotypes 4 and 8 Bluetongue Virus with Two Bivalent Commercial Inactivated Vaccines. Viruses 2022, 14, 2719. https://doi.org/10.3390/v14122719
Sailleau C, Postic L, Chatenet X, Salat O, Turpaud M, Durand B, Vitour D, Zientara S, Bréard E. Serological Responses in Cattle following Booster Vaccination against Serotypes 4 and 8 Bluetongue Virus with Two Bivalent Commercial Inactivated Vaccines. Viruses. 2022; 14(12):2719. https://doi.org/10.3390/v14122719
Chicago/Turabian StyleSailleau, Corinne, Lydie Postic, Xavier Chatenet, Olivier Salat, Mathilde Turpaud, Benoit Durand, Damien Vitour, Stéphan Zientara, and Emmanuel Bréard. 2022. "Serological Responses in Cattle following Booster Vaccination against Serotypes 4 and 8 Bluetongue Virus with Two Bivalent Commercial Inactivated Vaccines" Viruses 14, no. 12: 2719. https://doi.org/10.3390/v14122719
APA StyleSailleau, C., Postic, L., Chatenet, X., Salat, O., Turpaud, M., Durand, B., Vitour, D., Zientara, S., & Bréard, E. (2022). Serological Responses in Cattle following Booster Vaccination against Serotypes 4 and 8 Bluetongue Virus with Two Bivalent Commercial Inactivated Vaccines. Viruses, 14(12), 2719. https://doi.org/10.3390/v14122719

