Natural Selection Plays an Important Role in Shaping the Codon Usage of Structural Genes of the Viruses Belonging to the Coronaviridae Family
Abstract
1. Introduction
2. Materials and Methods
2.1. Nucleotide Compositional Analysis
2.2. Relative Synonymous Codon Usage (RSCU) Analysis
2.3. Role of Mutational Pressure on Codon Selection
The Effective Number of Codon (ENc) Analysis
2.4. Role of Natural Selection on Codon Selection
2.4.1. Parity Rule 2 Analysis
2.4.2. Neutrality Plot
3. Results
3.1. Nucleotide Compositional Analysis
3.2. RSCU Analysis
3.3. Role of Mutational Pressure on the Codon Selection
The Effective Number of Codon (ENc) Analysis
3.4. Role of Natural Selection on Codon Selection
3.4.1. Parity Rule 2 + Analysis
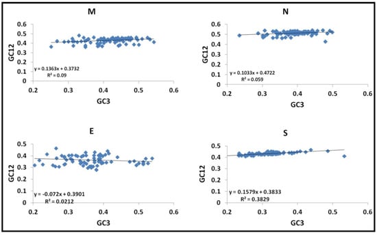
3.4.2. Neutrality Plots
4. Discussion
5. Conclusions
Supplementary Materials
Author Contributions
Funding
Conflicts of Interest
References
- Coronaviridae—Positive Sense RNA Viruses—Positive Sense RNA Viruses. 2011. Available online: https://talk.ictvonline.org/ictv-reports/ictv_9th_report/positive-sense-rna-viruses-2011/w/posrna_viruses/222/coronaviridae (accessed on 27 April 2020).
- Wu, A.; Peng, Y.; Huang, B.; Ding, X.; Wang, X.; Niu, P.; Meng, J.; Zhu, Z.; Zhang, Z.; Wang, J.; et al. Genome Composition and Divergence of the Novel Coronavirus (2019-nCoV) Originating in China. Cell Host Microbe 2020, 27, 325–328. [Google Scholar] [CrossRef] [PubMed]
- Kang, S.; Yang, M.; Hong, Z.; Zhang, L.; Huang, Z.; Chen, X.; He, S.; Zhou, Z.; Zhou, Z.; Chen, Q.; et al. Crystal structure of SARS-CoV-2 nucleocapsid protein RNA binding domain reveals potential unique drug targeting sites. Acta Pharm. Sin. B 2020, 10, 1228–1238. [Google Scholar] [CrossRef] [PubMed]
- Schoeman, D.; Fielding, B. Coronavirus envelope protein: Current knowledge. Virol. J. 2019, 16, 1–22. [Google Scholar] [CrossRef]
- Nieto-Torres, J.L.; DeDiego, M.L.; Verdiá-Báguena, C.; Jimenez-Guardeño, J.M.; Regla-Nava, J.A.; Fernandez-Delgado, R.; Castaño-Rodriguez, C.; Alcaraz, A.; Torres, J.; Aguilella, V.M.; et al. Severe Acute Respiratory Syndrome Coronavirus Envelope Protein Ion Channel Activity Promotes Virus Fitness and Pathogenesis. PLOS Pathog. 2014, 10, e1004077. [Google Scholar] [CrossRef]
- DeDiego, M.L.; Nieto-Torres, J.L.; Jimenez-Guardeño, J.M.; Regla-Nava, J.A.; Castaño-Rodriguez, C.; Fernandez-Delgado, R.; Usera, F.; Enjuanes, L. Coronavirus virulence genes with main focus on SARS-CoV envelope gene. Virus Res. 2014, 194, 124–137. [Google Scholar] [CrossRef]
- Li, F. Structure, Function, and Evolution of Coronavirus Spike Proteins. Annu. Rev. Virol. 2016, 3, 237–261. [Google Scholar] [CrossRef]
- Bosch, B.J.; Van Der Zee, R.; De Haan, C.A.M.; Rottier, P.J.M. The Coronavirus Spike Protein Is a Class I Virus Fusion Protein: Structural and Functional Characterization of the Fusion Core Complex. J. Virol. 2003, 77, 8801–8811. [Google Scholar] [CrossRef]
- Alsaadi, E.A.; Jones, I.M. Membrane binding proteins of coronaviruses. Futur. Virol. 2019, 14, 275–286. [Google Scholar] [CrossRef]
- Hershberg, R.; Petrov, D.A. Selection on Codon Bias. Annu. Rev. Genet. 2008, 42, 287–299. [Google Scholar] [CrossRef]
- Chen, H.; Sun, S.; Norenburg, J.L.; Sundberg, P. Mutation and Selection Cause Codon Usage and Bias in Mitochondrial Genomes of Ribbon Worms (Nemertea). PLoS ONE 2014, 9, e85631. [Google Scholar] [CrossRef]
- Horn, D. Codon usage suggests that translational selection has a major impact on protein expression in trypanosomatids. BMC Genom. 2008, 9, 2. [Google Scholar] [CrossRef] [PubMed]
- Kliman, R.M. Evidence that Natural Selection on Codon Usage in Drosophila pseudoobscura Varies Across Codons. G3 (Bethesda) 2014, 4, 681–692. [Google Scholar] [CrossRef] [PubMed][Green Version]
- Salim, H.M.W.; Cavalcanti, A.R.O. Factors influencing codon usage bias in genomes. J. Braz. Chem. Soc. 2008, 19, 257–262. [Google Scholar] [CrossRef]
- Deka, H.; Nath, D.; Uddin, A.; Chakraborty, S. DNA compositional dynamics and codon usage patterns of M1 and M2 matrix protein genes in influenza A virus. Infect. Genet. Evol. 2019, 67, 7–16. [Google Scholar] [CrossRef] [PubMed]
- Tort, F.L.; Castells, M.; Cristina, J. A comprehensive analysis of genome composition and codon usage patterns of emerging coronaviruses. Virus Res. 2020, 283, 197976. [Google Scholar] [CrossRef] [PubMed]
- Anwar, A.M.; Khodary, S.M. Insights into The Codon Usage Bias of 13 Severe Acute Respiratory Syndrome Coronavirus 2 (SARS-CoV-2) Isolates from Different Geo-locations. bioRxiv 2020. [Google Scholar] [CrossRef]
- Dilucca, M.; Forcelloni, S.; Georgakilas, A.; Giansanti, A.; Pavlopoulou, A. Codon Usage and Phenotypic Divergences of SARS-CoV-2 Genes. Viruses 2020, 12, 498. [Google Scholar] [CrossRef]
- Kumar, S.; Stecher, G.; Tamura, K. MEGA7: Molecular Evolutionary Genetics Analysis Version 7.0 for Bigger Datasets. Mol. Biol. Evol. 2016, 33, 1870–1874. [Google Scholar] [CrossRef]
- Sharp, P.M.; Li, W.H. Codon usage in regulatory genes in Escherichia coli does not reflect selection for “rare” codons. Nucleic Acids Res. 1986, 14, 7737–7749. [Google Scholar] [CrossRef]
- Shi, S.-L.; Xia, R.-X. Codon Usage in the Iflaviridae Family Is Not Diverse Though the Family Members Are Isolated from Diverse Host Taxa. Viruses 2019, 11, 1087. [Google Scholar] [CrossRef]
- Khandia, R.; Singhal, S.; Kumar, U.; Ansari, A.; Tiwari, R.; Dhama, K.; Das, J.; Munjal, A.; Singh, R.K. Analysis of Nipah Virus Codon Usage and Adaptation to Hosts. Front. Microbiol. 2019, 10, 886. [Google Scholar] [CrossRef] [PubMed]
- Butt, A.M.; Nasrullah, I.; Tong, Y. Genome-Wide Analysis of Codon Usage and Influencing Factors in Chikungunya Viruses. PLoS ONE 2014, 9, e90905. [Google Scholar] [CrossRef] [PubMed]
- Wright, F. The ‘effective number of codons’ used in a gene. Gene 1990, 87, 23–29. [Google Scholar] [CrossRef]
- Pintó, R.M.; D’Andrea, L.; Pérez-Rodriguez, F.J.; Costafreda, M.I.; Ribes, E.; Guix, S.; Bosch, A. Hepatitis A virus evolution and the potential emergence of new variants escaping the presently available vaccines. Future Microbiol. 2012, 7, 331–346. [Google Scholar] [CrossRef] [PubMed]
- Sueoka, N. Directional mutation pressure and neutral molecular evolution. Proc. Natl. Acad. Sci. USA 1988, 85, 2653–2657. [Google Scholar] [CrossRef]
- Komar, A.A. The Yin and Yang of codon usage. Hum. Mol. Genet. 2016, 25, R77–R85. [Google Scholar] [CrossRef]
- Matyášek, R.; Kovarik, A. Mutation Patterns of Human SARS-CoV-2 and Bat RaTG13 Coronavirus Genomes Are Strongly Biased Towards C > U Transitions, Indicating Rapid Evolution in Their Hosts. Genes 2020, 11, 761. [Google Scholar] [CrossRef]
- Błażej, P.; Mackiewicz, D.; Wnętrzak, M.; Mackiewicz, P. The Impact of Selection at the Amino Acid Level on the Usage of Synonymous Codons. G3 Genes Genomes Genet. 2017, 7, 967–981. [Google Scholar] [CrossRef]
- Vakirlis, N.; Acar, O.; Hsu, B.; Coelho, N.C.; Van Oss, S.B.; Wacholder, A.; Medetgul-Ernar, K.; Bowman, R.W.; Hines, C.P.; Iannotta, J.; et al. De novo emergence of adaptive membrane proteins from thymine-rich genomic sequences. Nat. Commun. 2020, 11, 1–18. [Google Scholar] [CrossRef]
- Watanabe, Y.; Allen, J.D.; Wrapp, D.; McLellan, J.S.; Crispin, M. Site-specific glycan analysis of the SARS-CoV-2 spike. Science 2020, eabb9983. [Google Scholar] [CrossRef]
- Ter Meulen, J.; Bakker, A.B.H.; van den Brink, E.N.; Weverling, G.J.; Martina, B.E.E.; Haagmans, B.L.; Kuiken, T.; De Kruif, J.; Preiser, W.; Spaan, W.; et al. Human monoclonal antibody as prophylaxis for SARS coronavirus infection in ferrets. Lancet 2004, 363, 2139–2141. [Google Scholar] [CrossRef]
- Yi, C.E.; Ba, L.; Zhang, L.; Ho, D.D.; Chen, Z. Single Amino Acid Substitutions in the Severe Acute Respiratory Syndrome Coronavirus Spike Glycoprotein Determine Viral Entry and Immunogenicity of a Major Neutralizing Domain. J. Virol. 2005, 79, 11638–11646. [Google Scholar] [CrossRef]
- Liu, L.; Fang, Q.; Deng, F.; Wang, H.; Yi, C.E.; Ba, L.; Yu, W.; Lin, R.D.; Li, T.; Hu, Z.; et al. Natural Mutations in the Receptor Binding Domain of Spike Glycoprotein Determine the Reactivity of Cross-Neutralization between Palm Civet Coronavirus and Severe Acute Respiratory Syndrome Coronavirus. J. Virol. 2007, 81, 4694–4700. [Google Scholar] [CrossRef]
- Gu, W.; Zhou, T.; Ma, J.; Sun, X.; Lu, Z. Analysis of synonymous codon usage in SARS Coronavirus and other viruses in the Nidovirales. Virus Res. 2004, 101, 155–161. [Google Scholar] [CrossRef]
- Zhang, C.; Wei, J.-F.; He, S.-H. Adaptive evolution of the spike gene of SARS coronavirus: Changes in positively selected sites in different epidemic groups. BMC Microbiol. 2006, 6, 88. [Google Scholar] [CrossRef]
- Berrio, A.; Gartner, V.; Wray, G.A. Positive selection within the genomes of SARS-CoV-2 and other Coronaviruses independent of impact on protein function. PeerJ 2020, 8, e10234. [Google Scholar] [CrossRef]
- Tang, X.; Zhengli, S.; Vasilakis, N.; Zhang, Y.; Shi, Z.; Zhong, Y.; Wang, L.-F.; Zhang, S. Differential Stepwise Evolution of SARS Coronavirus Functional Proteins in Different Host Species. BMC Evol. Biol. 2009, 9, 52. [Google Scholar] [CrossRef]
- Velazquez-Salinas, L.; Zarate, S.; Eberl, S.; Gladue, D.P.; Novella, I.; Borca, M.V. Positive selection of ORF3a and ORF8 genes drives the evolution of SARS-CoV-2 during the 2020 COVID-19 pandemic 2020. 2020. [Google Scholar] [CrossRef]
- Yuen, K.-S.; Ye, Z.-W.; Fung, S.-Y.; Chan, C.-P.; Jin, D.-Y. SARS-CoV-2 and COVID-19: The most important research questions. Cell Biosci. 2020, 10, 1–5. [Google Scholar] [CrossRef] [PubMed]
- Hughes, A.L.; Hughes, M.A.K. More effective purifying selection on RNA viruses than in DNA viruses. Gene 2007, 404, 117–125. [Google Scholar] [CrossRef]




| (A) Mean Occurrence of Individual Nucleotide along with Standard Deviation | ||||||||
| Gene | T(U) | C | A | G | ||||
| E | 37.7 ± 3.5 | 17.9 ± 3.2 | 25.4 ± 2.7 | 19 ± 1.8 | ||||
| M | 32.3 ± 2.5 | 20.4 ± 2.6 | 25.3 ± 1.8 | 21.8 ± 1.3 | ||||
| N | 23.1 ± 2.4 | 23.9 ± 2.3 | 29.8 ± 1.9 | 23.0 ± 1.7 | ||||
| S | 33.6 ± 2.3 | 19.3 ± 2.4 | 27.2 ± 2.0 | 19.6 ± 1.4 | ||||
| ORF1A | 33.5 ± 2.5 | 17.5 ± 2.5 | 26.8 ± 1.9 | 22.0 ± 1.4 | ||||
| ORF1B | 32.8 ± 2.0 | 17.6 ± 2.1 | 28.2 ± 1.4 | 21.2 ± 1.1 | ||||
| ORF3A | 34.7 ± 3.3 | 19.9 ± 2.6 | 25.9 ± 2.5 | 19.3 ± 1.6 | ||||
| ORF8 | 33.2 ± 1.7 | 18.9 ± 1.3 | 29.6 ± 1.4 | 18.2 ± 1.2 | ||||
| (B) Mean Occurrence of Dinucleotide at Different Codon Positions along with Standard Deviation | ||||||||
| Nucleotide (%) | GC | AU | GC1 | GC2 | GC3 | AU1 | AU2 | AU3 |
| E | 36.9 ± 3.5 | 63.0 ± 3.5 | 45.2 ± 4.1 | 30.9 ± 4.6 | 34.5 ± 5.4 | 54.7 ± 4.1 | 69.0 ± 4.6 | 65.4 ± 5.4 |
| M | 42.3 ± 3.1 | 57.6 ± 3.1 | 45.1 ± 4.3 | 40.6 ± 2.2 | 41.2 ± 6.1 | 54.8 ± 4.3 | 59.3 ± 2.2 | 58.7 ± 6.1 |
| N | 47.0 ± 2.4 | 52.9 ± 2.4 | 54.4 ± 2.3 | 47.9 ± 3.0 | 38.5 ± 4.9 | 45.5 ± 2.3 | 52.0 ± 3.0 | 61.4 ± 4.9 |
| S | 39.0 ± 2.7 | 60.9 ± 2.7 | 45.7 ± 2.1 | 40.7 ± 1.3 | 30.6 ± 5.8 | 54.2 ± 2.1 | 59.2 ± 1.3 | 69.3 ± 5.8 |
| ORF1A | 39.6 ± 2.8 | 60.3 ± 2.8 | 48.7 ± 2.2 | 38.0 ± 1.7 | 31.9 ± 5.8 | 51.2 ± 2.2 | 61.9 ± 1.7 | 68.0 ± 5.8 |
| ORF1B | 38.9 ± 2.2 | 61.0 ± 2.2 | 47.0 ± 1.5 | 37.4 ± 0.8 | 32.2 ± 4.7 | 52.9 ± 1.5 | 62.5 ± 0.8 | 67.7 ± 4.7 |
| ORF3A | 39.3 ± 2.7 | 60.6 ± 2.7 | 46.9 ± 3.8 | 36.5 ± 5.2 | 34.3 ± 6.1 | 53.0 ± 3.8 | 63.4 ± 5.2 | 65.6 ± 6.1 |
| ORF8 | 37.1 ± 2.0 | 62.8 ± 2.0 | 49.8 ± 3.3 | 34.2 ± 2.2 | 27.2 ± 4.4 | 50.1 ± 3.3 | 65.7 ± 2.2 | 72.7 ± 4.4 |
| Genes | Mean ENC | Correlation of GC12 with GC3 | Correlation of GC12 with GC | Correlation of GC12 with ENc | Correlation of ENc with GC3 |
|---|---|---|---|---|---|
| E | 49.0 | 0.15 p-value (1.68 × 10−33) | 0.66 p-value (0.011) | 0.014 p-value (1.07 × 10−65) | 0.53 p-value (0.058) |
| M | 53.3 | 0.3 p-value (8.73 × 10−34) | 0.78 p-value (4.75 × 10−7) | 0.27 p-value (4.67 × 10−22) | 0.78 p-value (0.208) |
| N | 50.7 | 0.24 p-value (1.55 × 10−45) | 0.75 p-value (4.03 × 10−10) | 0.21 p-value (1.56 × 10−28) | 0.54 p-value (1.37 × 10−20) |
| S | 46.5 | 0.62 p-value (4.58 × 10−72) | 0.82 p-value (2.59 × 10−33) | 0.60 p-value (3.08 × 10−37) | 0.78 p-value (2.08 × 10−37) |
| ORF1A | 47.0 | 0.70 p-value (1.07× 10−65) | 0.87 p-value (1.57 × 10−31) | 0.43 p-value (4.39 × 10−32) | 0.66 p-value (3.48 × 10−29) |
| ORF8 | 48.1 | 0.11 p-value (0.062) | 0.44 p-value (1.33 × 10−7) | 0.33 p-value (1.61 × 10−25) | 0.89 p-value (0.010) |
Publisher’s Note: MDPI stays neutral with regard to jurisdictional claims in published maps and institutional affiliations. |
© 2020 by the authors. Licensee MDPI, Basel, Switzerland. This article is an open access article distributed under the terms and conditions of the Creative Commons Attribution (CC BY) license (http://creativecommons.org/licenses/by/4.0/).
Share and Cite
Nyayanit, D.A.; Yadav, P.D.; Kharde, R.; Cherian, S. Natural Selection Plays an Important Role in Shaping the Codon Usage of Structural Genes of the Viruses Belonging to the Coronaviridae Family. Viruses 2021, 13, 3. https://doi.org/10.3390/v13010003
Nyayanit DA, Yadav PD, Kharde R, Cherian S. Natural Selection Plays an Important Role in Shaping the Codon Usage of Structural Genes of the Viruses Belonging to the Coronaviridae Family. Viruses. 2021; 13(1):3. https://doi.org/10.3390/v13010003
Chicago/Turabian StyleNyayanit, Dimpal A., Pragya D. Yadav, Rutuja Kharde, and Sarah Cherian. 2021. "Natural Selection Plays an Important Role in Shaping the Codon Usage of Structural Genes of the Viruses Belonging to the Coronaviridae Family" Viruses 13, no. 1: 3. https://doi.org/10.3390/v13010003
APA StyleNyayanit, D. A., Yadav, P. D., Kharde, R., & Cherian, S. (2021). Natural Selection Plays an Important Role in Shaping the Codon Usage of Structural Genes of the Viruses Belonging to the Coronaviridae Family. Viruses, 13(1), 3. https://doi.org/10.3390/v13010003

