Dengue Infection Susceptibility of Five Aedes aegypti Populations from Manaus (Brazil) after Challenge with Virus Serotypes 1–4
Abstract
1. Introduction
2. Materials and Methods
2.1. Study Area and Mosquito Collection
2.2. Virus Culture
2.3. Experimental Infection with the DENV Serotypes
2.4. Extraction and Quantification of Viral RNA Using Real-Time PCR (RT-qPCR)
2.5. Infection Rate, Disseminated Infection Rate, and Vector Competence
2.6. Statistical Analyses
3. Results
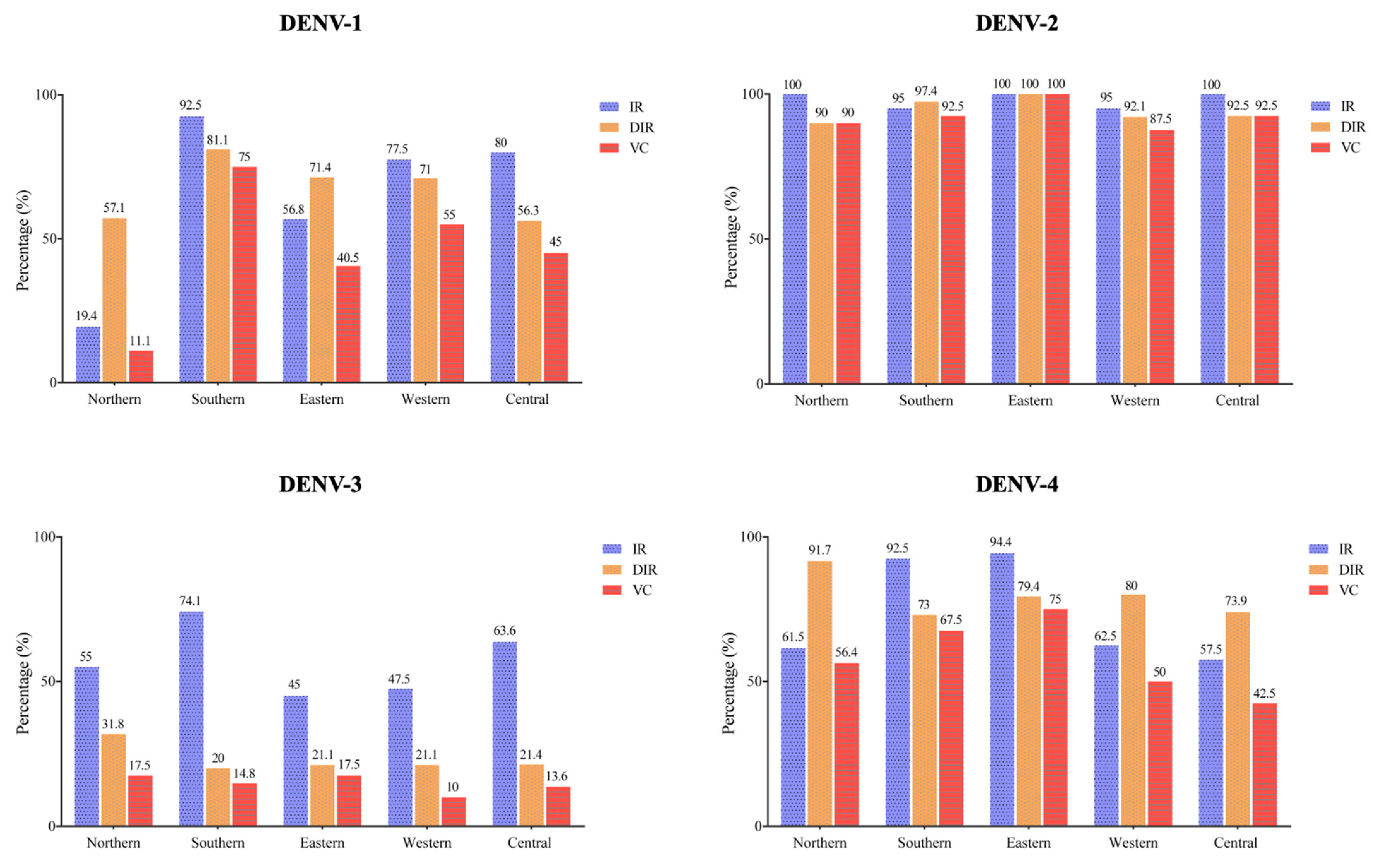
3.1. Vector Competence of Ae. aegypti Populations in Relation to DENV Serotypes


3.2. Viral Quantification of the Ae. aegypti Populations




4. Discussion
Author Contributions
Funding
Institutional Review Board Statement
Conflicts of Interest
References
- Bhatt, S.; Gething, P.W.; Brady, O.J.; Messina, J.P.; Farlow, A.W.; Moyes, C.L.; Drake, J.M.; Brownstein, J.S.; Hoen, A.G.; Sankoh, O.; et al. The global distribution and burden of dengue. Nature 2013, 496, 504–507. [Google Scholar] [CrossRef] [PubMed]
- ECDC 2020. Dengue Worldwide Overview. Available online: https://www.ecdc.europa.eu/en/dengue-monthly (accessed on 28 October 2021).
- Kraemer, M.U.; Sinka, M.E.; Duda, K.A.; Mylne, A.Q.; Shearer, F.M.; Barker, C.M.; Moore, C.G.; Carvalho, R.G.; Coelho, G.E.; Bortel, W.V.; et al. The global distribution of the arbovirus vectors Aedes aegypti and Ae. albopictus. eLife 2015, 4, e08347. [Google Scholar] [CrossRef]
- Kamal, M.; Kenawy, M.A.; Rady, M.H.; Khaled, A.S.; Samy, A.M. Mapping the global potential distributions of two arboviral vectors Aedes aegypti and Ae. albopictus under changing climate. PLoS ONE 2018, 13, e0210122. [Google Scholar] [CrossRef] [PubMed]
- PAHO/WHO. Number of Reported Cases of Dengue and Severe Dengue (SD) in the Americas, by Country. 2021. Available online: http://www.paho.org/hq/index.php?option=com_docman&task=doc_view&Itemid=&gid=32910&lang=en (accessed on 2 November 2021).
- PAHO. Dengue Indicators. Dengue Serotypes by Year for Countries and Territories of the Americas. 2021. Available online: https://www3.paho.org/data/index.php/en/mnu-topics/indicadores-dengue-en/dengue-nacional-en/517-dengue-serotypes-en.html (accessed on 21 October 2021).
- Vaughn, D.W.; Green, S.; Kalayanarooj, S.; Innis, B.L.; Nimmannitya, S.; Suntayakorn, S.; Endy, T.P.; Raengsakulrach, B.; Rothman, A.L.; Ennis, F.A.; et al. Dengue viremia titer, antibody response pattern, and virus serotype correlate with disease severity. J. Infect. Dis. 2000, 181, 2–9. [Google Scholar] [CrossRef] [PubMed]
- Rico-Hesse, R. Microevolution and virulence of dengue viruses. Adv. Virus Res. 2003, 59, 315–341. [Google Scholar] [PubMed]
- Green, S.; Rothman, A. Immunopathological mechanisms in dengue and dengue hemorrhagic fever. Curr. Opin. Infect. Dis. 2006, 19, 429–436. [Google Scholar] [CrossRef] [PubMed]
- Salles, T.S.; Sá-Guimarães, T.D.E.; De Alvarenga, E.S.L.; Guimarães-Ribeiro, V.; De Meneses, M.D.F.; De Castro-Salles, P.F.; Dos Santos, C.R.; Melo, A.C.D.A.; Soares, M.R.; Ferreira, D.F.; et al. History, epidemiology and diagnostics of dengue in the American and Brazilian contexts: A review. Parasites Vectors 2018, 11, 264. [Google Scholar] [CrossRef] [PubMed]
- Wilson, M.E.; Chen, L.H. Dengue in the Americas. Dengue Bull. 2002, 26, 44–61. [Google Scholar]
- Figueiredo, R.M.; Naveca, F.G.; Bastos, M.S.; Melo, M.N.; Viana, S.S.; Mourão, M.P.; Costa, C.A.; Farias, I.P. Dengue virus type 4, Manaus, Brazil. Emerg. Infect. Dis. 2008, 14, 667–669. [Google Scholar] [CrossRef]
- Dick, O.B.; Martín, J.L.S.; Del Diego, J.; Montoya, R.H.; Dayan, G.H.; Zambrano, B. The history of dengue outbreaks in the Americas. Am. J. Trop. Med. Hyg. 2012, 87, 584–593. [Google Scholar] [CrossRef]
- Andrioli, D.C.; Busato, M.A.; Lutinski, J.A. Spatial and temporal distribution of dengue in Brazil, 1990–2017. PLoS ONE 2020, 15, e0228346. [Google Scholar] [CrossRef]
- Bezerra, J.M.T.; Sousa, S.C.D.; Tauil, P.L.; Carneiro, M.; Barbosa, D.S. Entry of dengue virus serotypes and their geographic distribution in Brazilian federative units: A systematic review. Rev. Bras. Epidemiol. 2021, 24. [Google Scholar] [CrossRef]
- Figueiredo, R.M.P.D.; Mourão, M.P.G.; Abi-Abib, Y.E.C.; Oliveira, C.M.D.; Roque, R.; Azara, T.D.; Ohly, J.; Degener, C.; Geier, M.; Eiras, Á.E. Identification of dengue viruses in naturally infected Aedes aegypti females captured with BioGents (BG)-Sentinel traps in Manaus, Amazonas, Brazil. Rev. Soc. Bras. Med. Trop. 2013, 46, 221–222. [Google Scholar] [CrossRef]
- Franz, A.W.E.; Kantor, A.M.; Passarelli, A.L.; Clem, R.J. Tissue barriers to arbovirus infection in mosquitoes. Viruses 2015, 7, 3741–3767. [Google Scholar] [CrossRef]
- Kramer, L.D.; Ciota, A.T. Dissecting vectorial capacity for mosquito-borne viruses. Curr. Opin. Virol. 2015, 15, 112–118. [Google Scholar] [CrossRef]
- Uno, N.; Ross, T.M. Dengue virus and the host innate immune response. Emerg. Microbes Infect. 2018, 7, 167. [Google Scholar] [CrossRef]
- Woodring, J.; Higgs, S.; Beaty, B. Natural cycles of vector-borne pathogens. In the Biology of Disease Vectors; University Press of Colorado: Boulder, CO, USA, 1996; pp. 51–72. [Google Scholar]
- Richards, S.L.; Anderson, S.L.; Alto, B.W. Vector competence of Aedes aegypti and Aedes albopictus (Diptera: Culicidae) for dengue virus in the Florida Keys. J. Med. Entomol. 2012, 49, 942–946. [Google Scholar] [CrossRef]
- Gonçalves, C.M.; Melo, F.F.; Bezerra, J.M.; Chaves, B.A.; Silva, B.M.; Silva, L.D.; Pessanha, J.E.; Arias, J.R.; Secundino, N.F.; Norris, D.E.; et al. Distinct variation in vector competence among nine field populations of Aedes aegypti from a Brazilian dengue-endemic risk city. Parasittes Vectors 2014, 7, 320. [Google Scholar] [CrossRef]
- Poole-Smith, B.K.; Hemme, R.R.; Delorey, M.; Felix, G.; Gonzalez, A.L.; Amador, M.; Hunsperger, E.A.; Barrera, R. Comparison of vector competence of Aedes mediovittatus and Aedes aegypti for dengue virus: Implications for dengue control in the Caribbean. PLoS Negl. Trop. Dis. 2015, 9, e0003462. [Google Scholar] [CrossRef]
- Amoa-Bosompem, M.; Kobayashi, D.; Itokawa, K.; Murota, K.; Faizah, A.N.; Azerigyik, F.A.; Hayashi, T.; Ohashi, M.; Bonney, J.H.K.; Dadzie, S.; et al. Determining vector competence of Aedes aegypti from Ghana in transmitting dengue virus serotypes 1 and 2. Parasites Vectors 2021, 14, 228. [Google Scholar] [CrossRef]
- Vazeille-falcoz, M.; Mousson, L.; Rodhain, F.; Chungue, E.; Failloux, A.B. Variation in oral susceptibility to dengue type 2 virus of populatios of Aedes aegypti from the islands of Tahiti and Moorea, French Polynesia. Am. J. Trop. Med. Hyg. 1999, 60, 292–299. [Google Scholar] [CrossRef]
- Bennett, K.E.; Farfan-Ale, J.A.; Fernandez-Salas, I.; Black, W.C.; Higgs, S.; Beaty, B.J.; Muñoz, M.D.L.; Olson, K.E. Variation in vector competence for dengue 2 virus among 24 collections of Aedes aegypti from Mexico and the United States. Am. J. Trop. Med. Hyg. 2002, 67, 85–92. [Google Scholar] [CrossRef]
- Godoy, R.S.M.; Felix, L.d.S.; Orfanó, A.d.S.; Chaves, B.A.; Nogueira, P.M.; Costa, B.D.A.; Soares, A.S.; Oliveira, C.C.A.; Nacif-Pimenta, R.; Silva, B.M.; et al. Dengue and Zika virus infection patterns vary among Aedes aegypti field populations from Belo Horizonte, a Brazilian endemic city. PLoS Negl. Trop. Dis. 2021, 15, e0009839. [Google Scholar] [CrossRef]
- Tabachnick, W.J. Nature, nurture and evolution of intra-species variation in mosquito arbovirus transmission competence. Int. J. Environ. Res. Public Health 2013, 10, 249–277. [Google Scholar] [CrossRef]
- Failloux, A.B.; Vazeille, M.; Rodhain, F. Geographic genetic variation in populations of the dengue virus vector Aedes aegypti. J. Mol. Evol. 2002, 55, 653–663. [Google Scholar] [CrossRef]
- Faucon, F.; Dusfour, I.; Gaude, T.; Navratil, V.; Boyer, F.; Chandre, F.; Sirisopa, P.; Thanispong, K.; Juntarajumnong, W.; Poupardin, R.; et al. Identifying genomic changes associated with insecticide resistance in the dengue mosquito Aedes aegypti by deep targeted sequencing. Genome Res. 2015, 25, 1347–1359. [Google Scholar] [CrossRef]
- Bosio, C.F.; Fulton, R.E.; Salasek, M.L.; Beaty, B.J.; Black, W.C., IV. Quantitative trait loci that control vector competence for dengue-2 virus in the mosquito Aedes aegypti. Genetics 2000, 156, 687–698. [Google Scholar] [CrossRef]
- Fansiri, T.; Fontaine, A.; Diancourt, L.; Caro, V.; Thaisomboonsuk, B.; Richardson, J.H.; Jarman, R.G.; Ponlawat, A.; Lambrechts, L. Genetic mapping of specific interactions between Aedes aegypti mosquitoes and dengue viruses. PLoS Genet. 2013, 9, e1003621. [Google Scholar] [CrossRef]
- Smartt, C.T.; Shin, D.; Alto, B.W. Dengue serotype-specific immune response in Aedes aegypti and Aedes albopictus. Mem. Inst. Oswaldo Cruz. 2017, 112, 829–837. [Google Scholar] [CrossRef]
- Huber, K.; Le Loan, L.; Hoang, T.H.; Ravel, S.; Rodhain, F.; Failloux, A.-B. Genetic differentiation of the dengue vector, Aedes aegypti (Ho Chi Minh City, Vietnam) using microsatellite markers. Mol. Ecol. 2002, 11, 1629–1635. [Google Scholar] [CrossRef]
- Mousson, L.; Vazeille, M.; Chawprom, S.; Prajakwong, S.; Rodhain, F.; Failloux, A.B. Genetic structure of Aedes aegypti populations in Chiang Mai (Thailand) and relation with dengue transmission. Trop. Med. Int. Health 2002, 7, 865–872. [Google Scholar] [CrossRef] [PubMed]
- Julio, N.B.; Chiappero, M.B.; Rossi, H.J.; Rondan Dueñas, J.C.; Gardenal, C.N. Genetic structure of Aedes aegypti in the city of Córdoba (Argentina), a recently reinfested area. Mem. Inst. Oswaldo Cruz. 2009, 104, 626–631. [Google Scholar] [CrossRef] [PubMed]
- Endersby, N.M.; Hoffmann, A.A.; White, V.L.; Ritchie, S.A.; Johnson, P.H.; Weeks, A.R. Changes in the genetic structure of Aedes aegypti (Diptera: Culicidae) populations in Queensland, Australia, across two seasons: Implications for potential mosquito releases. J. Med. Entomol. 2011, 48, 999–1007. [Google Scholar] [CrossRef] [PubMed]
- Ayala, A.M.; Vera, N.S.; Chiappero, M.B.; Almirón, W.R.; Gardenal, C.N. Urban populations of Aedes aegypti (Diptera: Culicidae) from central Argentina: Dispersal patterns assessed by Bayesian and multivariate Methods. J. Med. Entomol. 2020, 57, 1069–1076. [Google Scholar] [CrossRef]
- Regilme, M.A.F.; Carvajal, T.M.; Honnen, A.C.; Amalin, D.M.; Watanabe, K. The influence of roads on the fine-scale population genetic structure of the dengue vector Aedes aegypti (Linnaeus). PLoS Negl. Trop. Dis. 2021, 15, e0009139. [Google Scholar] [CrossRef]
- Da Costa-Fraga, E.; dos Santos, J.M.; de Freitas-Maia, J. Enzymatic variability in Aedes aegypti (Diptera: Culicidae) populations from Manaus-AM, Brazil. Genet. Mol. Biol. 2003, 26, 181–187. [Google Scholar] [CrossRef]
- Santos, J.M.M.; Fraga, E.C.; Maia, J.F.; Tadei, W.P. Genetic diversity in dengue mosquito, Aedes aegypti (Diptera: Culicidae) from Amazon Region: Comparative analysis with isozymes and RAPD Loci. Open Trop. Med. J. 2011, 4, 11–20. [Google Scholar] [CrossRef]
- Instituto Brasileiro de Geografia e Estatística (IBGE). Cidades: Amazonas: Manaus. Available online: http://www.cidades.ibge.gov.br/ (accessed on 12 July 2016).
- Reed, L.J.; Muench, H. A simple method of estimating fifty percent endpoints. Am. J. Hyg. 1938, 27, 493–497. [Google Scholar]
- Secundino, N.F.C.; Chaves, B.A.; Orfano, A.S.; Silveira, K.R.D.; Rodrigues, N.B.; Campolina, T.B.; Nacif-Pimenta, R.; Villegas, L.E.M.; Silva, B.; Lacerda, M.V.G.; et al. Zika virus transmission to mouse ear by mosquito bite: A laboratory model that replicates the natural transmission process. Parasites Vectors 2017, 10, 346. [Google Scholar] [CrossRef][Green Version]
- Chan, M.; Johansson, M.A. The Incubation Periods of Dengue Viruses. PLoS ONE 2012, 7, e50972. [Google Scholar] [CrossRef]
- Kuno, G.; Chang, G.-J.J.; Tsuchiya, K.R.; Karabatsos, N.; Cropp, C.B. Development and validation of real-time one-step reverse transcription-PCR for the detection and typing of dengue viruses. J. Clin. Virol. 2009, 45, 61–66. [Google Scholar]
- Villegas, L.E.; Campolina, T.B.; Barnabe, N.R.; Orfano, A.S.; Chaves, B.A.; Norris, D.E.; Pimenta, P.F.; Secundino, N.F.C. Zika virus infection modulates the bacterial diversity associated with Aedes aegypti as revealed by metagenomic analysis. PLoS ONE 2018, 13, e0190352. [Google Scholar] [CrossRef]
- Bezerra, J.M.; Araújo, R.G.; Melo, F.F.; Goncalves, C.M.; Chaves, B.A.; Silva, B.M.; Silva, L.D.; Brandão, S.T.; Secundino, N.F.; Norris, D.E.; et al. Aedes (Stegomyia) albopictus’ dynamics influenced by spatiotemporal characteristics in a Brazilian dengue-endemic risk city. Acta Trop. 2016, 164, 431–437. [Google Scholar] [CrossRef]
- Morales-Vargas, R.E.; Missé, D.; Chavez, I.F.; Kittayapong, P. Vector Competence for dengue-2 viruses isolated from patients with different disease severity. Pathogens 2020, 9, 859. [Google Scholar] [CrossRef]
- Pinheiro, T.M.; Mota, M.T.D.O.; Watanabe, A.S.A.; Biselli-Périco, J.M.; Drumond, B.P.; Ribeiro, M.R.; Vedovello, D.; Araújo, J.P., Jr.; Pimenta, P.F.P.; Chaves, B.A.; et al. Viral immunogenicity determines epidemiological fitness in a cohort of DENV-1 infection in Brazil. PLoS Negl. Trop. Dis. 2018, 12, e0006525. [Google Scholar] [CrossRef]
- Taracena, M.L.; Bottino-Rojas, V.; Talyuli, O.A.; Walter-Nuno, A.B.; Oliveira, J.H.M.; Angleró-Rodriguez, Y.I.; Wells, M.B.; Dimopoulos, G.; Oliveira, P.L.; Paiva-Silva, G.O. Regulation of midgut cell proliferation impacts Aedes aegypti susceptibility to dengue virus. PLoS Negl. Trop. Dis. 2018, 12, e0006498. [Google Scholar] [CrossRef]
- De Souza, R.F. Mapeamento da incidência de dengue em Manaus (2008): Estudo da associação entre fatores socioambientais na perspectiva da Geografia da Saúde. Somanlu Revista Estudos Amazônicos 2008, 11, 141–157. [Google Scholar] [CrossRef]
- Oliveira, F.N.; Araújo, R.; Carvalho, J.; Costa, S. Determination of variation in the Manaus-AM microclimate for anthropogenic activities and natural climatic modulations. Acta Amaz. 2008, 38, 687–699. [Google Scholar] [CrossRef]
- Sarges, R.R.; Mendes, T.; Riccomini, C. Caracterização do relevo da região de Manaus, Amazônia central. Rev. Bras. Geomorfol. 2011, 1, 95–104. [Google Scholar] [CrossRef]
- Bell, S.M.; Katzelnick, L.; Bedford, T. Dengue genetic divergence generates within-serotype antigenic variation, but serotypes dominate evolutionary dynamics. Elife 2019, 8, e42496. [Google Scholar] [CrossRef]
- Bastos, M.D.S.; De Figueiredo, R.M.P.; Ramasawmy, R.; Itapirema, E.; Gimaque, J.B.L.; Santos, L.O.; Figueiredo, L.T.M.; Mourão, M.P.G. Simultaneous circulation of all four dengue serotypes in Manaus, State of Amazonas, Brazil in 2011. Rev. Soc. Bras. Med. Trop. 2012, 45, 393–394. [Google Scholar] [CrossRef]
- Ministério da Saúde. Boletim epidemiológico 21. Monitoramento dos casos de arboviroses urbanas causados por vírus transmitidos pelo mosquito Aedes (dengue, chikungunya e zika), semanas epidemiológicas 1 a 21, 2021. Bol. Epidemiol. 2021, 52, 1–11. Available online: https://www.gov.br/saude/pt-br/centrais-de-conteudo/publicacoes/boletins/boletins-epidemiologicos/2021/boletim_epidemiologico_svs_21.pdf (accessed on 2 November 2021).
- Chen, R.; Vasilakis, N. Dengue—Quo tu et quo vadis? Viruses 2011, 3, 1562–1608. [Google Scholar] [CrossRef]
- Kuno, G.; Chang, G.J.; Tsuchiya, K.R.; Karabatsos, N.; Cropp, C.B. Phylogeny of the genus Flavivirus. J. Virol. 1998, 72, 73–83. [Google Scholar] [CrossRef]
- Powell, J.R. An evolutionary perspective on vector-borne diseases. Front. Genet. 2019, 10, 1266. [Google Scholar] [CrossRef]
- Danet, L.; Beauclair, G.; Berthet, M.; Moratorio, G.; Gracias, S.; Tangy, F.; Choumet, V.; Jouvenet, N. Midgut barriers prevent the replication and dissemination of the yellow fever vaccine in Aedes aegypti. PLoS Negl. Trop. Dis. 2019, 13, e0007299. [Google Scholar] [CrossRef]
- Khoo, C.C.H.; Piper, J.; Sanchez-Vargas, I.; Olson, K.E.; Franz, A.W.E. The RNA interference pathway affects midgut infection- and escape barriers for Sindbis virus in Aedes aegypti. BMC Microbiol. 2010, 10, 130. [Google Scholar] [CrossRef]
- Kramer, L.D.; Hardy, J.L.; Presser, S.B.; Houk, E.J. Dissemination barriers for western equine encephalomyelitis virus in Culex tarsalis infected after ingestion of low viral doses. Am. J. Trop. Med. Hyg. 1981, 30, 190–197. [Google Scholar] [CrossRef]
- Guzman, M.G.; Halstead, S.B.; Artsob, H.; Buchy, P.; Farrar, J.; Gubler, D.J.; Hunsperger, E.; Kroeger, A.; Margolis, H.S.; Martínez, E.; et al. Dengue: A continuing global threat. Nat. Rev. Microbiol. 2010, 8, S7–S16. [Google Scholar] [CrossRef]
- Palmer, W.H.; Varghese, F.S.; Van Rij, R.P. Natural variation in resistance to virus infection in dipteran insects. Viruses 2018, 10, 118. [Google Scholar] [CrossRef]
- Yasunaga, A.; Hanna, S.L.; Li, J.; Cho, H.; Rose, P.P.; Spiridigliozzi, A.; Gold, B.; Diamond, M.S.; Cherry, S. Genome-wide RNAi screen identifies broadly-acting host factors that inhibit arbovirus infection. PLoS Pathog. 2014, 10, e1003914. [Google Scholar] [CrossRef] [PubMed]
- Salazar, M.I.; Richardson, J.H.; Sánchez-Vargas, I.; Olson, K.E.; Beaty, B.J. Dengue virus type 2: Replication and tropisms in orally infected Aedes aegypti mosquitoes. BMC Microbiol. 2007, 7, 9. [Google Scholar] [CrossRef] [PubMed]
- Grunnill, M.; Boots, M. How important is vertical transmission of dengue viruses by mosquitoes (Diptera: Culicidae)? J. Med. Entomol. 2015, 53, 1–19. [Google Scholar] [CrossRef] [PubMed]
- Regilme, M.A.F.; Carvajal, T.M.; Honnen, A.; Amalin, D.M.; Watanabe, K. Brazilian Aedes aegypti as a competent vector for multiple complex arboviral coinfections. J. Infect. Dis. 2021, 15, e0009139. [Google Scholar] [CrossRef]
- Girard, Y.A.; Klingler, K.A.; Higgs, S. West Nile virus dissemination and tissue tropisms in orally infected Culex pipiens quinquefasciatus. Vector Borne Zoonotic Dis. 2004, 4, 109–122. [Google Scholar] [CrossRef]
- Weaver, S.C. Electron microscopic analysis of infection patterns for Venezuelan equine encephalomyelitis virus in the vector mosquito, Culex (Melanoconion) taeniopus. Am. J. Trop. Med. Hyg. 1986, 35, 624–631. [Google Scholar] [CrossRef]
- da Moura, A.J.F.; de Melo Santos, M.A.V.; Oliveira, C.M.F.; Guedes, D.R.D.; de Carvalho-Leandro, D.; da Cruz Brito, M.L.; Rocha, H.D.R.; Gómez, L.F.; Ayres, C.F.J. Vector competence of the Aedes aegypti population from Santiago Island, Cape Verde, to different serotypes of dengue virus. Parasites Vectors 2015, 8, 114. [Google Scholar] [CrossRef]
Publisher’s Note: MDPI stays neutral with regard to jurisdictional claims in published maps and institutional affiliations. |
© 2021 by the authors. Licensee MDPI, Basel, Switzerland. This article is an open access article distributed under the terms and conditions of the Creative Commons Attribution (CC BY) license (https://creativecommons.org/licenses/by/4.0/).
Share and Cite
Chaves, B.A.; Godoy, R.S.M.; Campolina, T.B.; Júnior, A.B.V.; Paz, A.d.C.; Vaz, E.B.d.C.; Silva, B.M.; Nascimento, R.M.; Guerra, M.d.G.V.B.; Lacerda, M.V.G.; et al. Dengue Infection Susceptibility of Five Aedes aegypti Populations from Manaus (Brazil) after Challenge with Virus Serotypes 1–4. Viruses 2022, 14, 20. https://doi.org/10.3390/v14010020
Chaves BA, Godoy RSM, Campolina TB, Júnior ABV, Paz AdC, Vaz EBdC, Silva BM, Nascimento RM, Guerra MdGVB, Lacerda MVG, et al. Dengue Infection Susceptibility of Five Aedes aegypti Populations from Manaus (Brazil) after Challenge with Virus Serotypes 1–4. Viruses. 2022; 14(1):20. https://doi.org/10.3390/v14010020
Chicago/Turabian StyleChaves, Bárbara Aparecida, Raquel Soares Maia Godoy, Thaís Bonifácio Campolina, Ademir Bentes Vieira Júnior, Andréia da Costa Paz, Evelyn Beatriz da Costa Vaz, Breno Mello Silva, Rêgila Mello Nascimento, Maria das Graças Vale Barbosa Guerra, Marcus Vinicius Guimarães Lacerda, and et al. 2022. "Dengue Infection Susceptibility of Five Aedes aegypti Populations from Manaus (Brazil) after Challenge with Virus Serotypes 1–4" Viruses 14, no. 1: 20. https://doi.org/10.3390/v14010020
APA StyleChaves, B. A., Godoy, R. S. M., Campolina, T. B., Júnior, A. B. V., Paz, A. d. C., Vaz, E. B. d. C., Silva, B. M., Nascimento, R. M., Guerra, M. d. G. V. B., Lacerda, M. V. G., Monteiro, W. M., Secundino, N. F. C., & Pimenta, P. F. P. (2022). Dengue Infection Susceptibility of Five Aedes aegypti Populations from Manaus (Brazil) after Challenge with Virus Serotypes 1–4. Viruses, 14(1), 20. https://doi.org/10.3390/v14010020

