Abstract
Marburg virus (MARV), the causative agent of Marburg virus disease, emerges sporadically in sub-Saharan Africa and is often fatal in humas. The natural reservoir for this zoonotic virus is the frugivorous Egyptian rousette bat (Rousettus aegyptiacus) that when infected, sheds virus in the highest amounts in oral secretions and urine. Being fruit bats, these animals forage nightly for ripened fruit throughout the year, including those types often preferred by humans. During feeding, they continually discard partially eaten fruit on the ground that could then be consumed by other Marburg virus susceptible animals or humans. In this study, using qRT-PCR and virus isolation, we tested fruit discarded by Egyptian rousette bats experimentally infected with a natural bat isolate of Marburg virus. We then separately tested viral persistence on fruit varieties commonly cultivated in sub-Saharan Africa using a recombinant Marburg virus expressing the fluorescent ZsGreen1. Marburg virus RNA was repeatedly detected on fruit in the food bowls of the infected bats and viable MARV was recovered from inoculated fruit for up to 6 h.
1. Introduction
Marburg virus (MARV) is the prototype member of the family Filoviridae and was discovered in 1967 after an outbreak of Marburg virus disease (MVD) that occurred among German and former Yugoslavian scientists that had worked with MARV-infected non-human primates (NHPs) imported from Uganda in the days prior to becoming ill [,]. How the non-human primates became infected with MARV was never established except that they were likely exposed while still in Uganda just prior to shipment. Since that time, sporadic spillover of MARV into human populations has resulted in an additional 13 known outbreaks of MVD [,,], with the most recent occurring in 2021 in Guinea []. Most of these MVD outbreaks have been small with the notable exceptions of the outbreaks in the Democratic Republic of Congo (DRC) from 1998 to 2000 [] and Angola in 2005. The outbreak in Angola resulted in 252 cases and 227 deaths, the highest case fatality ratio (CFR: 90%) reported for any large filovirus outbreak [] including that for the 2013–2016 West Africa Ebola outbreak (CFR: 41%) [].
Marburgvirus (MARV and Ravn virus (RAVV)) RNA and antibodies were first identified in bats in Gabon [,] and DRC []. However, it was not until a series of small MVD outbreaks in Uganda linked to miners working in Kitaka Mine and tourists visiting Python Cave [,] that MARV and RAVV were repeatedly isolated directly from cave-dwelling Egyptian rousette bats (ERBs; Rousettus aegyptiacus) [,]. These findings, combined with the studies in DRC and Gabon, led to the conclusion that ERBs are a natural reservoir for marburgviruses. MARV and, in some instances, RAVV have subsequently been found in ERBs in Zambia [], Kenya [], and South Africa [,,]. Most recently, an Angola-like MARV was isolated from ERBs captured in Sierra Leone [].
Since the discovery of ERBs as the marburgvirus natural reservoir, research efforts have focused on understanding how MARV is maintained in nature and how the virus spills over into humans. These efforts have included experimental infection studies using captive bred ERBs, first reported by Paweska et al. [] and then Amman et al. []. In the study by Amman et al., using a natural bat isolate of MARV, the authors detected the highest levels of viral shedding in oral secretions, suggesting biting and perhaps mucosal contact with oral secretions as a likely mechanism of bat-to-bat MARV transmission. These same mechanisms could also serve as conduits for bat-to-primate MARV transmission under the right circumstances. Interestingly, none of the historical MVD outbreak index cases reported direct contact with bats, suggesting an additional route of viral shedding may be involved. Paweska et al. [] sporadically detected MARV RNA in the urine of experimentally infected ERBs, and Schuh et al. [] experimentally demonstrated MARV transmission between ERBs and also detected MARV RNA in ERB urine. These findings indicate infectious urine could be a second plausible route of virus transmission, perhaps by direct deposition into mucous membranes including those of human or non-human primates looking upward at roosting or flying bats. It is well known that bats will defecate and urinate during flight.
When considering either route of marburgvirus shedding, saliva, or urine, environmental contamination of surfaces could also represent a means for MARV bat-to-bat or bat-to-human transmission beyond direct biting or deposition of urine in mucous membranes of susceptible hosts. Further, the environmental stability and viability of the pathogens must be considered [,,,,,,]. ERBs are frugivorous and routinely forage in the wild or cultivated fruiting trees where they may urinate on fruit and test bite fruits for ripeness [] or simply drop fruit they have been actively eating. ERBs do not typically consume fruit completely, rather they chew the fruit to extract the juice and then discard the pulp in what is known as a fruit spat []. Up to 25% of foraged fruit will be discarded in either this manner or spit out following squabbles with other ERBs []. These activities could potentially result in deposition of infectious virus on significant amounts of whole fruits in trees or fruit and fruit spats lying on the ground that could later be consumed by susceptible non-reservoir hosts such as humans or non-human primates. Moreover, the first outbreak of MVD was directly linked to the handling of infected NHPs [,], and for Ebola virus, the well-known relative of MARV virus, the origins of multiple outbreaks in Gabon and the Republic of Congo were linked to human contact with infected non-human primates and duikers [].
To assess the potential of MARV to be transmitted to humans through environmental contamination, specifically contaminated fruit, we tested uneaten and discarded fruit collected from the cages of ERBs experimentally infected with MARV from 5 to 14 days post-inoculation (DPI). This specific time interval coincided with peak viral shedding from the oral mucosa [,]. We further evaluated MARV spillover potential via contaminated fruit by separately testing a variety of fruits, many common to sub-Saharan Africa, with a range of MARV doses similar to those detected in oral swabs of MARV-infected ERBs [,] and then monitored virus persistence on the fruit over 24 h post-inoculation (HPI).
2. Materials and Methods
2.1. Animals and Biosafety
This fruit inoculation experiment was performed in conjunction with a concurrent study involving MARV-experimentally inoculated ERBs []. All experimental procedures were conducted with the approval from the Centers for Disease Control and Prevention (CDC, Atlanta, GA, USA), Institutional Animal Care and Use Committee (protocol number: 2682BATTOWC), and in strict accordance with the Guide for the Care and Use of Laboratory Animals []. The CDC is an Association for Assessment and Accreditation of Laboratory Animal Care International fully accredited research facility. No human patient-derived clinical materials were used in these studies. Procedures conducted with infectious MARV or with infected bats were performed at the CDC under biosafety level 4 (BSL-4) laboratory conditions in accordance with Select Agent regulations (Animal and Plant Health Inspection Service and Centers for Disease Control and Prevention, 2014). All investigators and animal handlers followed strict BSL-4 biosafety and infection control practices to prevent cross contamination between experimentally infected and control bats. All ERBs were transferred from the CDC ERB breeding colony to the BSL-4 laboratory one week prior to the commencement of the experiment to acclimate them to their new environment.
2.2. Oral Swab and Bat Cage Fruit Sampling
Procedures for inoculation of the bats are reported in Guito et al. []. Briefly, for the bats in this study, ten ERBs were anesthetized using isoflurane vapors and inoculated subcutaneously in the mid-ventral abdomen with a 1 × 104 tissue culture infectious dose (TCID50) of MARV (250 μL of 4 × 104 TCID50/mL Uganda 371Bat2007, GenBank accession number: FJ750958; Vero E6+2 passages; []) in sterile Dulbecco’s Modified Eagle’s Medium (DMEM, GIBCO, Thermo Fisher Scientific, Waltham, MA, USA). Five control bats were mock inoculated with an equal volume of DMEM only. From 5 to 14 DPI, polyester-tipped applicators (Life Technologies, Grand Island, NY, USA) were used to swab the oral mucosa of the ten infected bats housed in two cages and the five negative control bats housed in one cage. Each oral swab sample was placed into a well of a deep-well plate containing 500 µL MagMax lysis buffer solution (Life Technologies, Grand Island, NY, USA).
Each morning at 7:00 am from 5 to 14 DPI, approximately 13 h from when we estimate the bats began feeding, uneaten bat fruit mix, hereafter referred to as “bat mix” (i.e., banana, red grapes, pear, and honeydew melon supplemented with protein–vitamin powder; the CDC ERB colony and experimental bats consumed this mix daily), left in the food bowls of each cage (n = 3) were swabbed using one set of polyester-tipped applicators, and discarded fruit and fruit spats on each cage floor were swabbed using a second set of polyester-tipped applicators. The polyester-tipped applicators were placed into 15 mL conical tubes containing 1 mL of growth medium (DMEM supplemented with 10% heat-inactivated fetal bovine serum (HI-FBS), 100 units/mL penicillin, 100 µg/mL streptomycin, 50 μg/mL gentamicin, and 2.5 μg/mL amphotericin B), vortexed, and then centrifuged at 1000× g for 10 min. The supernatants were treated with 50 µL of a 5X antibiotic/fungizone additive and incubated for 1 h at room temperature. After incubation, 100 µL of each antimicrobial-treated supernatant was placed into a well of a deep-well plate containing 500 µL MagMax lysis buffer solution spiked with 0.25 μL of gamma-irradiated Rift Valley fever virus (RVFV; internal extraction control), and the remaining volume of each supernatant was reserved for immediate virus isolation attempts. Statistical analysis was performed, and graphs were produced using GraphPad Prism (version 9, GraphPad Software, San Diego, CA, USA).
2.3. Fruit Inoculation
Cut banana, mango, and bat mix samples (≅113 g) contained within 12-well tissue culture plates (Corning Inc., Corning, NY, USA) were inoculated in triplicate with 250 μL of high (1.00 × 105 TCID50), medium (1.00 × 103 TCID50), and low (1.00 × 101 TCID50) doses of replication-competent, infectious recombinant (r) MARV expressing the fluorescent ZsGreen1 (ZsG) (rMARV-ZsG; GenBank accession number: MK271062; Huh7+2 passages; [,]), gently mixed with a polyester-tipped applicator to distribute the virus, and then incubated at room temperature for 24 HPI. Each rMARV-ZsG-inoculated fruit specimen was sampled by gently swabbing the surface of each piece of fruit in a well using a polyester-tipped applicator at 0, 1, 6, and 24 HPI. The applicator was then placed into a 15 mL conical tube containing 1 mL of FluoroBrite Growth Media (FlouroBrite DMEM (GIBCO, Waltham, MA, USA) supplemented with 10% HI-FBS, 100 units/mL penicillin, 100 µg/mL streptomycin, 50 µg/mL gentamicin, 2.50 μg/mL amphotericin B, and GlutaMAX(Grand Island, NY, USA)). The samples were vortexed and then centrifuged at 1000× g for 10 min. After incubating the supernatants with 50 µL of a 5X antimicrobial additive for 1 h at room temperature using a previously described procedure [], 100 µL of each antimicrobial-treated supernatant was placed into a well of a deep-well plate containing 500 µL of MagMax lysis buffer solution spiked with 0.25 μL of gamma-irradiated RVFV), and the remaining volume of each supernatant was reserved for virus isolation.
2.4. RNA Extraction and Reverse Transcriptase PCR
RNA was extracted from the (1) MARV-experimentally infected bat cage fruit samples, (2) oral swabs collected from the MARV-experimentally infected bats, and (3) rMARV-ZsG-inoculated fruit samples using the MagMAX Pathogen RNA/DNA Kit (Life Technologies, Grand Island, NY, USA) with the MagMAX Express-96 Deep Well Magnetic Particle Processor (Life Technologies, Grand Island, NY, USA) following previously described procedures []. Reverse-transcribed rMARV-ZsG and MARV RNA (all three sample types), RVFV (all sample types except oral swabs), and eukaryotic 18S rRNA (oral swabs only) were detected on the ABI 7500 Real-Time PCR System (Life Technologies, Grand Island, NY, USA) using the SuperScript III Platinum One-Step Q-RT-PCR Kit (Life Technologies) with amplification primers and reporter probes targeting the viral protein 40 gene of MARV, the large segment of RVFV, and eukaryotic 18S rRNA gene, respectively (Supplementary Materials Table S1). Relative rMARV-ZsG or MARV log10TCID50 eq/mL were interpolated from a standard curve generated from serial dilutions of the respective virus stocks with known titers in sterile media. It is possible that titers can vary slightly due to the fact that the standard curve was not generated using a saliva matrix.
2.5. Virus Isolation
Virus isolation was attempted on all fruit samples collected from the cages of MARV-experimentally infected bats. Isolations were not attempted on oral swabs due to the large amount of data already published on oral swabs from MARV-infected bats [,,,]. After inoculating wells of 90% confluent Vero E6 cells in 25 cm2 flasks containing 2 mL of Maintenance Media with 850 µL of the antimicrobial-treated supernatants, cultures were incubated at 37 °C/5% CO2 through 14 DPI. Cell culture media was replaced with 7.5 mL of fresh Maintenance Media at 1 DPI, and all cultures were tested by immunofluorescent assays at 7 and 14 DPI following published procedures [].
Virus isolation was attempted on all rMARV-ZsG-inoculated fruit samples. One hundred and ninety microliters of each antimicrobial-treated supernatant was added to 90% confluent Vero E6 cell monolayers in 12-well tissue cultures plates containing 760 µL of FluoroBrite Maintenance Media (FlouroBrite DMEM supplemented with 2% HI-FBS, 100 units/mL penicillin, 100 µg/mL streptomycin, 50 μg/mL gentamicin, 2.5 μg/mL amphotericin B, and 1× GlutaMAX) and incubated at 37 °C/5% CO2. Cell culture media were replaced with 2 mL of fresh FluoroBrite Maintenance Media at 1 DPI. At 4, 5, and 14 DPI, each cell culture plate well was viewed under a fluorescence microscope to determine the presence of infectious rMARV-ZsG as indicated by cells containing green foci.
3. Results
3.1. qRT-PCR of Oral Swabs Confirmed MARV Shedding in Inoculated Bats
MARV RNA loads measured by qRT-PCR are hereafter reported as log10TCID50 equivalents (eq.) per mL of fluid. MARV RNA positive oral swabs (27/101; 26.73%) were collected from all inoculated bats between 5 and 14 DPI (Figure 1). Viral loads in infected bats ranged from 1.42 × 101 TCID50 eq/mL eq. at 14 DPI to 3.21 × 104 TCID50 eq/mL at 7 DPI over the 10 day period of MARV oral shedding. There were no MARV RNA positive oral swabs collected from the negative control bats.

Figure 1.
Marburg virus (MARV) RNA loads in oral swabs obtained from MARV experimentally infected bats (n = 10) and negative control bats (n = 5) shown by tissue culture infectious dose (TCID50) and day post-inoculation. For reference, the dashed line through the yellow squares indicates the daily average viral load for all 10 inoculated bats.
3.2. qRT-PCR of Bat Cage Fruit
After 10 days of daily sampling each morning, two of the 58 (3.45%) samples collected from fruit in the bat food bowls were positive for MARV RNA: one on 6 DPI (1.19 × 100 TCID50 eq/mL) and the other on 11 DPI (0.94 × 100 TCID50 eq/mL). All the samples collected from the cage floors tested negative for MARV RNA. The RVFV internal extraction control failed to be detected in 17.2% (5/29) of the bat food bowl samples and 82.8% (24/29) of the fruit samples collected from the cage floors, possibly indicating the presence of inhibitory substances that may have interfered with RNA extraction or qRT-PCR.
3.3. Virus Isolation of Bat Cage Fruit
Virus isolation was attempted on all samples collected from fruit in the food bowls and on the cage floors of MARV-infected bat cages. All isolation attempts were unsuccessful.
3.4. rMARV-ZsG Detected on Inoculated Fruit by qRT-PCR
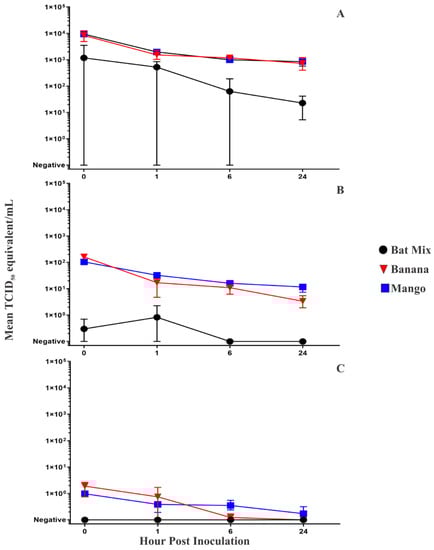
Reasoning that there was a high degree of potential variability between when MARV could have been deposited on fruit by infected bats and when fruit in the cage was sampled each morning (i.e., 0–24 h), a more rigorous virus viability experiment was performed in which different varieties of fruit were separately inoculated with high (1.00 × 105 TCID50), medium (1.00 × 103 TCID50), and low (1.00 × 101 TCID50) doses of rMARV-ZsG followed by sampling at 0, 1, 6, and 24 h. In this experiment, a total of 75/108 (69.4%) rMARV-ZsG-inoculated fruit samples were positive for MARV RNA (Table 1). Viral RNA was detected in at least one replicate of all MARV-inoculated fruit sample types at all time points through 24 HPI except for banana inoculated with a low virus dose at 24 HPI, bat mix inoculated with a medium virus dose at 6 and 24 HPI, and bat mix inoculated with a low virus dose at all time points. Mean viral RNA loads for high-dose fruit inoculations (Figure 2A) were as follows: banana ranged from 8.35 × 103 TCID50 eq/mL at 0 HPI to 7.22 × 102 TCID50 eq/mL at 24 HPI; mango ranged from 9.40 × 103 TCID50 eq/mL at 0 HPI to 8.48 × 102 TCID50 eq/mL at 24 HPI; bat mix ranged from 1.17 × 103 TCID50 eq/mL at 0 HPI to 2.27 × 101 TCID50 eq/mL at 24 HPI. Mean viral loads for medium-dose fruit inoculations (Figure 2B) were as follows: banana ranged from 1.61 × 102 TCID50 eq/mL at 0 HPI to 3.36 × 100 TCID50 eq/mL at 24 HPI; mango ranged from 1.03 × 102 TCID50 eq/mL at 0 HPI to 1.16 × 101 TCID50 eq/mL at 24 HPI; bat mix ranged from 0.30 × 100 TCID50 eq/mL at 0 HPI to undetectable at 24 HPI. Mean viral loads for low-dose fruit inoculations (Figure 2C) were as follows: banana ranged from 1.91 × 100 TCID50 eq/mL at 0 HPI to undetectable at 24 HPI; mango ranged from 0.98 ×100 TCID50 eq/mL at 0 HPI to 0.17 × 100 TCID50 eq/mL at 24 HPI. The RVFV internal extraction control was detected in 100% (36/36) of banana and mango samples but failed to be detected in 52.8% (19/36) of the bat mix samples (Table 1), a finding consistent with limited RVFV detections in the bat mix present in cages of MARV-infected bats described above.

Table 1.
Marburg virus (MARV) qRT-PCR for viral RNA and virus isolation results for fruit inoculated in triplicate with high (1.00 × 105 tissue culture infectious dose (TCID50)), medium (1.00 × 103 TCID50), and low (1.00 × 101 TCID50) doses of a recombinant MARV expressing the fluorescent ZsG reporter according to hours post-inoculation (HPI). Gamma-irradiated Rift Valley Fever virus (RVFV) was used as an internal RNA extraction control and the results are shown in the table.

Figure 2.
Mean MARV RNA loads for fruit inoculated in triplicate with (A) a high dose (1.00 × 105 TCID50), (B) a medium dose (1.00 × 103 TCID50), and (C) a low dose (1.00 × 101 TCID50) of rMARV-ZsG according to hours post-inoculation (HPI). Vertical lines represent standard deviations.
3.5. Virus Isolation from Inoculated Fruit
Infectious rMARV-ZsG was isolated from inoculated fruit samples, with most isolations recovered from fruit inoculated with high and medium virus doses (Table 1). Bat mix inoculated with rMARV-ZsG produced the fewest isolates with three isolates recovered from mixes inoculated with high virus doses and two isolates recovered from mixes inoculated with medium virus doses but only at 0 HPI. rMARV-ZsG-inoculated banana produced three isolates each from samples inoculated with high and medium virus doses at 0 HPI, three isolates from samples inoculated with medium virus doses at 0 HPI, and one isolate from a sample inoculated with a medium virus dose at 1 HPI. Banana also produced one isolate from a sample inoculated with a high virus dose at 6 HPI. Mango produced the most rMARV-ZsG isolates with three each from samples inoculated with high and medium virus doses at 0 HPI and one isolate from a sample inoculated with a low virus dose at 0 HPI. There were also three isolates recovered from mangoes inoculated with high and medium virus doses at 1 HPI and three isolates from mangoes inoculated with high virus doses at 6 HPI.
4. Discussion
To examine real-world MARV spillover potential in areas where ERBs routinely forage on fruits commonly eaten by humans, discarded fruit and fruit spats from experimentally infected bats were swabbed and tested for residual MARV RNA. The results were unexpectedly limited. Similar to past experiments [,,,], the MARV-experimentally infected ERBs shed virus through oral secretions in typical amounts as evidenced by 27 MARV RNA positive oral swabs collected over 10 days. During this same time interval, only two MARV RNA positive samples were collected from uneaten fruit remaining in the food bowls of MARV-infected bats. While this is evidence that MARV was indeed shed from infected bats and had been deposited on uneaten fruit, either through saliva, urine, or both, the two positive samples were far less than that expected given the number of positive oral swabs produced by the infected bats. This low level of MARV detection could be explained by the limited ability to detect the spiked irradiated RVFV internal extraction control in a large percentage of uneaten bat mix samples collected from the food bowls (17.2%) and cage floors (82.8%). This is indicative of either incompatible RNA extraction conditions, such as low pH due to fruit acidity, or inhibitors present in fruit or the powdered vitamin/protein supplement present in bat mix but not the individually tested fruits. Also, urea, a component of urine, and complex polysaccharides in feces have been previously cited as PCR inhibitors [], and so the influence of urine and feces could not be ruled out. Given the possible influence of inhibitors, the 3.45% (2/58) qRT-PCR for MARV samples that were detected on the food bowl fruit would be a highly conservative estimate of how much virus was actually shed onto discarded fruit and fruit spats.
Due to the daily feeding and sampling schedule, the virus could have persisted on cage fruit anywhere between 0 and 24 h. Therefore, the elapsed time between the bats potentially depositing low levels of virus on the fruit and sample collection might also have been a contributing factor to explain why MARV RNA was detected in so few samples from MARV-infected bat cages. Bat cage sample collections were performed at 7:00 am upon entry into the animal biosafety level-4 (ABSL-4) room, immediately followed by bat husbandry activities consisting of cleaning and replenishing food bowls and placing new plastic liners on cage floors. The ABSL-4 room holding the infected bats was on a 12 h light and dark cycle, beginning at 6:00 am and 6:00 pm, respectively. The bats typically eat after the lights go out, indicating that a period of up to 13 h could have lapsed between when the bats ate the fruit and the collection of samples the next morning. Although if bats did some feeding during the day, this time frame could be up to 24 h.
Despite the low number of fruit bowl (bat mix) samples with detectable MARV RNA, oral swab data from this and previous MARV experimental infection studies indicate that bats shed MARV through saliva in concentrations encompassing the range of doses we used for the artificial fruit inoculations. MARV oral shedding loads in this study peaked at 3.21 × 104 TCID50 eq/mL but have been as high as 2.5 × 105 TCID50 eq/mL in previous MARV experimental infection studies []. Moreover, infectious MARV has been isolated from oral swabs at viral loads as low as 4.60 × 101 TCID50 eq/mL []. This demonstrates the potential for ERBs actively infected with MARV to shed infectious virus onto discarded fruit through saliva. The fruit inoculation experiment was designed to establish a more defined timeline for the persistence of infectious virus on individual fruit varieties, particularly banana and mango, since the mixture of fruit with the supplements (bat mix) is not natural, and banana and mango are commonly cultivated fruits in Africa. Moreover, the fruit inoculation allowed for the assessment of viral persistence on fruit in the absence of some possible inhibitors such as those found in urine and feces or the protein/vitamin powder (banana and mango only). Similar to the bat cage fruit samples, the internal RVFV RNA extraction control failed to be detected in >50% of the bat mix samples but was detected in all banana and mango samples. This suggests that either some of the fruit in the mix other than banana (red grapes, pear, and honeydew melon) or the protein–vitamin supplement acted as RNA extraction or qRT-PCR inhibitors. Some fruits and concentrated proteins have been reported to contain PCR inhibitors [,].
Surprisingly, MARV RNA was detectable for up to 24 h in banana and mango, suggesting that elapsed time may be less of an issue than initially thought. Moreover, rMARV-ZsG isolates were recovered up to 6 HPI in samples of banana and mango, demonstrating the potential for viral persistence on common African fruit.
The 6 h persistence of MARV on banana and mango was notably shorter than the 4–5 day persistence of MARV on contaminated surfaces (i.e., wool and glass) reported in [] and the reported three weeks persistence on plastic and glass surfaces held at low temperatures []. However, this shorter window of infectiousness does not rule out a potential real-world scenario in which a susceptible host (i.e., human or NHP) could be exposed to infectious MARV shed from infected ERBs. Six hours is sufficient time for a ripe fruit to be consumed by another susceptible animal or human, and in a setting such as an orchard or garden, this represents a significant public health risk. ERBs are known to test bite fruit for ripeness [] and drop fruits they do not like. These bats also consume fruit by masticating the pulp to extract the juice and then discarding the fruit spat onto the ground []. Apes, other NHPs, and forest duikers feed on fallen and possibly discarded fruits and are particularly susceptible to filovirus infections [,,]. Environmental transmission of other bat-borne viruses has occurred through contamination of fruit and other plant-derived foods. Nipah virus (NiV) has been linked to the consumption of raw date palm sap in Bangladesh []. Contaminated grass, fruit, and feed may lead to Hendra virus exposure in horses []. It is probable that fruit contaminated with bat excrement in orchards planted near pigsties resulted in an outbreak of NiV in pigs in Malaysia that ultimately resulted in 265 human cases of encephalitis and 105 deaths [].
Historically, MARV spillover to humans has occurred after exposure to areas around bat habitats, such as caves or mines, but not necessarily involving direct contact with bats []. To reiterate, NHPs imported from Uganda served as the catalyst for the first ever MVD outbreak in Germany and the former Yugoslavia (now Serbia) []. Typically, ERBs emerge from their roost just after sunset and forage for fruit, such as banana, mango, peaches, dates, fig, and many other fruits, all night and return to the roost before sunrise []. This includes fruit cultivated for human consumption, earning ERBs the moniker of being an economic nuisance in some areas [,]. The human disease risk repercussions of infectious MARV persistence on mango and banana would originate from a MARV-infected ERB biting and discarding or dropping infectious fruit or consuming and discarding spats of infectious fruit, during the early hours of the morning. It is very conceivable that humans or NHPs actively foraging just after sunrise could encounter and consume the infectious fruit or fruit spats that are within the 6 h window of infectious MARV persistence.
In conclusion, we demonstrated that MARV-infected ERBs can shed virus onto discarded fruit. Further, we demonstrated that infectious MARV is stable for at least 6 h on two types of fruit (i.e., mangoes and bananas) routinely consumed by both ERBs and primates, including humans, throughout sub-Saharan Africa. Together, these findings suggest that the consumption or handling of fruit test-bitten or spat-out by ERBs is a risk factor for MARV spillover into to humans and MARV-sensitive wildlife.
Supplementary Materials
The following are available online at https://www.mdpi.com/article/10.3390/v13122394/s1, Table S1: Quantitative reverse transcriptase PCR primers and probes.
Author Contributions
Conceptualization, B.R.A. and A.J.S.; methodology, B.R.A., A.J.S. and C.G.A.; formal analysis, B.R.A. and A.J.S.; investigation; B.R.A. and A.J.S.; resources, B.R.A., A.J.S., C.G.A. and J.S.T.; data curation, B.R.A. and A.J.S.; writing—original draft preparation, B.R.A. and A.J.S.; writing—review and editing, B.R.A.; A.J.S.; C.G.A. and J.S.T.; visualization, B.R.A. and A.J.S.; supervision, J.S.T.; project administration, B.R.A. and A.J.S.; funding acquisition, J.S.T. All authors have read and agreed to the published version of the manuscript.
Funding
This study was funded by the Centers for Disease Control and Prevention’s Viral Special Pathogens Branch core funding.
Data Availability Statement
The authors declare that all data supporting the findings of this study are available within the article and its Supplementary Information files or from the authors upon request.
Acknowledgments
We thank the Centers for Disease Control and Prevention’s Comparative Medicine Branch for care and support of the bats and Joseph Prescott and Jonathan Guito for assisting with sampling during this study. We also thank Brian Harcourt for a critical review of the manuscript. The findings and conclusions in this report are those of the authors and do not necessarily represent the views of the Centers for Disease Control and Prevention or Health and Human Services.
Conflicts of Interest
The authors declare no conflict of interest.
References
- Martini, G.A. Marburg virus disease. Postgrad. Med. J. 1973, 49, 542–546. [Google Scholar] [CrossRef] [PubMed] [Green Version]
- Siegert, R.; Shu, H.L.; Slenczka, H.L.; Peters, D.; Muller, G. The aetiology of an unknown human infection transmitted by monkeys (preliminary communication). Ger. Med. Mon. 1968, 13, 1–2. [Google Scholar] [PubMed]
- Amman, B.R.; Swanepoel, R.; Nichol, S.T.; Towner, J.S. Ecology of Filoviruses. In Marburg and Ebolaviruses. Current Topics in Microbiology and Immunology; Mühlberger, E., Hensley, L., Towner, J., Eds.; Springer: Cham, Switzerland, 2017; Volume 411, pp. 23–61. [Google Scholar]
- Nyakarahuka, L.; Shoemaker, T.R.; Balinandi, S.; Chemos, G.; Kwesiga, B.; Mulei, S.; Kyondo, J.; Tumusiime, A.; Kofman, A.; Masiira, B.; et al. Marburg virus disease outbreak in Kween District Uganda, 2017: Epidemiological and laboratory findings. PLoS Negl. Trop. Dis. 2019, 13, e0007257. [Google Scholar] [CrossRef]
- Shoemaker, T.R.; Balinandi, S.; Tumusiime, A.; Nyakarahuka, L.; Lutwama, J.; Mbidde, E.; Kofman, A.; Klena, J.D.; Stroher, U.; Rollin, P.E.; et al. Impact of enhanced viral haemorrhagic fever surveillance on outbreak detection and response in Uganda. Lancet Infect. Dis. 2018, 18, 373–375. [Google Scholar] [CrossRef] [Green Version]
- World Health Organization. Marburg Virus Disease—Guinea. Available online: https://www.who.int/emergencies/disease-outbreak-news/item/2021-DON331 (accessed on 27 September 2021).
- Bausch, D.G.; Nichol, S.T.; Muyembe-Tamfum, J.J.; Borchert, M.; Rollin, P.E.; Sleurs, H.; Campbell, P.; Tshioko, F.K.; Roth, C.; Colebunders, R.; et al. Marburg hemorrhagic fever associated with multiple genetic lineages of virus. N. Engl. J. Med. 2006, 355, 909–919. [Google Scholar] [CrossRef] [PubMed]
- Towner, J.S.; Khristova, M.L.; Sealy, T.K.; Vincent, M.J.; Erickson, B.R.; Bawiec, D.A.; Hartman, A.L.; Comer, J.A.; Zaki, S.R.; Stroher, U.; et al. Marburgvirus genomics and association with a large hemorrhagic fever outbreak in Angola. J. Virol. 2006, 80, 6497–6516. [Google Scholar] [CrossRef] [Green Version]
- Bausch, D.G. West Africa 2013 Ebola: From virus outbreak to humanitarian crisis. In Marburg and Ebolaviruses. Current Topics in Microbiology and Immunology; Mulberger, E., Hensley, L., Towner, J., Eds.; Springer: Cham, Switzerland, 2017; Volume 411, pp. 63–92. [Google Scholar]
- Pourrut, X.; Souris, M.; Towner, J.S.; Rollin, P.E.; Nichol, S.T.; Gonzalez, J.; Leroy, E. Large serological survey showing cocirculation of Ebola and Marburg viruses in Gabonese bat populations, and a high seroprevalence of both viruses in Rousettus aegyptiacus. BMC Infect. Dis. 2009, 9, 159. [Google Scholar] [CrossRef] [Green Version]
- Towner, J.S.; Pourrut, X.; Albarino, C.G.; Nkogue, C.N.; Bird, B.H.; Grard, G.; Ksiazek, T.G.; Gonzalez, J.P.; Nichol, S.T.; Leroy, E.M. Marburg virus infection detected in a common African bat. PLoS ONE 2007, 2, e764. [Google Scholar] [CrossRef] [PubMed]
- Swanepoel, R.; Smit, S.B.; Rollin, P.E.; Formenty, P.; Leman, P.A.; Kemp, A.; Burt, F.J.; Grobbelaar, A.A.; Croft, J.; Bausch, D.G.; et al. Studies of reservoir hosts for Marburg virus. Emerg. Infect. Dis. 2007, 13, 1847–1851. [Google Scholar] [CrossRef] [PubMed]
- Adjemian, J.; Farnon, E.C.; Tschioko, F.; Wamala, J.F.; Byaruhanga, E.; Bwire, G.S.; Kansiime, E.; Kagirita, A.; Ahimbisibwe, S.; Katunguka, F.; et al. Outbreak of Marburg hemorrhagic fever among miners in Kamwenge and Ibanda Districts, Uganda, 2007. J. Infect. Dis. 2011, 204 (Suppl. S3), S796–S799. [Google Scholar] [CrossRef]
- Timen, A.; Koopmans, M.P.; Vossen, A.C.; van Doornum, G.J.; Gunther, S.; van den, B.F.; Verduin, K.M.; Dittrich, S.; Emmerich, P.; Osterhaus, A.D.; et al. Response to imported case of Marburg hemorrhagic fever, the Netherlands. Emerg. Infect. Dis. 2009, 15, 1171–1175. [Google Scholar] [CrossRef] [PubMed]
- Amman, B.R.; Carroll, S.A.; Reed, Z.D.; Sealy, T.K.; Balinandi, S.; Swanepoel, R.; Kemp, A.; Erickson, B.R.; Comer, J.A.; Campbell, S.; et al. Seasonal pulses of Marburg virus circulation in juvenile Rousettus aegyptiacus bats coincide with periods of increased risk of human infection. PLoS Pathog. 2012, 8, e1002877. [Google Scholar] [CrossRef] [PubMed]
- Towner, J.S.; Amman, B.R.; Sealy, T.K.; Carroll, S.A.; Comer, J.A.; Kemp, A.; Swanepoel, R.; Paddock, C.D.; Balinandi, S.; Khristova, M.L.; et al. Isolation of genetically diverse Marburg viruses from Egyptian fruit bats. PLoS Pathog. 2009, 5, e1000536. [Google Scholar] [CrossRef]
- Kajihara, M.; Hang’ombe, B.M.; Changula, K.; Harima, H.; Isono, M.; Okuya, K.; Yoshida, R.; Mori-Kajihara, A.; Eto, Y.; Orba, Y.; et al. Marburgvirus in Egyptian Fruit Bats, Zambia. Emerg. Infect. Dis. 2019, 25, 1577–1580. [Google Scholar] [CrossRef] [PubMed] [Green Version]
- Kuzmin, I.V.; Niezgoda, M.; Franka, R.; Agwanda, B.; Markotter, W.; Breiman, R.F.; Shieh, W.J.; Zaki, S.R.; Rupprecht, C.E. Marburg virus in fruit bat, Kenya. Emerg. Infect. Dis. 2010, 16, 352–354. [Google Scholar] [CrossRef]
- Paweska, J.T.; Jansen van Vuren, P.; Kemp, A.; Storm, N.; Grobbelaar, A.A.; Wiley, M.R.; Palacios, G.; Markotter, W. Marburg Virus Infection in Egyptian Rousette Bats, South Africa, 2013-2014. Emerg. Infect. Dis. 2018, 24, 1134–1137. [Google Scholar] [CrossRef]
- Pawęska, J.T.; Storm, N.; Markotter, W.; Di Paola, N.; Wiley, M.R.; Palacios, G.; van Vuren, P.J. Shedding of Marburg Virus in Naturally Infected Egyptian Rousette Bats, South Africa, 2017. Emerg. Infect. Dis. 2020, 26, 3051. [Google Scholar] [CrossRef]
- Storm, N.; Jansen Van Vuren, P.; Markotter, W.; Paweska, J.T. Antibody responses to marburg virus in Egyptian rousette bats and their role in protection against infection. Viruses 2018, 10, 73. [Google Scholar] [CrossRef] [Green Version]
- Amman, B.R.; Bird, B.H.; Bakarr, I.A.; Bangura, J.; Schuh, A.J.; Johnny, J.; Sealy, T.K.; Conteh, I.; Koroma, A.H.; Foday, I.; et al. Isolation of Angola-like Marburg virus from Egyptian rousette bats from West Africa. Nat. Commun. 2020, 11, 510. [Google Scholar] [CrossRef]
- Paweska, J.T.; Jansen van Vuren, P.; Masumu, J.; Leman, P.A.; Grobbelaar, A.A.; Birkhead, M.; Clift, S.; Swanepoel, R.; Kemp, A. Virological and serological findings in Rousettus aegyptiacus experimentally inoculated with vero cells-adapted Hogan strain of Marburg virus. PLoS ONE 2012, 7, e45479. [Google Scholar] [CrossRef]
- Amman, B.R.; Jones, M.E.; Sealy, T.K.; Uebelhoer, L.S.; Schuh, A.J.; Bird, B.H.; Coleman-McCray, J.D.; Martin, B.E.; Nichol, S.T.; Towner, J.S. Oral shedding of Marburg virus in experimentally infected Egyptian fruit bats (Rousettus aegyptiacus). J. Wildl. Dis. 2015, 51, 113–124. [Google Scholar] [CrossRef] [Green Version]
- Paweska, J.T.; Jansen van Vuren, P.; Fenton, K.A.; Graves, K.; Grobbelaar, A.A.; Moolla, N.; Leman, P.; Weyer, J.; Storm, N.; McCulloch, S.D.; et al. Lack of Marburg Virus Transmission from Experimentally Infected to Susceptible In-Contact Egyptian Fruit Bats. J. Infect. Dis. 2015, 212 (Suppl. 2), S109–S118. [Google Scholar] [CrossRef] [Green Version]
- Schuh, A.J.; Amman, B.R.; Jones, M.E.; Sealy, T.K.; Uebelhoer, L.S.; Spengler, J.R.; Martin, B.E.; Coleman-McCray, J.A.; Nichol, S.T.; Towner, J.S. Modelling filovirus maintenance in nature by experimental transmission of Marburg virus between Egyptian rousette bats. Nat. Commun. 2017, 8, 14446. [Google Scholar] [CrossRef] [PubMed]
- Belanov, E.; Muntianov, V.; Kriuk, V.; Sokolov, A.; Bormotov, N.; P’iankov, O.; Sergeev, A. Survival of Marburg virus infectivity on contaminated surfaces and in aerosols. Vop. Virusol. 1996, 41, 32–34. [Google Scholar] [PubMed]
- Fischer, R.; Judson, S.; Miazgowicz, K.; Bushmaker, T.; Prescott, J.; Munster, V.J. Ebola virus stability on surfaces and in fluids in simulated outbreak environments. Emerg. Infect. Dis. 2015, 21, 1243. [Google Scholar] [CrossRef]
- Hardestam, J.; Simon, M.; Hedlund, K.O.; Vaheri, A.; Klingstrom, J.; Lundkvist, A. Ex vivo stability of the rodent-borne Hantaan virus in comparison to that of arthropod-borne members of the Bunyaviridae family. Appl. Environ. Microb. 2007, 73, 2547–2551. [Google Scholar] [CrossRef] [PubMed] [Green Version]
- Kallio-Kokko, H.; Laakkonen, J.; Rizzoli, A.; Tagliapietra, V.; Cattadori, I.; Perkins, S.E.; Hudson, P.J.; Cristofolini, A.; Versini, W.; Vapalahti, O.; et al. Hantavirus and arenavirus antibody prevalence in rodents and humans in Trentino, Northern Italy. Epidemiol. Infect. 2006, 134, 830–836. [Google Scholar] [CrossRef]
- Paintsil, E.; Binka, M.; Patel, A.; Lindenbach, B.D.; Heimer, R. Hepatitis C virus maintains infectivity for weeks after drying on inanimate surfaces at room temperature: Implications for risks of transmission. J. Infect. Dis. 2014, 209, 1205–1211. [Google Scholar] [CrossRef] [PubMed] [Green Version]
- Piercy, T.; Smither, S.; Steward, J.; Eastaugh, L.; Lever, M. The survival of filoviruses in liquids, on solid substrates and in a dynamic aerosol. J. Appl. Microbiol. 2010, 109, 1531–1539. [Google Scholar] [CrossRef]
- Valtierra, H.N. Stability of viral pathogens in the laboratory environment. Appl. Biosaf. 2008, 13, 21–26. [Google Scholar] [CrossRef] [Green Version]
- Kwiecinski, G.G.; Griffiths, T.A. Rousettus egyptaicus (aegyptaicus). Mamm. Species 1999, 611, 1–9. [Google Scholar] [CrossRef]
- Jacobsen, N.H.G.; Du Plessis, E. Observations on the ecology and biology of the Cape fruit bat Rousettus aegyptiacus leachi in the Eastern Transvaal. S. Afr. J. Sci. 1976, 72, 270–273. [Google Scholar]
- Leroy, E.M.; Rouquet, P.; Formenty, P.; Souquiere, S.; Kilbourne, A.; Froment, J.M.; Bermejo, M.; Smit, S.; Karesh, W.; Swanepoel, R. Multiple Ebola virus transmission events and rapid decline of central African wildlife. Science 2004, 303, 387–390. [Google Scholar] [CrossRef] [PubMed] [Green Version]
- Guito, J.C.; Prescott, J.B.; Arnold, C.E.; Amman, B.R.; Schuh, A.J.; Spengler, J.R.; Sealy, T.K.; Harmon, J.R.; Coleman-McCray, J.D.; Kulcsar, K.A. Asymptomatic infection of marburg virus reservoir bats is explained by a strategy of immunoprotective disease tolerance. Curr. Biol. 2021, 31, 257–270.e255. [Google Scholar] [CrossRef] [PubMed]
- Garber, J.C.; Wayne Barbee, R.; Bielitzki, J.T.; Clayton, L.A.; Donovan, J.C.; Hendriksen, C.F.; Kohn, D.F.; Lipman, N.S.; Locke, P.A.; Melcher, J. Committee for the Update of the Guide for the Care and Use of Laboratory Animals. In Guide for the Care and Use of Laboratory Animals, 8th ed.; National Academy of Sciences: Washington, DC, USA, 2011; 220p. [Google Scholar]
- Albariño, C.G.; Guerrero, L.W.; Lo, M.K.; Nichol, S.T.; Towner, J.S. Development of a reverse genetics system to generate a recombinant Ebola virus Makona expressing a green fluorescent protein. Virology 2015, 484, 259–264. [Google Scholar] [CrossRef] [PubMed] [Green Version]
- Albariño, C.G.; Wiggleton Guerrero, L.; Chakrabarti, A.K.; Nichol, S.T. Transcriptional analysis of viral mRNAs reveals common transcription patterns in cells infected by five different filoviruses. PLoS ONE 2018, 13, e0201827. [Google Scholar] [CrossRef] [PubMed] [Green Version]
- Amman, B.R.; Schuh, A.J.; Sealy, T.K.; Spengler, J.R.; Welch, S.R.; Kirejczyk, S.G.; Albariño, C.G.; Nichol, S.T.; Towner, J.S. Experimental infection of Egyptian rousette bats (Rousettus aegyptiacus) with Sosuga virus demonstrates potential transmission routes for a bat-borne human pathogenic paramyxovirus. PLOS Neglect. Trop. D. 2020, 14, e0008092. [Google Scholar] [CrossRef]
- Jones, M.E.; Schuh, A.J.; Amman, B.R.; Sealy, T.K.; Zaki, S.R.; Nichol, S.T.; Towner, J.S. Experimental Inoculation of Egyptian Rousette Bats (Rousettus aegyptiacus) with Viruses of the Ebolavirus and Marburgvirus Genera. Viruses 2015, 7, 3420–3442. [Google Scholar] [CrossRef] [PubMed] [Green Version]
- Schuh, A.J.; Amman, B.R.; Patel, K.; Sealy, T.K.; Swanepoel, R.; Towner, J.S. Human-pathogenic Kasokero virus in field-collected ticks. Emerg. Infect. Dis. 2020, 26, 2944. [Google Scholar] [CrossRef]
- Rådström, P.; Knutsson, R.; Wolffs, P.; Lövenklev, M.; Löfström, C. Pre-PCR processing. Mol. Biotechnol. 2004, 26, 133–146. [Google Scholar] [CrossRef]
- Rossen, L.; Nørskov, P.; Holmstrøm, K.; Rasmussen, O.F. Inhibition of PCR by components of food samples, microbial diagnostic assays and DNA-extraction solutions. Int. J. Food Microbiol. 1992, 17, 37–45. [Google Scholar] [CrossRef]
- Schrader, C.; Schielke, A.; Ellerbroek, L.; Johne, R. PCR inhibitors–occurrence, properties and removal. J. Appl. Microbiol. 2012, 113, 1014–1026. [Google Scholar] [CrossRef]
- Gonzalez, J.-P.; Pourrut, X.; Leroy, E. Ebolavirus and other Filoviruses. Curr. Top. Microbiol. 2007, 315, 363–387. [Google Scholar]
- Karesh, W.B.; Noble, E. The bushmeat trade: Increased opportunities for transmission of zoonotic disease. MT. Sinai J. Med. 2009, 76, 429–434. [Google Scholar] [CrossRef]
- Pinzon, J.E.; Wilson, J.M.; Tucker, C.J.; Arthur, R.; Jahrling, P.B.; Formenty, P. Trigger events: Enviroclimatic coupling of Ebola hemorrhagic fever outbreaks. Am. J. Trop. Med. Hyg. 2004, 71, 664–674. [Google Scholar] [CrossRef] [PubMed]
- Luby, S.P.; Rahman, M.; Hossain, M.J.; Blum, L.S.; Husain, M.M.; Gurley, E.; Khan, R.; Ahmed, B.N.; Rahman, S.; Nahar, N.; et al. Foodborne transmission of Nipah virus, Bangladesh. Emerg. Infect. Dis. 2006, 12, 1888–1894. [Google Scholar] [CrossRef] [PubMed]
- Plowright, R.K.; Eby, P.; Hudson, P.J.; Smith, I.L.; Westcott, D.; Bryden, W.L.; Middleton, D.; Reid, P.A.; McFarlane, R.A.; Martin, G. Ecological dynamics of emerging bat virus spillover. P. Roy. Soc. B-Biol. Sci. 2015, 282, 20142124. [Google Scholar] [CrossRef] [PubMed] [Green Version]
- Looi, L.M.; Chua, K.B. Lessons from the Nipah virus outbreak in Malaysia. Malay. J. Pathol. 2007, 29, 63–67. [Google Scholar]
- Harrison, D.L.; Bates, P.J.J. The Mammals of Arabia Volume 1. Introduction; Insectivora; Chiroptera; Primates; Benn: London, UK, 1964; 354p. [Google Scholar]
Publisher’s Note: MDPI stays neutral with regard to jurisdictional claims in published maps and institutional affiliations. |
© 2021 by the authors. Licensee MDPI, Basel, Switzerland. This article is an open access article distributed under the terms and conditions of the Creative Commons Attribution (CC BY) license (https://creativecommons.org/licenses/by/4.0/).